Активность глюкоцереброзидазы и уровень α-синуклеина в крови у пациентов с GBA1-ассоциированной болезнью Паркинсона и бессимптомных носителей мутаций в гене GBA1
- Авторы: Емельянов А.К.1,2, Усенко Т.С.1,2, Копытова А.Э.1,2,3, Милюхина И.В.2,4, Тимофеева А.А.2, Безрукова А.И.1,2, Кулабухова Д.Г.1,2, Байдакова Г.В.5, Николаев М.А.1,2, Лавринова А.О.1, Кудреватых А.В.4, Журавлев А.С.1,2,3, Захарова Е.Ю.5, Пчелина С.Н.1,2,6
-
Учреждения:
- Петербургский институт ядерной физики имени Б.П. Константинова НИЦ «Курчатовский институт»
- Первый Санкт-Петербургский государственный медицинский университет имени академика И.П. Павлова
- Сургутский государственный университет
- Институт мозга человека имени Н.П. Бехтеревой РАН
- Медико-генетический научный центр имени академика Н.П. Бочкова
- Институт экспериментальной медицины
- Выпуск: Том 18, № 3 (2024)
- Страницы: 50-57
- Раздел: Оригинальные статьи
- Статья получена: 20.03.2024
- Статья одобрена: 27.04.2024
- Статья опубликована: 03.10.2024
- URL: https://annaly-nevrologii.com/pathID/article/view/1106
- DOI: https://doi.org/10.17816/ACEN.1106
- ID: 1106
Цитировать
Аннотация
Введение. Мутации в гене GBA1, кодирующем лизосомный фермент глюкоцереброзидазу (GCase), являются наиболее распространённым генетическим фактором риска развития болезни Паркинсона (БП), в основе патогенеза которой лежит гибель дофаминергических нейронов чёрной субстанции головного мозга, ассоциированная с агрегацией белка α-синуклеина. Однако не у всех носителей мутаций в гене GBA1 развивается БП в течение жизни.
Целью настоящего исследования являлась оценка активности GCase и уровня α-синуклеина в CD45+-клетках в крови пациентов с БП, ассоциированной с мутациями в гене GBA1 (GBA-БП), бессимптомных носителей мутаций в гене GBA1 (GBA-носители) и пациентов со спорадической формой БП (сБП), а также корреляции между изучаемыми параметрами в исследуемых группах.
Материалы и методы. В исследование включены пациенты с GBA-БП (n = 25) и сБП (n = 147), GBA-носители (n = 16). Контрольную группу составили здоровые лица (n = 154). Уровень α-синуклеина в CD45+-клетках определяли путём иммуноферментного анализа, активность GCase в сухом пятне крови — высокоэффективной жидкостной хроматографии в сочетании с тандем-масс-спектрометрией.
Результаты. Выявлен повышенный уровень белка α-синуклеина в CD45+-клетках крови в группе пациентов с GBA-БП, сБП, а также GBA-носителей по сравнению с контролем (p = 0,0043; p = 0,0002; p = 0,032 соответственно). Активность GCase была снижена у пациентов с GBA-БП и GBA-носителей по сравнению с пациентами с сБП (p = 0,0003; p = 0,003 соответственно) и контролем (p < 0,0001; p < 0,0001 соответственно). Однако обратная корреляция уровня α-синуклеина и активности GCase наблюдалась только у пациентов с GBA-БП, но не у GBA-носителей.
Заключение. Полученные данные свидетельствуют о возможной функциональной взаимосвязи между активностью GCase и метаболизмом белка α-синуклеина при БП, ассоциированной с мутациями в гене GBA1.
Ключевые слова
Полный текст
Введение
Болезнь Паркинсона (БП) — это распространённое нейродегенеративное заболевание, характеризующееся гибелью дофаминергических нейронов головного мозга и ассоциированное с агрегацией в них белка α-синуклеина. В основном БП является спорадическим заболеванием, однако в 10% случаев наблюдается отягощённый семейный анамнез. Описан ряд генов, мутации в которых приводят к развитию наследственных форм БП [1, 2]. Мутации в гене GBA1 являются фактором высокого риска БП и приводят к развитию GBA-ассоциированной БП (GBA-БП) с распространённостью до 10% среди пациентов с БП в зависимости от популяции [3–5].
Ген GBA1 кодирует лизосомный фермент глюкоцереброзидазу (GCase), который участвует в расщеплении лизосфинголипида глюкозилцерамида на глюкозу и церамид. Биаллельные мутации в гене GBA1 приводят к развитию редкого аутосомно-рецессивного заболевания — болезни Гоше, сопровождающейся снижением активности GCase до 5–30% в зависимости от типа мутаций, а также накоплением её субстрата [3, 6, 7]. При гетерозиготном носительстве мутаций в гене GBA1 как у GBA-БП, так и у бессимп-томных носителей мутаций в данном гене (GBA-носители) также наблюдается снижение ферментативной активности GCase и повышение концентрации лизосфинголипида глюкозилцерамида, но данные нарушения выражены в меньшей степени по сравнению с пациентами с болезнью Гоше [8–10]. Следует отметить, что не у всех носителей мутаций в гене GBA1 происходит манифестация БП в течение жизни, и механизм патогенеза заболевания остаётся неясным.
