The Long-Term Course of Chronic Inflammatory Demyelinating Polyneuropathy: a Retrospective Study
- Authors: Melnik E.A.1, Arestova A.S.1, Berdalina I.A.1, Gnedovskaya E.V.1, Grishinа D.A.1, Suponeva N.A.1, Piradov M.A.1
-
Affiliations:
- Research Center of Neurology
- Issue: Vol 17, No 4 (2023)
- Pages: 5-16
- Section: Original articles
- Submitted: 26.06.2023
- Accepted: 19.09.2023
- Published: 25.12.2023
- URL: https://annaly-nevrologii.com/pathID/article/view/1002
- DOI: https://doi.org/10.54101/ACEN.2023.4.1
- ID: 1002
Cite item
Abstract
Introduction. Chronic inflammatory demyelinating polyneuropathy (CIDP) is characterized by long-term progressive or relapsing course, neurological deficit, and disability of varied severity. The course of CIDP after specific therapy and, if necessary, long-term maintenance treatment are to be studied.
Objective: To evaluate CIDP clinical and history characteristics over the long-term follow-up (> 5 years), to compare long-term CIDP course in a number of clinical variants and onset types, and to determine clinical predictors of unfavorable CIDP course.
Materials and methods. The study included 45 patients diagnosed with CIDP based on EAN/PNS 2021 criteria lasting for 5 or more years. Retrospective collection and analysis of medical records and clinical history were performed. Internationally accepted scales were used to assess neurological deficit (NIS, MRCss), disability (INCAT), and disease activity status (CDAS). The criteria of unfavorable course were developed to evaluate factors affecting CIDP course.
Results. Among the patients with CIDP history of >5 years, each third (34%) had no neurological deficit and remained in long-term clinical remission (CDAS 1). The vast majority (90%) responded to first-line therapy in early disease, while only 53% of patients required maintenance treatment in 5 or more years of the onset. With the developed criteria (poor response to glucocorticosteroids (GCS), need for maintenance therapy, and CDAS 3–5), unfavourable CIDP course was detected in 24 (53.3%) participants. Its probability increased in later onset (47 [30; 50] years), the chronic type of onset, and delayed specific therapy. The most significant predictors included low total NIS score at onset (<60 points) and multifocal CIDP.
Conclusions. The course of typical CIDP is relatively favorable if timely diagnosed, and pathogenetic treatment initiated. Patients with acute and subacute onset demonstrate the best long-term status. The predictors of unfavourable disease course include mild neurological deficit at onset (NIS total score <60 points) and multifocal CIDP.
Full Text
Introduction
Chronic inflammatory demyelinating polyneuropathy (CIDP) is a heterogeneous group of treatable chronic immune-mediated polyneuropathies. CIDP is characterized by long-term progressive and/or relapsing course associated with muscle weakness and various sensory disorders, varying from mild and unrestricting daily living or mobility to severe and disabling. As a rule, CIDP patients need long-term first- or second-line specific maintenance therapy as though neither definitive therapeutic regimen nor laboratory markers of disease activity have been established [1–5].
Considering course of CIDP, neurological deficit, and need for specific therapy, K. Gorson et al. introduced the term 'CIDP disease activity status' ('CDAS') and developed simple, clinically usable classification [6]. According to the proposed classification, CIDP can be considered as cured/permanent clinical remission (CDAS 1A, 1B), if the patient's neurological status remains stable for 5 or more years of specific therapy. In progressive or relapsing course, despite immune therapy of any duration, the patient is considered as having unstable active disease (CDAS 5A, 5B, 5C). The authors assessed 106 patients with mean CIDP duration of 6.4 years and demonstrated stable neurological status without any maintenance therapy in 11% of the patients with follow-up of >5 years and unstable active condition without adequate response to therapy in 18% of the patients [6].
Due to complicated underlying pathophysiology, we still question how favorable CIDP course can be in adequate response to specific therapies and which factors might contribute to unfavorable course. Undercovered issues include long-term CIDP, long-term efficacy and tolerability of various therapeutic regimens, and persistent neurological deficit and disability in patients receiving long-term maintenance treatment. Over the past 20 years, only few studies attempted to identify predictors for unfavorable course of CIDP. No uniform approach to selection and evaluation of CIDP patients has led to contradictory conclusions. As a result of the 5-year observation that included 38 patients, S. Kuwabara et al. figured out that the patients with complete remission (26%) more often had subacute onset (4–8 weeks), symmetric symptoms, good response to initial GCS treatment, and nerve conduction abnormalities predominant in the distal nerve terminals [7]. The long-term prognosis of CIDP patients was generally favourable, but 39% of patients still required specific treatments and 13% had severe disability [7]. As a result of the long-term observation that included 60 patients with established CIDP, E. Spina et al. concluded that severe neurological deficit in early disease and later onset are predictors of longer disability regardless of disease duration [8]. As a result of the observation that included 51 patients with CIDP for over 10 years, A. Al-Zuhairy et al. emphasized timely initiation of specific therapy due to revealed relation between the time of therapy initiation and the long-term CIDP prognosis [9].
Therefore, long-term multifocal CIDP (mCIDP) and history of CIDP with acute and subacute onset (A-SA- СIDP) are understudied. Similarly, no Russian experience of CIDP management for over 5 years has been systematically studied and published. Long-term CIDP may indicate whether it is a treatable disease with a good prognosis and when unfavorable course may be suggested.
The study is aimed to evaluate CIDP clinical and history characteristics over the long-term follow-up (> 5 years), to compare long-lasting CIDP course with various clinical variants and onset types, and to reveal the clinical predictors of unfavorable CIDP course.
Materials and methods
The study included patients aged >18 years diagnosed with CIDP based on EAN/PNS 2021 criteria lasting for 5 or more years. The 5-year threshold of disease duration was based on the CDAS clinical guidelines [6]. Patients were not included in case of any severe decompensated medical condition or abnormal M gradient secretion (by blood and urine protein electrophoresis plus anti-IgG, anti-IgA, anti-IgM, anti-light chain kappa, and anti-light chain lambda antiserum immunofixation tests).
All the study participants signed informed consent forms for taking part in the study and for personal data processing. The study protocol was approved by the Ethics Committee of the Research Center of Neuro- logy (Protocol No. 8-4/20, 7 October 2020).
At baseline visit, past and present history, neurological examination, and disability assessment were performed. We used internationally accepted scales including Neuropathy Impairment Score (NIS) and Medical Research Council sum score (MRСss) to assess patients' neurological status, and Inflammatory Neuropathy Cause and Treatment (INCAT) to measure their activity limitation [10–15]. Additionally, the medical records were retrospectively analyzed to specify the course of disease and response to specific therapies and to assess patients' neurological status at CIDP onset (by results of examination at the time of diagnosis).
Basing on past history and baseline examination, we specified the following characteristics:
1) clinical variant: typical CIDP (tCIDP) vs mCIDP;
2) chronic onset (CIDP) (symptoms worsening >8 weeks) vs A-SA-СIDP (<8 weeks);
3) relapses (both spontaneously and on therapy) throughout the disease period;
4) progression throughout the disease period.
Considering baseline neurological examination, disease duration, specific therapy duration, and response to therapy, we assessed CIDP activity status (CDAS) [6].
To evaluate factors contributing to CIDP prognosis, we developed the criteria of unfavorable course. They include scored CIDP activity status and scored response to specific therapies, taking into account need for first- or second-line maintenance as well as poor response to predominantly used GCS therapy. The criteria are presented in Table 1. The course of CIDP was considered unfavorable if the total score was less than 4. In other words, in stable inactive disease (CDAS 3), with at least 1 of 3 criteria of poor response to specific therapy, or in unstable active disease (CDAS 4/5) CIDP course was considered unfavorable regardless of other criteria.
Table 1. The criteria of unfavorable CIDP
Criteria | Value | Score |
Poor response to GCS (no improvement on GCS) | No | 0 |
Yes | 1 | |
Need for maintenance treatment (IVIG/GCS/plasmapheresis/GCS + IVIG) | No | 0 |
Yes | 1 | |
Need for the 1st and/or the 2nd line specific therapy at baseline | No | 0 |
Yes | 1 | |
CIDP disease activity status (CDAS)* | 1А, 1В | 1 |
2А, 2В | 2 | |
3А, 3В | 3 | |
4А, 4В | 4 | |
5А, 5В, 5С | 5 |
Note. IVIG, intravenous high-dose human immunoglobulin. *Unfavourable CDAS with follow-up of ≥ 5 years: 3А-В, 4А-В, 5А-С.
Statistical analysis was performed using SPSS Statistics 23.0 (IBM, Armonk, NY, USA). Two-sided criteria were used in all cases. The null hypothesis was rejected at p = 0.05.
Median and quartiles were used to describe quantitative and ordinal variables whereas frequency and percentages were used to describe categorical variables. Quantitative and ordinal variables in two unrelated groups were compared using the Mann—Whitney test. Categorical variables in two unrelated groups were compared using the Pearson's χ2 test or the Fisher's exact test (under constraints). Quantitative variables in two unrelated groups were compared using the Wilcoxcon test.
Predictors of unfavorable CIDP were identified using binary logistic regression with sequential Wald selection of predictors. The model included potential predictors selected by comparison of favorable and unfavorable course groups as described above. Thresholds for quantitative predictors were determined by ROC analysis calculating the Youden's index.
Results
Evaluation of long-term CIDP course
The study included 45 patients, of whom 24 (53.3%) women and 21 (46.7%) men, with CIDP duration of 5 or more years. At baseline, the median [Q25%; Q75%] age was 50 [37; 58] years and the median duration of symptomatic disease was 10 [7; 14] years.
The sample included 33 (73.3%) patients with tCIDP, 12 (26.7%) patients with mCIDP, and no patients with other CIDP clinical variants. The disease had ChO in 28 (62.2%) patients and A-SA-СIDP in 17 (37.8%) patients. CIDP progressed in 24 (53.3%) patients and relapsed in 23 (51.1%) patients.
At onset, all the participants had significant neuro- logical deficit (total NIS 56 [35; 94], total MRCss 54 [46; 58]), and disability (total INCAT 3 [2; 5]). In 5 or more years of the onset, these scores improved. At baseline, total NIS was 21 [13; 46] (p = 0.001), total MRCss was 60 [54; 60] (p = 0.008), and total INCAT was 1 [0; 3] (p = 0.006) (the confidence levels were compared to the corresponding onset confidence levels).
Fifteen (33.4%) participants demonstrated persistent clinical remission for ≥5 years without any specific therapy (CDAS 1А-В). Other 6 (13.3%) participants had clinical remission for <5 years without any specific therapy (CDAS 2А-В). Eleven (24.4%) participants had stable neurological status for ≥1 year on specific therapy (CDAS 3B), 5 (11.1%) participants had stable neurological status for 3–12 months on pathogenetic therapy (CDAS 4B). Unstable active disease was documented in 8 participants including 2 (4.4%) patients on no specific therapy (CDAS 5B) and 6 (13.3%) patients on therapy (СDAS 5С).
We compared patients with A-SA-СIDP and СIDP to eva-luate CIDP course (Table 2). At onset, the patients with A-SA-СIDP were younger than those with СIDP without any significant difference (p = 0.077). Median onset-to-diagnosis time was 1 [1; 3] month in A-SA-СIDP and10 [4; 66] months in СIDP (p < 0.001), which may be related to slow worsening of symptoms in СIDP. Median onset-to-therapy time was 1 [1; 2] month in A-SA-СIDP and 10 [4; 70] months in СIDP (p < 0.0001). Participants with СIDP had progressive CIDP more often than those with A-SA-СIDP (75% vs 17,6%, p < 0.001).