В настоящее время предполагается двунаправленное влияние дисфункции GCase на уровень α-синуклеина по механизму прямой–обратной связи [11, 12]. В экспериментах in vitro выявлено, что α-синуклеин способен напрямую взаимодействовать с GCase, приводя к снижению её активности [13].
В ряде других исследований показано, что дисфункция GCase может приводить к накоплению α-синуклеина в нейронах, полученных из индуцированных плюрипотентных стволовых клеток [11]. У модельных животных с дисфункцией GCase [14], а также в дофаминергических нейронах, полученных из индуцированных плюрипотентных стволовых клеток, и мононуклеарных клетках периферической крови пациентов с GBA-БП [15, 16] и болезнью Гоше [15, 17] был выявлен повышенный уровень α-синуклеина.
Цель работы — оценить уровень α-синуклеина в CD45+-клетках и активность GCase в крови пациентов с GBA-БП, GBA-носителей, сБП и группы контроля, а также корреляцию между данными показателями в исследуемых группах.
Материалы и методы
Группы, включённые в исследование
В исследование были включены пациенты с GBA-БП (гетерозиготные носители мутаций в гене GBA1; n = 25) и сБП (n = 147), GBA-носители (n = 16) и группа контроля (n = 154). Постановка диагноза производилась на основании критериев Британского банка мозга [18] и Международного сообщества по двигательным расстройствам [19]. Пациенты с БП проходили обследование в Институте мозга человека им. Н.П. Бехтеревой РАН и Первом Санкт-Петербургском государственном медицинском университете им. акад. И.П. Павлова. В исследование были включены пациенты с сБП, ранее не принимавшие препараты L-ДОФА. Пациенты с GBA-БП получали терапию L-ДОФА.
Группа GBA-носителей (n = 16, неврологически здоровые лица с гетерозиготными мутациями в гене GBA1) была составлена из родственников пациентов с болезнью Гоше. Наличие мутаций было подтверждено прямым секвенированием ДНК по Сэнгеру. Все участники исследования проходили клинико-неврологическое обследование для исключения нейродегенеративных заболеваний. Лица контрольной группы (n = 154) проходили обследование в Первом Санкт-Петербургском государственном медицинском университете им. акад. И.П. Павлова. У всех пациентов с сБП и лиц контрольной группы отсутствие распространённых мутаций GBA1 (L444P, N370S, E326K) было подтверждено с помощью полимеразной цепной реакции и рестрикционного анализа [5]. Контрольная и экспериментальные группы не различались по возрасту и полу.
Все процедуры, выполненные в исследованиях с участием людей, соответствуют этическим стандартам Национального комитета по исследовательской этике и Хельсинкской декларации или сопоставимым нормам этики. От каждого участника исследования было получено информированное добровольное согласие. Протокол исследования одобрен Этическим комитетом Института мозга человека им. Н.П. Бехтеревой РАН (протокол № 1 от 26.11.2020).
Определение уровня α-синуклеина в CD45+-клетках
CD45+-клетки выделяли из 8 мл периферической крови центрифугированием в градиенте плотности фиколла («Ficoll-Paque PLUS», «GE Healthcare») с последующей магнитной сортировкой с использованием микрочастиц, конъюгированных с антителами к CD45+-рецепторам, и колонок miniMACS типа MS («Miltenyi Biotec»). Клеточную суспензию аликвотировали и замораживали при –70º С.
Клетки лизировали с помощью набора для экстракции общего белка «Chemicon» («Millipore»). Концентрацию общего белка измеряли с помощью набора «Pierce BCA» («Thermo Scientific»). Уровень α-синуклеина в CD45+-клетках определяли с помощью иммуноферментного анализа с использованием набора для детекции α-синуклеина человека («Thermo Fisher Scientific»). Все образцы были выровнены по количеству общего белка (6 мкг) и оценены в 3 повторах. Оптическую плотность измеряли с помощью микропланшетного спектрофотометра «XMark» («Bio-Rad»).
Измерение активности GCase в крови
Активность GCase определяли методом высокоэффективной жидкостной хроматографии с тандемной масс-спектрометрией в сухих пятнах крови [10]. Ферментативную активность оценивали путём измерения концентрации продукта, полученного в результате реакции фермента с субстратом: фермент (Ф) + субстрат (С) + (ФС комплекс) Ф + продукт.
Масс-спектрометрический анализ проводили на тандемном масс-спектрометре «API 3200 QTrap» («ABSciex») в режиме мониторинга множественных реакций. Активность рассчитывали исходя из предположения, что количество полученного продукта прямо пропорционально активности ферментов лизосом в сухом пятне крови.
В качестве контроля использованы образцы с известным уровнем активности ферментов, полученных из Центра по контролю и профилактике заболеваний США, которые были добавлены в каждый планшет.
Статистический анализ
Статистический анализ проводили с использованием программного обеспечения R (версия 3.6.2). Соответствие полученных данных нормальному распределению было проверено с помощью критерия Шапиро–Уилка. Попарное сравнение вариационных рядов осуществляли с использованием U-критерия Манна–Уитни. Значения p < 0,05 считали статистически значимыми. Корреляцию между исследуемыми группами оценивали с использованием коэффициента Спирмена. Клинические и экспериментальные данные представлены как среднее значение ± стандартное отклонение (M ± SD) и медиана (минимум–максимум) соответственно.
Результаты
Клинические характеристики пациентов и лиц контрольной группы, участвовавших в исследовании, представлены в таблице. Поскольку риск БП у носителей мутаций N370S, L444P гена GBA1 повышен в 6–7 раз, а в случае мутации E326K — в 2 раза, уровень α-синуклеина и активность GCase были проанализированы как в группе пациентов с мутациями N370S, L444P (GBA-БП — N370S, L444P), так и в общей группе, включающей пациентов с БП с мутациями N370S, L444P и E326K (все_GBA-БП).
Клинические характеристики и изучаемые параметры индивидуумов исследуемых групп
Clinical characteristics and study parameters of participants in study groups
Параметр | Parameter | Контроль Control | сБП | sPD | GBA-носители GBA carriers | GBA-БП, мутации | GBA-PD, mutations | |
N370S, L444P, E326K | N370S, L444P | ||||
N | 154а 68g | 147а 40б | 16а 15g | 25 | 15 |
Пол (м/ж) Gender (M/F) | 75/79а 32/36g | 61/86а 16/24g | 5/11а 5/10g | 15/10 | 9/6 |
Возраст, лет Age, years (M ± SD) | 62,02 ± 9,06а 59,68 ± 8,76g | 63,36 ± 9,26а 61,57 ± 8,56g | 53,93 ± 8,19а 53,26 ± 8,31g | 61,74 ± 9,91 | 62,71 ± 11,19 |
Возраст начала, лет Age of onset, years (M ± SD) | N/A | 59,32 ± 10,00а 57,17 ± 8,91g | N/A | 57,32 ± 9,91 | 57,00 ± 11,20 |
Мутации в гене GBA1 GBA1 mutations | N/A | N/A | 5 L444P/Nа, g, 4 N370S/Nа, g, 1 L326P/Nа, g, 1 N227S/Nа, g, 1 R159W/Nа, g, 4 E326K/Nа/3 E326K/Ng | 8 L444P/N, 7 N370S/N, 10 E326K/N | 8 L444P/N, 7 N370S/N |
Уровень α-синуклеина, нг/мл Levels of α-synuclein, ng/mL | 6,56 (0,46–45,70) | 9,28 (0,63–65,60), p* = 0,0002 | 12,80 (1,22–41,30) p* = 0,032 | 10,80 (0,68–51,40), p* = 0,0043 | 12,90 (2,92–37,50), p* = 0,0014 |
Активность Gcase, мМ/л/ч Gcase activity, mM/L/h | 8,14 (1,55–32,10) | 7,60 (3,33–14,70) | 4,67 (2,33–10,40) p* = 3,9e-05 p** = 0,003 | 4,28 (1,51–13,20) p* = 5,1e-06 p** = 0,00027 | 4,40 (1,51–6,13) p* = 1,5e-06 p** = 9,9e-05 |
Примечание. aИсследование по оценке уровня α-синуклеина; gисследование по оценке активности GСase. N/A — не определяли. *p — по сравнению с контролем; **p — по сравнению с сБП.
Note. aAssay of α-synuclein levels; gAssay of GCase activity. N/A, not assessed. *p compared to the control group; **p compared to sPD patients.
В результате проведённого исследования показано, что уровень α-синуклеина в CD45+-клетках пациентов групп все_GBA-БП и GBA-БП, а также у GBA-носителей был повышен по сравнению с индивидуумами контрольной группы (р = 0,0043; р = 0,0014; р = 0,032 соответственно; таблица). Уровень α-синуклеина также был повышен у пациентов с сБП по сравнению с контрольной группой (р = 0,0002). У пациентов с GBA-БП, а также у GBA-носителей наблюдалось снижение активности GСase по сравнению с пациентами с сБП (p = 0,0003; p = 0,003) и контрольной группой (p < 0,0001; p < 0,0001; таблица), что согласуется с полученными ранее результатами [2].