Table 2. Clinical and history characteristics of CIDP patients with various onset types
Characteristics | A-SA-СIDP (< 8 weeks) | СIDP (> 8 weeks) | p |
Number of participants, n | 17 | 28 | |
Sex, n (%): | |||
male | 9 (52.9%) | 12 (42,9%) | 0.552 |
female | 8 (47.1%) | 16 (57,1%) | |
Age at onset, years; Me [Q25%; Q75%] | 26 [18; 43] | 42 [29; 50] | 0.077 |
Disease duration, years; Me [Q25%; Q75%] | 10 [8; 13] | 10 [7; 15] | 0.823 |
Onset-to-therapy time, months; Me [Q25%; Q75%] | 1 [1; 2] | 10 [4; 70] | < 0.001 |
CIDP variant, n (%): | |||
typical | 15 (88.2%) | 18 (64,3%) | 0.096 |
multifocal | 2 (11.8%) | 10 (35,7%) | |
Progressive course, n (%) | 3 (17.6%) | 21 (75,0%) | < 0.001 |
Non-progressive course, n (%) | 14 (82.4%) | 7 (25,0%) | |
Relapsing course, n (%) | 9 (52.9%) | 14 (50,0%) | 1.000 |
Non-relapsing course, n (%) | 8 (47.1%) | 14 (50,0%) | |
NIS, total score, Me [Q25%; Q75%] | |||
at onset | 94 [76; 97] | 41 [24; 55] | < 0.001 |
at baseline | 14 [6; 20] | 30,5 [20; 66] | < 0.001 |
INCAT, total score, Me [Q25%; Q75%] | |||
at onset | 5 [3; 5] | 2 [2; 3] | < 0.001 |
at baseline | 0 [0; 1] | 2 [0; 4] | 0.003 |
Initially, the patients with СIDP had more severe neurological deficit, i.e. higher NIS (p < 0.001) and higher MRCss (p < 0.001), and more significant disability, i.e. higher INCAT (p < 0.001). However, at baseline (in 5 or more years of onset) the participants with A-SA-СIDP demonstrated milder NIS (p < 0.001) and MRCss (p = 0.012) neurological deficit and slight INCAT disability (p = 0.003).
We compared the patients with tCIDP and mCIDP to evaluate the CIDP course in different clinical variants (Table 3). The patients with mCIDP were older than those with tCIDP though non-significantly (p = 0.083). Median worsening time was 3 [1; 6] months in tCIDP and 66 [7; 132] months in mCIDP (p = 0.003), which affected CIDP diagnosis establishment and specific therapy initiation, with mean onset-to-therapy time of 3 [2; 9] months in tCIDP and 66 [8; 108] months in mCIDP (p = 0.011).
Table 3. Clinical and history characteristics of patients with CIDP variants
Characteristics | tCIDP | mCIDP | p |
Number of participants, n | 33 | 12 | |
Sex, n (%): | |||
male | 14 (42.4%) | 7 (58.3%) | 0.501 |
female; n (%) | 19 (57.6%) | 5 (41.7%) | |
Age at onset, years; Me [Q25%; Q75%] | 30 [18; 50] | 43 [40; 49] | 0.083 |
Disease duration, years; Me [Q25%; Q75%] | 10 [7; 15] | 8 [6; 11] | 0.151 |
Duration of symptoms worsening, months; Me [Q25%; Q75%] | 3 [1; 6] | 66 [7; 132] | 0.003 |
Onset-to-therapy time, months; Me [Q25%; Q75%] | 3 [1; 6] | 70 [12; 132] | 0.011 |
Onset type, n (%): | |||
acute-subacute (< 8 weeks) | 15 (45.5%) | 2 (16.7%) | 0.096 |
chronic (> 8 weeks) | 18 (54.5%) | 10 (83.3%) | |
Progressive course, n (%) | 15 (45.5%) | 9 (75.0%) | 0.101 |
Non-progressive course, n (%) | 18 (54.5%) | 3 (25.0%) | |
Relapsing course, n (%) | 18 (54.5%) | 5 (41.7%) | 0.514 |
Non-relapsing course, n (%) | 15 (45.5%) | 7 (58.3%) | |
NIS, total score; Me [Q25%; Q75%] | |||
at onset | 76 [43; 96] | 22 [12; 53] | < 0.001 |
at follow-up | 20 [10; 28] | 63 [20; 81] | 0.008 |
INCAT, total score; Me [Q25%; Q75%] | |||
at onset | 3 [2; 5] | 2 [1; 2] | 0.001 |
at follow-up | 0 [0; 2] | 4 [2; 5] | 0.001 |
Symptoms at onset, n (%): | |||
motor (UL) | 22 (66.7%) | 8 (66.7%) | 1.000 |
motor (LL) | 29 (87.9%) | 4 (33.3%) | 0.001 |
sensory (UL) | 20 (60.6%) | 8 (66.7%) | 1.000 |
sensory (LL) | 24 (72.7%) | 4 (33.3%) | 0.034 |
symmetric | 28 (84.8%) | 4 (33.3%) | 0.002 |
asymmetric | 5 (15.2%) | 8 (66.7%) | |
Symptoms in the follow-up period, n (%): | |||
motor (UL) | 13 (39.4%) | 11 (91.7%) | 0.002 |
motor (LL) | 18 (54.5%) | 10 (83.3%) | 0.096 |
sensory (UL)) | 14 (42.4%) | 10 (83.3%) | 0.020 |
sensory (LL) | 22 (66.7%) | 8 (66.7%) | 1.000 |
symmetric | 23 (92.0%) | 3 (25.0%) | < 0.001 |
asymmetric | 2 (8.0%) | 9 (75.0%) |
Note. UL, upper limbs; LL, lower limbs.
At onset, tCIDP manifested with symmetric symptoms while mCIDP had asymmetric ones (p = 0.002). In early disease, lower limbs were affected more often in the patients with tCIDP including both muscle weakness (87.9% vs 33.3% in the patients with mCIDP; p = 0.001) and sensory disorders (72.7% vs 33.3% in the patients with mCIDP; p = 0.034). At onset, NIS, MRcss, and INCAT scores in the patients with tCIDP also indicated more severe disease than in those with mCIDP (p < 0.001, p = 0.002, and p = 0.001, respectively).