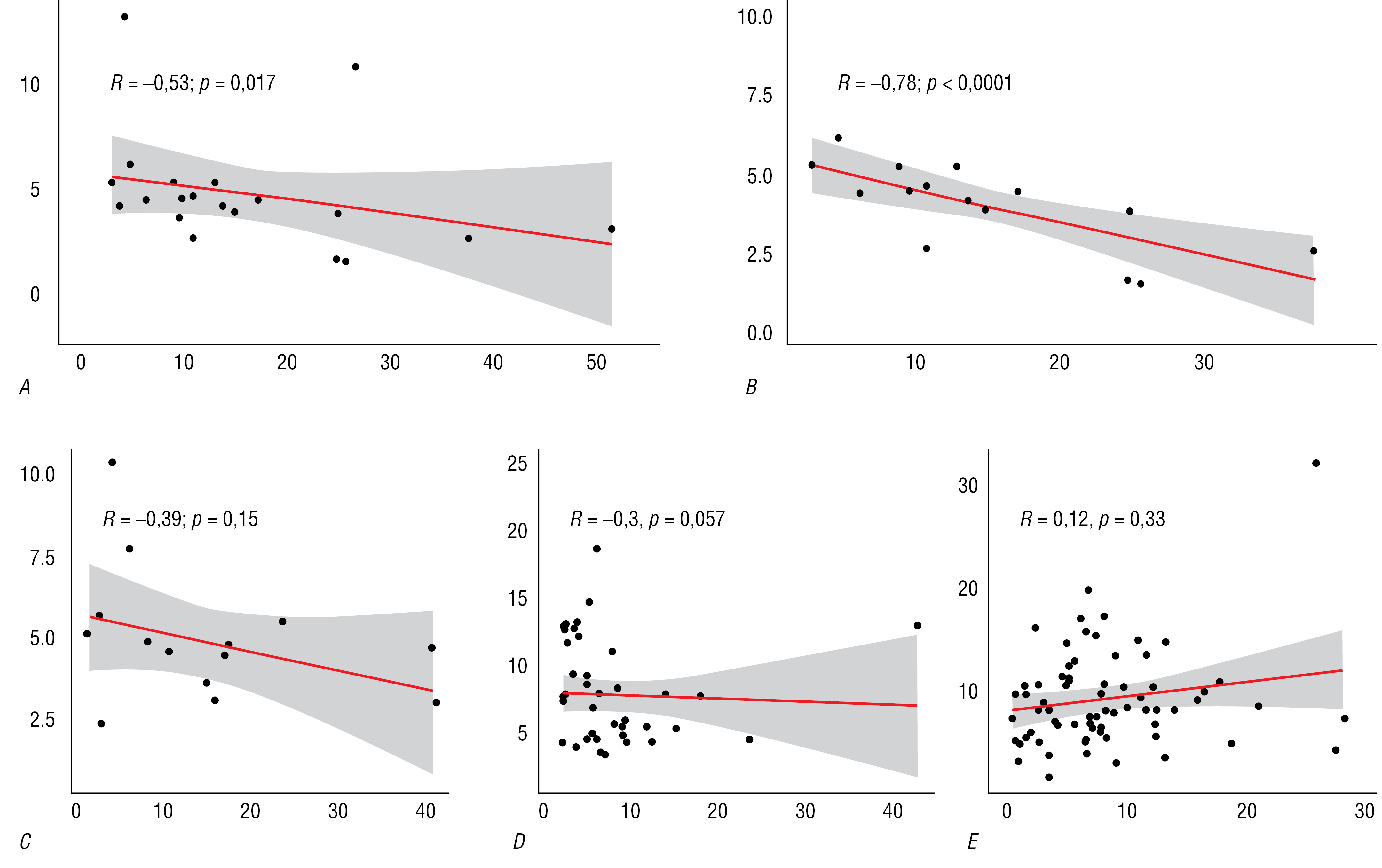
Выявлена обратная корреляция между активностью GCase и уровнем α-синуклеина в CD45+-клетках в крови у пациентов групп все_GBA-БП (R = –0,53; p = 0,017), GBA-БП (R = –0,78; p < 0,0001), но не в группе GBA-носителей (R = –0,39; p = 0,15; рисунок). В группе пациентов с сБП на грани статистической значимости была выявлена обратная корреляция между активностью GCase и уровнем α-синуклеина в CD45+-клетках (R = –0,3, p = 0,057; рисунок). В то же время в контрольной группе корреляции между исследуемыми параметрами не выявлено.
Корреляция между уровнем α-синуклеина в CD45+-клетках и активностью GСase в крови пациентов групп все_GBA-БП (A; n = 25), GBA-БП (В; n = 15), GBA-носителей (С; n = 15), сБП (D; n = 40) и группы контроля (E; n = 68). По осям абсцисс — уровень α-синуклеина, нг/мл, по осям ординат — активность GСase, мМ/л в час.
Correlation between the level of α-synuclein in CD45+ blood cells and GCase activity in the all-GBA-PD group (A; n = 25), the GBA-PD group (B; n = 15), GBA carriers (C; n = 15), sPD patients (D; n = 40) and controls (E; n = 68).Abscissa: level of α-synuclein, ng/mL; ordinata: GСase activity, mM/L/h.
Корреляция между уровнем α-синуклеина в CD45+-клетках и активностью GСase в крови пациентов групп все_GBA-БП (A; n = 25), GBA-БП (В; n = 15), GBA-носителей (С; n = 15), сБП (D; n = 40) и группы контроля (E; n = 68).
Обсуждение
Молекулярный механизм развития GBA-БП остаётся неизвестным, однако предполагается, что дисфункция GСase и олигомеризация α-синуклеина в клетках могут быть взаимосвязаны. В то же время мало изучен вопрос: снижение активности GСase и накопление лизосфинголипидов, а также изменение уровня α-синуклеина в периферической крови предшествует развитию заболевания у носителей мутаций в гене GBA1 или является следствием развития заболевания. В то же время изучение БП с известной этиологией, а также факторов, предшествую-щих и/или влияющих на развитие заболевания у носителей мутаций в гене GBA1, является крайне важным, поскольку позволит выделить биомаркеры заболевания и сформировать группы риска развития БП среди носителей GBA1-мутаций для включения данной когорты пациентов в клинические исследования с использованием таргетных препаратов, направленных на повышение активности GCase [3].
Нами впервые показано, что на фоне увеличения уровня α-синуклеина и снижения активности GСase в клетках крови пациентов как с GBA-БП, так и GBA-носителей обратная корреляция уровня α-синуклеина и активности GCase была характерна только для пациентов с GBA-БП, но не для GBA-носителей.
Следует отметить, что повышение уровня α-синуклеина, а также снижение активности GCase в периферической крови ранее было выявлено в исследованиях пациентов с БП с мутациями в гене GBA1 [8, 10, 15]. Так, М. Avenali и соавт. обнаружили повышение уровня α-синуклеина в лимфоцитах периферической крови в группе GBA-БП по сравнению с пациентами с сБП и контролем [15]. Ранее нами показано повышение уровня олигомерного α-синуклеина в плазме крови как у пациентов с болезнью Гоше, так и у пациентов с БП с мутациями гена GBA1 и полиморфными вариантами гена GBA1 по сравнению с контролем [9].
В настоящее время обсуждается наличие взаимосвязи между дисфункцией GCase и накоплением белка α-синуклеина [11]. В исследованиях in vitro доказано прямое влияние лизосфинголипидов на агрегацию α-синуклеина [12, 20]. Так, с использованием α-синуклеина, выделенного из дофаминергических нейронов, полученных из индуцированных плюрипотентных стволовых клеток, было показано, что субстрат GCase глюкозилцерамид индуцировал агрегацию α-синуклеина, способствуя превращению его олигомерных форм в токсичные агрегаты определённой конформации [21]. Интересно отметить, что для оценки таких конформеров α-синуклеина в биологических жидкостях организма человека при синуклеинопатиях в последние годы всё чаще применяется метод циклической амплификации белков с нарушенной конформацией [22]. В частности, применение этого подхода позволило М. Shahnawaz и соавт. обнаружить специфические конформеры α-синуклеина в образцах ликвора пациентов с синуклеинопатиями при отсутствии их в контроле [23]. В связи с этим можно предположить, что наблюдаемая нами обратная корреляция активности GCase и уровня α-синуклеина в CD45+-клетках крови пациентов с GBA-БП, а также отсутствие её в группе GBA-носителей могут быть обусловлены наличием в биологических образцах пациентов с БП патологических форм α-синуклеина, чувствительных к снижению активности GCase. Обнаруженная нами обратная корреляция между активностью GCase и уровнем α-синуклеина в крови на грани статистической значимости у пациентов с сБП, но не в контрольной группе, также может подтверждать данное предположение.
Данные по активности GCase в крови при сБП носят противоречивый характер [8, 24]. Нами было выявлено отсутствие различий в активности GCase у пациентов с сБП по сравнению с лицами контрольной группы.
В то же время обнаружено увеличение уровня α-синуклеина в CD45+-клетках пациентов с сБП по сравнению с контролем, что согласуется с полученными ранее результатами [16]. В последние десятилетия обсуждается, что уровень α-синуклеина периферических тканей может быть использован в качестве потенциального биомаркера БП [25], однако результаты многочисленных исследований противоречивы, что может объясняться различиями в применяемых методах, используемых антителах, а также других сопутствующих проведению эксперимента факторов. Несмотря на показанное в нашем исследовании повышение уровня α-синуклеина в CD45+-клетках пациентов с сБП, использование данного маркера для дифференциальной диагностики БП не представляется возможным, поскольку полученные значения перекрываются между исследуемыми группами, а в группе здоровых носителей мутаций в гене GBA1 выявлен даже более высокий уровень α-синуклеина в CD45+-клетках, чем у пациентов с сБП. В ранее опубликованных исследованиях по оценке уровня α-синуклеина в мононуклеарных клетках периферической крови не обнаружено различий в группе пациентов с сБП по сравнению с контрольной группой [15, 26, 27]. В связи с этим для оценки влияния уровня α-синуклеина в мононуклеарных клетках периферической крови на развитие и прогрессирование БП необходимо проведение дальнейших исследований.