At baseline, 15 (45.5%) patients with tCDIP showed no muscle weakness, while 11 (91.7%) patients with mCIDP still had limb pareses. The patients with tCIDP still had symmetric signs more often, while the patients with mCIDP typically had asymmetric ones (p < 0.001). At baseline, upper limbs were affected significantly more often in the patients with mCIDP including both muscle weakness (91.7% vs 39.4% in the patients with tCIDP; p = 0.002) and sensory disorders (82.3% vs 42.4% in the patients with tCIDP; p = 0.020). Despite more severe tCIDP onset, at baseline the tCDIP patients' NIS, MRСss, and INCAT scores indicated milder disorders than those scores in mCDIP patients (p = 0.008, p = 0.004, and p = 0.001, respectively), which suggests that tCDIP is more treatable.
Table 4 outlines evaluation of specific therapies in patients with CIDP variants. Interestingly, the patients with mCIDP significantly more likely needed specific therapy to maintain remission than those with tCIDP in long-term follow-up (83.3% vs 42.4%, p = 0.020), while maintenance treatment was necessary in 4 (23.5%) patients with A-SA-СIDP and in 20 (71.4%) patients with СIDP (p = 0.002). After GCS therapy, each third patient (38.7% of the patients with tCIDP, 33.3% of the patients with mCIDP) needed GCS to maintain remission, while only 2 (13.3%) patients with A-SA-СIDP needed GCS after primary therapy.
Table 4. Evaluation of specific therapy based on CIDP variants
Therapeutic options | tCIDP | mCIDP | p |
Specific therapy, n (%) | 32 (97.0%) | 9 (75.0%) | 0.052 |
Overall response to therapy, n (% of the patients received) | 31 (96.9%) | 7 (77.8%) | 0.044 |
Need for follow-up maintenance treatment at baseline, n (%) | 14 (42.4%) | 10 (83.3%) | 0.020 |
GCS therapy; n (%) | 31 (93.9%) | 9 (75.0%) | 0.109 |
Response to GCS, n (% of the patients received) | 23 (74.2%) | 2 (22.2%) | 0.010 |
Need for follow-up GCS maintenance treatment, n (% of the patients received) | 12 (38.7%) | 3 (33.3%) | 1.000 |
Carrying out plasmapheresis; n (%) | 23 (69.7%) | 5 (41.7%) | 0.163 |
Response to plasmapheresis, n (% of the patients received) | 16 (69.6%) | 3 (60.0%) | 0.586 |
IVIG therapy, n (%) | 17 (51.5%) | 7 (58.3%) | 0.746 |
Response to IVIG, n (% of the patients received) | 14 (82.4%) | 6 (85.7%) | 1.000 |
Need for follow-up IVIG maintenance treatment, n (% of the patients received) | 9 (52.9%) | 7 (100%) | 0.054 |
Need for follow-up IVIG + GCS maintenance treatment, n (% of the patients received) | 6 (37.5%) | 1 (14.3%) | 0.366 |
Immunosuppression, n (% of the patients received) | 8 (24.2%) | 3 (25.0%) | 1.000 |
Immunosuppression options n (% of the patients received): | 0.133 | ||
azathioprine | 5 (62.5%) | 1(33.3%) | |
cyclophosphamide | 1 (12.5%) | 0 (0%) | |
rituximab + cyclophosphamide | 2 (25.0%) | 0 (0%) | |
rituximab + azathioprine | 0 (0%) | 2 (66.7%) | |
Response to immunosuppression, n (% of the patients received) | 2 (25.0%) | 0 (0%) | 0.206 |
IVIG was used as primary specific therapy (typically in GCS poor effect and GCS side effects). All the patients with mCIDP and 9 (59.2%) patients with tCIDP needed IVIG maintenance after primary therapy. Six (37.5%) participants with tCIDP and 1 (14.3%) participant with mCIDP needed GCS plus IVIG combination as maintenance treatment.
Immunosuppression was initiated in 8 (24.2%) patients with tCIDP and 3 (25.0%) patients with mCIDP due to poor response to first-line therapy. Immunosuppression had positive response in 2 (25.0%) patients with tCIDP and no patients with mCIDP.
Clinical predictors of unfavorable CIDP course
According to our own criteria, at baseline, unfavorable CIDP course was observed in 24 (52.3%) participants, while 21 (46.7%) participants had favorable CIDP course. Table 5 outlines clinical and history characteristics of the patients with favorable or unfavorable CIDP course.
Table 5. Clinical and history characteristics of patients with favorable or unfavorable CIDP course
Characteristics | Unfavourable course | Favourable course | p |
Number of participants, n | 24 | 21 | |
Sex, n (%): | |||
male | 11 (45.8%) | 10 (47.6%) | 1.000 |
female | 13 (54.2%) | 11 (52.4%) | |
Age at disease onset, years; Me [Q25%; Q75%] | 47 [30; 50] | 30 [19; 40] | 0.049 |
Period from onset to initiation of therapy, months; Me [Q25%; Q75%] | 12 [2; 120] | 2 [1; 3] | 0.002 |
CIDP variant, n (%): | |||
tCIDP | 14 (58.3%) | 19 (90.5%) | 0.020 |
mCIDP | 10 (41.7%) | 2 (9.5%) | |
Type of disease onset, n (%): | |||
acute-subacute (< 8 weeks) | 4 (16.7%) | 13 (61.9%) | 0.002 |
chronic | 20 (83.3%) | 8 (38.1%) | |
NIS in onset, total score, Me [Q25%; Q75%] | 44 [24; 71] | 78 [50; 96] | 0.006 |
Carrying out GCS treatment, n (%) | 23 (95.8%) | 17 (81.0%) | 0.169 |
Carrying out plasmapheresis, n (%) | 17 (70.8%) | 11 (52.4%) | 0.233 |
Carrying out IVIg, n (%) | 19 (79.2%) | 5 (23.8%) | < 0.001 |
Carrying out immunosuppressant therapy, n (%) | 8 (33.3%) | 3 (14.3%) | 0,177 |
CIDP manifested at the age of 47 [30; 50] in the participants with unfavorable CIDP and at an earlier age of 30 [19; 40] in the participants with favorable CIDP (p = 0.049). Unfavorable course was aslo more typical for ChO (83.3% vs 38,1%; p = 0.002) and tCIDP (41.7% vs 9.5%; p = 0.020).