Следует отметить, что наше исследование обладает рядом как преимуществ, так и недостатков. Основным преимуществом является включение в него бессимптомных носителей мутаций в гене GBA1, что позволило провести сравнительную характеристику исследуемых параметров в группе GBA-носителей с наличием БП и при его отсутствии. Использование гомогенной фракции CD45+-клеток периферической крови индивидуумов исследуемых групп для оценки уровня α-синуклеина позволило нивелировать эффект влияния на него гемолиза эритроцитов. Ранее было показано, что при получении мононуклеарных клеток периферической крови с помощью центрифугирования в градиенте плотности фиколла в них может обнаруживаться примесь эритроцитов, содержащих более 99% общего α-синуклеина из всех клеток крови [28]. Кроме того, в наше исследование были включены пациенты с сБП, не принимающие пре-параты L-ДОФА, что позволило исключить потенциальное влияние данных лекарственных средств на экспрессию гена α-синуклеина [29]. Следует отметить, что в большинстве проведённых ранее исследований по оценке уровня α-синуклеина в мононуклеарных клетках крови при БП влияние α-синуклеина эритроцитов, а также приё-ма пациентами с БП L-ДОФА-содержащих препаратов не учитывалось.
Основным ограничением нашей работы является небольшой размер групп GBA-БП и GBA-носителей. Несмотря на то что средний возраст в группах GBA-БП и GBA-носителей не различается, мы не можем исключить возможность того, что у кого-то из GBA-носителей проявятся клинические симптомы БП в течение жизни.
Заключение
Полученные данные о наличии обратной корреляции уровня α-синуклеина и активности GCase в крови носителей мутаций гена GBA1 с БП, но не бессимптомных GBA-носителей позволяют предположить, что изменение уровня α-синуклеина и активности GCase в крови носителей мутаций в гене GBA1 может наблюдаться при появлении клинических проявлений БП.
Об авторах
Антон Константинович Емельянов
Петербургский институт ядерной физики имени Б.П. Константинова НИЦ «Курчатовский институт»; Первый Санкт-Петербургский государственный медицинский университет имени академика И.П. Павлова
Email: e_anton_gen@mail.ru
ORCID iD: 0000-0002-3249-7889
канд. биол. наук, с. н. с. лаб. молекулярной генетики человека НИЦ «Курчатовский институт» — ПИЯФ; с. н. с. лаб. медицинской генетики ПСПбГМУ им. акад. И.П. Павлова
Россия, Гатчина; Санкт-ПетербургТатьяна Сергеевна Усенко
Петербургский институт ядерной физики имени Б.П. Константинова НИЦ «Курчатовский институт»; Первый Санкт-Петербургский государственный медицинский университет имени академика И.П. Павлова
Email: u.tatiana86@mail.ru
ORCID iD: 0000-0002-5132-2283
канд. биол. наук, с. н. с. лаб. молекулярной генетики человека НИЦ «Курчатовский институт» — ПИЯФ; с. н. с. лаб. нанотехнологий ПСПбГМУ им. акад. И.П. Павлова
Россия, Гатчина; Санкт-ПетербургАлена Эдуардовна Копытова
Петербургский институт ядерной физики имени Б.П. Константинова НИЦ «Курчатовский институт»; Первый Санкт-Петербургский государственный медицинский университет имени академика И.П. Павлова; Сургутский государственный университет
Email: kopytovaalena@mail.ru
ORCID iD: 0000-0002-6557-0253
канд. биол. наук, м. н. с. лаб. молекулярной генетики человека НИЦ «Курчатовский институт» — ПИЯФ; м. н. с. лаб. молекулярной биологии ПСПбГМУ им. акад. И.П. Павлова; м. н. с. Медицинского института Сургутского государственного университета
Россия, Гатчина; Санкт-Петербург; СургутИрина Валентиновна Милюхина
Первый Санкт-Петербургский государственный медицинский университет имени академика И.П. Павлова; Институт мозга человека имени Н.П. Бехтеревой РАН
Email: milyukhinaiv@yandex.ru
ORCID iD: 0000-0002-6433-542X
канд. мед. наук, руководитель Центра нейродегенеративных заболеваний Института мозга человека им. Н.П. Бехтеревой РАН; с. н. с. лаб. медицинской генетики ПСПбГМУ им. акад. И.П. Павлова
Россия, Санкт-Петербург; Санкт-ПетербургАлла Аркадьевна Тимофеева
Первый Санкт-Петербургский государственный медицинский университет имени академика И.П. Павлова
Email: timmma@mail.ru
ORCID iD: 0000-0003-1661-7753
канд. мед. наук, доцент, руководитель Центра экстрапирамидных заболеваний кафедры неврологии
Россия, Санкт-ПетербургАнастасия Игоревна Безрукова
Петербургский институт ядерной физики имени Б.П. Константинова НИЦ «Курчатовский институт»; Первый Санкт-Петербургский государственный медицинский университет имени академика И.П. Павлова
Email: bz.nastya96@gmail.com
ORCID iD: 0000-0003-3939-0758
лаборант-исследователь лаб. молекулярной генетики человека НИЦ «Курчатовский институт» — ПИЯФ; м.н.с. лаб. медицинской генетики ПСПбГМУ им. акад. И.П. Павлова
Россия, Гатчина; Санкт-ПетербургДарья Геннадьевна Кулабухова
Петербургский институт ядерной физики имени Б.П. Константинова НИЦ «Курчатовский институт»; Первый Санкт-Петербургский государственный медицинский университет имени академика И.П. Павлова
Email: kulabuhovadarya@gmail.com
ORCID iD: 0000-0002-9700-0095
анд. биол. наук, стажер-исследователь лаб. молекулярной генетики человека НИЦ «Курчатовский институт» — ПИЯФ; м. н. с. медицинской генетики ПСПбГМУ им. акад. И.П. Павлова
Россия, Гатчина; Санкт-ПетербургГалина Викторовна Байдакова
Медико-генетический научный центр имени академика Н.П. Бочкова
Email: gb2003@yandex.ru
ORCID iD: 0000-0001-8806-5287
канд. биол. наук, в. н. с. лаб. наследственных болезней обмена веществ
Россия, МоскваМихаил Андреевич Николаев
Петербургский институт ядерной физики имени Б.П. Константинова НИЦ «Курчатовский институт»; Первый Санкт-Петербургский государственный медицинский университет имени академика И.П. Павлова
Email: almaflex@mail.ru
ORCID iD: 0000-0002-1952-4678
м. н. с. лаб. молекулярной генетики человека НИЦ «Курчатовский институт» — ПИЯФ; м. н. с. лаб. медицинской генетики ПСПбГМУ им. акад. И.П. Павлова
Россия, Гатчина; Санкт-ПетербургАнна Олеговна Лавринова
Петербургский институт ядерной физики имени Б.П. Константинова НИЦ «Курчатовский институт»
Email: lavrinova.anna@gmail.com
ORCID iD: 0009-0007-2824-5762
м. н. с. лаб. молекулярной генетики человека
Россия, ГатчинаАнастасия Владимировна Кудреватых
Институт мозга человека имени Н.П. Бехтеревой РАН
Email: kudrevatykh91@mail.ru
ORCID iD: 0000-0003-1706-1718
канд. мед. наук, врач-невролог Центра нейродегенеративных заболеваний
Россия, Санкт-ПетербургАлександр Сергеевич Журавлев
Петербургский институт ядерной физики имени Б.П. Константинова НИЦ «Курчатовский институт»; Первый Санкт-Петербургский государственный медицинский университет имени академика И.П. Павлова; Сургутский государственный университет
Email: rigold988@mail.ru
ORCID iD: 0000-0001-8495-5581
лаборант-исследователь лаб. молекулярной генетики человека НИЦ «Курчатовский институт» — ПИЯФ; м.н.с. лаб. медицинской генетики ПСПбГМУ им. акад. И.П. Павлова; лаборант-исследователь Медицинского института Сургутского государственного университета
Россия, Гатчина; Санкт-Петербург;Екатерина Юрьевна Захарова
Медико-генетический научный центр имени академика Н.П. Бочкова
Email: doctor.zakharova@gmail.com
ORCID iD: 0000-0001-7938-7196
д-р мед. наук, зав. лаб. наследственных болезней обмена веществ
Россия, МоскваСофья Николаевна Пчелина
Петербургский институт ядерной физики имени Б.П. Константинова НИЦ «Курчатовский институт»; Первый Санкт-Петербургский государственный медицинский университет имени академика И.П. Павлова; Институт экспериментальной медицины
Автор, ответственный за переписку.