The patients with unfavorable CIDP course had less prominent neurological deficit at onset. Particularly, median NIS total score was 44 [24; 71] in the participants with unfavorable CIDP course and 78 [50; 96] in the participants with favorable CIDP course (p = 0.006). However, at enrollment to the follow-up study, neurological deficit became more prominent in the participants with unfavorable CIDP course. Median NIS total score was 55 [24; 74] in the participants with unfavorable CIDP course and 12 [8; 21] in the participants with favorable CIDP course (p < 0.001).
Onset-to-therapy time in the participants with unfavorable CIDP course was 12 [2; 120] months vs 2 [1; 3] months (p = 0.002).
We compared the patients with favorable and unfavorable CIDP course and selected a number of predictors including onset age, onset type, onset-to-therapy type, onset NIS, and CIDP clinical variant.
We analyzed the model including the above factors and determined the NIS total score at onset and CIDP clinical variant as predictors of CIDP course. Subsequently, unfavorable course was more probable in mCIDP and, unexpectedly, a lower total NIS score (i.e. milder neurological deficit) at onset.
In one of the CIDP clinical variants, calculation of the significance level and the odds ratio was limited by the small sample. However, the predictive model was reliable (p < 0.001 for the model, R2N = 0.456, P = 0.945 for the Hosmer–Lemeshow test).
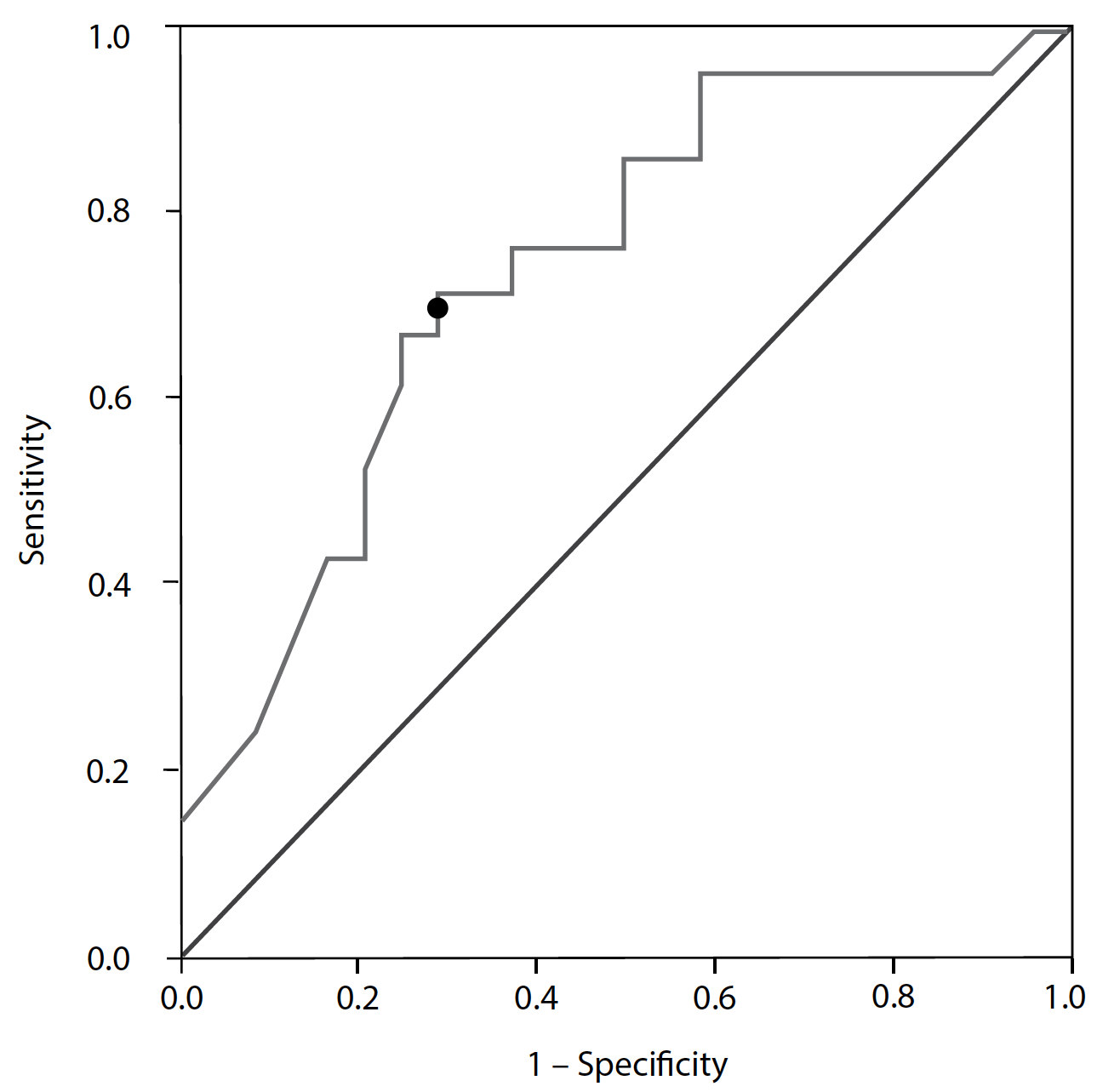
The threshold was determined for the NIS total score at the onset by ROC analysis (see Figure). The AUC [95% CI] was 0.739 [0.593, 0.885]. The Youden's optimum threshold was determined as 60 (probability of unfavorable CIDP course increases with NIS total score at the onset < 60). Sensitivity was 71.4%. Specificity was 70.8%.
The ROC curve for NIS total score at the disease onset.
Discussion
We performed retrospective analysis of clinical and history data in the sufficient sample of patients with CIDP duration of over 5 years. CDAS indicated clinical remission in 33.4% of the participants without any specific therapy during 5 or more years (CDAS 1А-1В), which demonstrates the possibility of stabilization of neurological status and maintenance treatment withdrawal in long-term follow-up. Nevertheless, 13.3% of the patients had unstable active disease with poor response to therapy.
The sample is distinguished by the patients with both A-SA-СIDP and СIDP as well as both tCIDP and mCIDP included to evaluate the contribution of onset types and clinical variants.
We conclude that A-SA-СIDP was typical for younger patients as compared to CIDP, which corresponds to G. Liberatore’s et al. results [16]. At onset, the A-SA-СIDP participants had more significant neurological deficit (NIS 94 [76; 97]) and disability (INCAT 5 [3; 5]). Thus, specific therapy was initiated in most patients with A-SA-СIDP in one month of onset despite incorrect the diagnosis of acute inflammatory demyelinating polyneuropathy. Simultaneously, median onset-to-therapy time was 10 [4; 70] months, i.e. therapy was significantly delayed. The above might be the reason why the A-SA-СIDP patients had milder neurological deficit (NIS 14 [6; 20]) and minimal disability (INCAT 0 [0; 1]) in 5 or more years. S. Kuwabara's et al. results correspond to our results. However, G. Liberatore et al. note less favorable course in A-SA-СIDP patients [7, 16], which may result from late diagnosis of acute CIDP and prolonged management of these patients as Guillain–Barré syndrome (without any GCS therapy).
Our sample included 73% of the participants with tCDIP and 27% of the participants with mCDIP, which corresponds to the M. Mahdi-Roger et al. results [17]. Simultaneously, P. Doneddu et al. observed mCIDP in 4% of the patients [4]. Noteworthily, we were not able to assess IgG4-antibodies (neurofascin 155, contactin 1, contactin-associated protein, and neurofascin 140/186 isoforms) and to establish nodopathies that do not comply with EAN/PNS202 CIDP criteria due to clinical phenotypes, disease courses, and first-line therapy resistance [3, 18, 19]. Nevertheless, most A-SA-СIDP study participants responded to GCS therapy and had slight neurological deficit in long-term follow-up, which is not typical for autoimmune nodopathies. Therefore, we suppose that the study did not include any patients with autoimmune nodopathies.
In the study, A-SA-СIDP was more common in tCIDP though it was observed in 17% of the patients with mCIDP that typically progresses slowly [20]. In most tCIDP patients, symptoms worsened within six months, and we could establish diagnosis within a year in vast majority of the participants (88%). At onset, the patients with tCIDP had more severe neurological deficit (NIS 76 [43; 96]) and disability (INCAT 3 [2; 5]) as compared to mCIDP. Most patients with tCIDP showed symmetric motor and sensory disorders in the upper and mostly lower limbs, which corresponds to the presumable clinical conception of the disease and its clinical criteria.
When diagnosed, 97% of the participants with tCIDP were recommended specific therapy, usually GCS. Half of the participants with tCIDP received IVIG (often combined with GCS). A quarter of the patients received cytostatics in poor response to first-line therapy. Up to 97% of the participants with tCIDP responded to the specific therapy whereas less than half (42%) of the patients needed maintenance treatment in long term.
Analysis of tCIDP course showed that symptoms remained symmetric, mostly in the lower limbs, in long-term follow-up. The patients further demonstrated less severe neurological deficit (NIS 20 [10; 28]) and disability (INCAT 0 [0; 2]) as compared to mCIDP. Moreover, the patients with tCIDP had less severe neurological deficit and disability in 5 or more years than at onset, which indicates possible recovery of motor function and improvement of functional activity in timely specific therapy and generally confirms that CIDP is a treatable disease with favorable course.
In our study the mCIDP participants had typically later onset, quite mild neurological deficit (NIS total score 22 [12; 53]) and mild disability (INCAT 2 [1; 2]) at onset. In this subpopulation, the disease often (66.7%) manifested asymmetrically, with muscle weakness and sensory disorders (mostly in the upper limbs), which is known to be typical for mCIDP rather than for tCIDP [21]. Slow symptomatic progression (median 66 [7; 132] months) increased onset-to-diagnosis and therapy time. In 57% of the patients, mCIDP was diagnosed in 3 or more years of onset (66 [8; 108] months vs 3 [2; 9) months in tCIDP; P = .011).
Seventy-five percent of the participants with mCIDP received specific therapy, while 25% of patients with milder neurological deficit expected to receive IVIG. Only 22% of the patients with mCIDP responded to GCS therapy. IVIG therapy was initiated in 58% of the patients, with response observed in 86% of them, which confirms a better response to IVIG in comparison with response to GCS in mCIDP [20]. In the long term, 83% of the participants with mCIDP, i.e. twice as many as those with tCIDP (42.4%), needed maintenance treatment to achieve remission (p = 0.020). Therefore, mCIDP is evidently more difficult to manage than tCIDP.
In long-term follow-up, the patients with mCIDP still demonstrated asymmetric symptoms (mostly in the upper limbs). Thus, the clinical manifestations did not transform to symmetric pattern that would be typical for tCIDP, which was probably related to different pathophysiological mechanisms [18, 22]. At the moment of retrospective analysis (≥5 years of the disease onset), the participants with mCIDP had significantly more severe neurological deficit (NIS 63 [20; 81]) and disability (INCAT 4 [2; 5]) as compared to onset. CDAS 5 in 50% of the patients with mCIDP indicated unstable active disease. Supposedly, specific therapy can only be used for stabilizing disease in most patients with mCIDP. Therefore, we have detailed information on long-term disease course and sufficient evidence to state that, despite specific therapies, mCIDP should not be considered as a quite favorable type, especially with progression of neurological deficit and worsening of disability.
Our results correspond to those of G. Fargeot et al. who emphasized differentiation of mCIDP from other variants to predict therapeutic response that is usually worse than that in tCIDP. They also specify mCIDP features we note including poor effectiveness of GCS and plasmapheresis, IVIG dependence, and a less favorable prognosis in long-term disease [20].
With detailed information on the course of CIDP variants, we made effort to study the predictors of unfavorable course. Basing on our experience and comparisons, we proposed the following criteria of unfavorable course: poor response to GCS therapy; need for maintenance treatment; CDAS 3–5 in long-term follow-up. In accordance with our results, unfavorable CIDP course is more probable in quite mild neurological deficit (NIS total score <60) at onset with another negative predictor being mCIDP. In the literature, the predictors of unfavorable course include late onset, slow progression, asymmetric symptoms, and delayed therapy initiation. Conversely, early onset and A-SA-СIDP, symmetric symptoms, severe neurological deficit at onset, relapsing disease, timely initiation of specific therapy, and adequate response to therapy are considered as positive predictors [7–9, 16, 23]. Our results correspond to the earlier publications on CIDP predictors. Late onset, slow progression, asymmetric symptoms, and longer onset-to-therapy time are typical for mCIDP. Association of low onset NIS score with unfavorable prognosis may be related to the fact that each third patient had mCIDP, with mild onset neurological deficit, typically in the upper limbs, and slow progression. Additionally, we included no patients with sensory CIDP, i.e. those with mild deficit and more favorable course.
Conclusion
Therefore, favorable course was typical for tCIDP, as 90% of the patients demonstrated positive response to first-line specific therapy at onset, and 34% of the patients had no neurological deficit with persistent clinical remission in 5 or more years of the disease onset. In long-term follow-up (> 5 years), the patients with tCIDP had less significant neurological deficit and disability than during the first years and only 53% of patients needed maintenance treatment to achieve remission. Unfavorable course is more probable in milder neurological deficit at onset (NIS <60) and mCIDP, which is often associated with later diagnosis and specific therapy initiation. Over time, symptoms stay asymmetric and the upper limbs are more involved in mCIDP with more severe progression of neurological and functional deficits. A-SA-СIDP has typically more favorable course with less significant neurological deficit and the need for maintenance treatment in 23.5% of the patients in long-term follow-up [24].
Ethics approval. The study was conducted with the informed consent of the patients. The study protocol was approved by the Ethics Committee of the Research Center of Neurology (Protocol No. 8-4/20, 7 October 2020).
Source of funding. The study was conducted by the Research Center of Neurology on state assignment.
Conflict of interest. The authors declare no apparent or potential conflicts of interest related to the publication of this article.
About the authors
Evgeniya A. Melnik
Research Center of Neurology
Author for correspondence.
Email: evmel88@gmail.com
ORCID iD: 0000-0001-5436-836X
Cand. Sci. (Med.), Neurologist
Russian Federation, MoscowAlina S. Arestova
Research Center of Neurology
Email: rizvanova.alina@gmail.com
ORCID iD: 0000-0002-9890-3552
Neurologist
Russian Federation, MoscowIrina A. Berdalina
Research Center of Neurology
Email: berdalina@neurology.ru
ORCID iD: 0009-0001-8707-180X
Statistician, Department of Training of Highly Qualified Personnel, Institute of Medical Education and Professional Development
Russian Federation, MoscowElena V. Gnedovskaya
Research Center of Neurology
Email: gnedovskaya@mail.ru
ORCID iD: 0000-0001-6026-3388
D. Sci. (Med.), Director, Institute of Medical Education and Professional Development
Russian Federation, MoscowDarya A. Grishinа
Research Center of Neurology
Email: Grishina82@gmail.com
ORCID iD: 0000-0002-7924-3405
Cand. Sci. (Med.), Head, Center for Diseases of the Peripheral Nervous System
Russian Federation, MoscowNatalia A. Suponeva
Research Center of Neurology
Email: nasu2709@mail.ru
ORCID iD: 0000-0003-3956-6362
D. Sci. (Med.), Corresponding Member of the Russian Academy of Sciences, Director, Institute of Neurorehabilitation and Restorative Technologies
Russian Federation, MoscowMichail A. Piradov
Research Center of Neurology
Email: mpi711@gmail.com
ORCID iD: 0000-0002-6338-0392
D. Sci. (Med.), Academician of the Russian Academy of Sciences, Director
Russian Federation, MoscowReferences
- Broers M., Bunschoten C., Nieboer D. et al. Incidence and prevalence of CIDP: a systematic review and meta-analysis. Neuroepidemiology. 2019;52 (3–4):161–172. doi: 10.1159/000494291
- Querol L., Crabtree M., Herepath M. et al. Systematic literature review of burden of illness in chronic inflammatory demyelinating polyneuropathy (CIDP). J. Neurol. 2021;268(10):3706–3716. doi: 10.1007/s00415-020-09998-8
- Van den Bergh P.Y.K., van Doorn P.A., Hadden R.D.M. et al. European Academy of Neurology/Peripheral Nerve Society guideline on diagnosis and treatment of chronic inflammatory demyelinating polyradiculoneuropathy: report of a joint Task Force − Second revision. J. Peripher. Nerv. Syst. 2021;26(3):242–268. doi: 10.1111/jns.12455
- Doneddu P.E., Cocito D., Manganelli F. et al. Italian CIDP Database study group. Atypical CIDP: diagnostic criteria, progression and treatment response. Data from the Italian CIDP Database. J. Neurol. Neurosurg. Psychiatry. 2019;90(2):125–132. doi: 10.1136/jnnp-2018-318714
- Ризванова А.С., Гришина Д.А., Супонева Н.А. Клиническая гетерогенность хронической воспалительной демиелинизирующей полинейропатии: трудности диагностики. Альманах клинической медицины. 2020;48(1):56–64. Rizvanova A.S., Grishina D.A., Suponeva N.A. Clinical he- terogeneity of chronic inflammatory demyelinating polyneuropathy: diagnostic challenges. Almanac of Clinical Medicine. 2020;48(1):56–64. doi: 10.18786/2072-0505-2020-48-007
- Gorson K.C., van Schaik I.N., Merkies I.S. et al. Chronic inflammatory demyelinating polyneuropathy disease activity status: recommendations for clinical research standards and use in clinical practice. J. Peripher. Nerv. Syst. 2010;15(4):326–333. doi: 10.1111/j.1529-8027.2010.00284.x
- Kuwabara S., Misawa S., Mori M. et al. Long term prognosis of chronic inflammatory demyelinating polyneuropathy: a five year follow up of 38 cases. J. Neurol. Neurosurg. Psychiatry. 2006;77(1):66–70. doi: 10.1136/jnnp.2005.065441
- Spina E., Topa A., Iodice R. et al. Early predictive factors of disability in CIDP. J. Neurol. 2017;264(9):1939–1944. doi: 10.1007/s00415-017-8578-9
- Al-Zuhairy A., Sindrup S.H., Andersen H., Jakobsen J. A population-based study of long-term outcome in treated chronic inflammatory demyelinating polyneuropathy. Muscle Nerve. 2020;61(3):316–324. doi: 10.1002/mus.26772
- Dyck P.J., Turner D.W., Davies J.L. et al. Electronic case-report forms of symptoms and impairments of peripheral neuropathy. Can. J. Neurol. Sci. 2002;29(3):258–266. doi: 10.1017/s0317167100002043
- Medical Research Council. Aids to the examination of the peripheral nervous system. HM Stationery Office; 1976. P. 70.
- Compston A. Aids to the investigation of peripheral nerve injuries. Medical Research Council: Nerve Injuries Research Committee. Brain. 2010;133(10):2838–2844. doi: 10.1093/brain/awq270
- Супонева Н.А., Арестова А.С., Мельник Е.А. и др. Валидация шкалы суммарной оценки мышечной силы (MRC sum score) для использования у русскоязычных пациентов с хронической воспалительной демиелинизирующей полинейропатией. Нервно-мышечные болезни. 2023;13(1):68–74. Suponeva N.A., Arestova А.S., Melnik Е.А. et al. Validation of the Medical Research Council sum score (MRCss) for use in Russianspeaking patients with chronic inflammatory demyelinating polyneuropathy. Neuromuscular Diseases. 2023;13(1):68–74. doi: 10.17650/2222-8721-2023-13-1-68-74
- Merkies I.S.J., Schmitz P.I.M. Getting closer to patients: the INCAT Overall Disability Sum Score relates better to patients’ own clinical judgement in immune-mediated polyneuropathies. J. Neurol. Neurosurg. Psychiatry. 2006;77(8):970–972. doi: 10.1136/jnnp.2005.076174
- Арестова А.С., Мельник Е.А., Зайцев А.Б. и др. Шкала «Этиология и лечение воспалительной нейропатии» (Inflammatory Neuropathy Cause and Treatment, INCAT) для оценки степени инвалидизации у больных хронической воспалительной демиелинизирующей полинейропатией: лингвокультурная адаптация в России. Нервно-мышечные болезни. 2021;11(4):26–33. Arestova А. S., Melnik Е. А., Zaytsev A. B. et al. Inflammatory Neuropathy Cause and Treatment (INCAT) Scale for the assessment of disability level in patients with chronic inflammatory demyelinating polyneuropathy: linguocultural ratification in Russia. Neuromuscular Diseases. 2021;11(4):26–33. doi: 10.17650/2222872120211142633
- Liberatore G., Manganelli F., Cocito D. et al. Revelance of diagnostic investigations in chronic inflammatory demyelinating poliradiculoneuropathy: data from Italian CIDP database. J. Peripher. Nerv. Syst. 2020;25(2):152–161. doi: 10.1111/jns.12378
- Mahdi-Rogers M., Hughes R.A. Epidemiology of chronic inflammatory neuropathies in Southeast England. Eur. J. Neurol. 2014;21(1):28–33. doi: 10.1111/ene.12190
- Mathey E.K., Park S.B., Hughes R.A. et al. Chronic inflammatory demyelinating polyradiculoneuropathy: from pathology to phenotype. J. Neurol. Neurosurg. Psychiatry. 2015; 86(9):973–985. doi: 10.1136/jnnp-2014-309697
- Querol L., Nogales-Gadea G., Rojas-Garcia R. et al. Neurofascin IgG4 antibodies in CIDP associate with disabling tremor and poor response to IVIg. Neurology. 2014;82(10):879–886. doi: 10.1212/WNL.0000000000000205
- Fargeot G., Maisonobe T., Psimaras D. et al. Comparison of Lewis–Sumner syndrome with chronic inflammatory demyelinating polyradiculoneuropathy patients in a tertiary care centre. Eur. J. Neurol. 2020;27(3):522–528. doi: 10.1111/ene.14101
- Ризванова А.С., Мельник Е.А., Гришина Д.А., Супонева Н.А. Синдром Льюиса–Самнера: анализ случаев атипичного дебюта с первичного асимметричного поражения нервов ног. Ульяновский медико-биологический журнал. 2021;(3):79–88. Rizvanova A.S., Mel’nik E.A., Grishina D.A., Suponeva N.A. Lewis–Sumner syndrome: Analysis of atypical onset with primary asymmetric lesions of lower limb nerves. Ulyanovsk Medico-Biological Journal. 2021;(3):79–88. doi: 10.34014/2227-1848-2021-3-79-88
- Lehmann H.C., Burke D., Kuwabara S. Chronic inflammatory demyelinating polyneuropathy: update on diagnosis, immunopathogenesis and treatment. J. Neurol. Neurosurg. Psychiatry. 2019;90(9):981–987. doi: 10.1136/jnnp-2019-320314
- Querol L., Rojas-Garcia R., Casasnovas C. et al. Long-term outcome in chronic inflammatory demyelinating polyneuropathy patients treated with intravenous immunoglobulin: a retrospective study. Muscle Nerve. 2013;48(6): 870–876. doi: 10.1002/mus.23843
- Гришина Д.А., Супонева Н.А., Ризванова А.С. Стационарное течение атипичных форм хронической воспалительной демиелинизирующей полинейропатии: клиническое наблюдение за 8 пациентами без проведения патогенетической терапии. Нервно-мышечные болезни. 2020;10(2):22–30. Grishina D.A., Suponeva N.A., Rizvanova A.S. Atypical variants of chronic inflammatory demyelinating polyneuropathy with benign course: a clinical observation for 8 patients without pathogenic therapy. Neuromuscular Diseases. 2020;10(2):22–30.