Email: sopchelina@hotmail.com
ORCID iD: 0000-0001-7431-6014
д-р биол. наук, зав. лаб. молекулярной генетики человека НИЦ «Курчатовский институт» — ПИЯФ; зав. отделом молекулярно-генетических и нанобиологических технологий ПСПбГМУ им. акад. И.П. Павлова; в. н. с. отдела биохимии Института экспериментальной медицины
Россия, Гатчина; Санкт-Петербург; Санкт-ПетербургСписок литературы
- Balestrino R., Schapira A.H.V. Parkinson disease. Eur. J. Neurol. 2020;27(1):27–42. doi: 10.1111/ene.14108
- Lill C.M. Genetics of Parkinson’s disease. Mol. Cell. Probes. 2016;30(6):386–396. doi: 10.1016/J.MCP.2016.11.001
- Do J., McKinney C., Sharma P., Sidransky E. Glucocerebrosidase and its relevance to Parkinson disease. Mol. Neurodegener. 2019;14(1):36. doi: 10.1186/S13024-019-0336-2
- Sidransky E., Nalls M.A., Aasly J.O. et al. Multi-center analysis of glucocerebrosidase mutations in Parkinson disease. N. Engl. J. Med. 2009;361(17):1651–1661. doi: 10.1056/NEJMOA0901281
- Emelyanov A.K., Usenko T.S,. Tesson C. et al. Mutation analysis of Parkinson’s disease genes in a Russian data set. Neurobiol. Aging. 2018;71:267.e7–267.e10. doi: 10.1016/J.NEUROBIOLAGING.2018.06.027
- Horowitz M., Pasmanik-Chor M., Ron I., Kolodny E.H. The enigma of the E326K mutation in acid β-glucocerebrosidase. Mol. Genet. Metab. 2011;104(1-2):35–38. doi: 10.1016/J.YMGME.2011.07.002
- Montfort M., Chabás A., Vilageliu L., Grinberg D. Functional analysis of 13 GBA mutant alleles identified in Gaucher disease patients: pathogenic changes and “modifier” polymorphisms. Hum. Mutat. 2004;23(6):567–575. doi: 10.1002/HUMU.20043
- Alcalay R.N., Levy O.A., Waters C.C. et al. Glucocerebrosidase activity in Parkinson’s disease with and without GBA mutations. Brain. 2015;138(Pt 9):2648–2658. doi: 10.1093/BRAIN/AWV179
- Pchelina S., Emelyanov A., Baydakova G. et al. Oligomeric α-synuclein and glucocerebrosidase activity levels in GBA-associated Parkinson’s disease. Neurosci. Lett. 2017;636:70–76. doi: 10.1016/j.neulet.2016.10.039
- Kopytova A.E., Usenko T.S., Baydakova G.V. et al. Could blood hexosylsphingosine be a marker for Parkinson’s disease linked with GBA1 mutations? Mov. Disord. 2022;37(8):1779–1781. doi: 10.1002/MDS.29132
- Mazzulli J.R., Xu Y.H, Sun Y. et al. Gaucher disease glucocerebrosidase and α-synuclein form a bidirectional pathogenic loop in synucleinopathies. Cell. 2011;146(1):37–52. doi: 10.1016/j.cell.2011.06.001
- Fredriksen K., Aivazidis S., Sharma K. et al. Pathological α-syn aggregation is mediated by glycosphingolipid chain length and the physiological state of α-syn in vivo. Proc. Natl. Acad. Sci. USA. 2021;118(50)e2108489118. doi: 10.1073/PNAS.2108489118/-/DCSUPPLEMENTAL
- Yap T.L., Velayati A., Sidransky E,. Lee J.C. Membrane-bound α-synuclein interacts with glucocerebrosidase and inhibits enzyme activity. Mol. Genet. Metab. 2013;108(1):56–64. doi: 10.1016/j.ymgme.2012.11.010
- Mus L., Siani F., Giuliano C. et al. Development and biochemical characterization of a mouse model of Parkinson’s disease bearing defective glucocerebrosidase activity. Neurobiol. Dis. 2019;124:289–296. doi: 10.1016/j.nbd.2018.12.001
- Avenali M., Cerri S., Ongari G. et al. Profiling the biochemical signature of GBA‐related Parkinson’s disease in peripheral blood mononuclear cells. Mov. Disord. 2021;36(5):1267–1272. doi: 10.1002/mds.28496
- Emelyanov A., Usenko T., Nikolaev M. et al. Increased α-synuclein level in CD45+ blood cells in asymptomatic carriers of GBA mutations. Mov. Disord. 2021;36(8):1997–1998. doi: 10.1002/MDS.28688
- Fernandes H.J.R., Hartfield E.M., Christian H.C. et al. ER stress and autophagic perturbations lead to elevated extracellular α-synuclein in GBA-N370S Parkinson’s iPSC-derived dopamine neurons. Stem. Cell Reports. 2016;6(3):342–356. doi: 10.1016/j.stemcr.2016.01.013
- Hughes A.J., Daniel S.E., Kilford L., Lees A.J. Accuracy of clinical diagnosis of idiopathic Parkinson’s disease: a clinico-pathological study of 100 cases. J. Neurol. Neurosurg. Psychiatry. 1992;55(3):181–184. doi: 10.1136/JNNP.55.3.181
- Postuma R.B., Berg D., Stern M. et al. MDS clinical diagnostic criteria for Parkinson’s disease. Mov. Disord. 2015;30(12):1591–1601. doi: 10.1002/MDS.26424
- Abdelkarim H., Marshall M.S., Scesa G. et al. α-Synuclein interacts directly but reversibly with psychosine : implications for α-synucleinopathies. Sci. Rep. 2018;8(1)12462. doi: 10.1038/s41598-018-30808-9
- Zunke F., Moise A.C., Belur N.R. et al. Reversible conformational conversion of α-synuclein into toxic assemblies by glucosylceramide. Neuron. 2018;97(1):92–107.e10. doi: 10.1016/j.neuron.2017.12.012
- Bellomo G., De Luca C.M.G., Paoletti F.P. et al. α-Synuclein seed amplification assays for diagnosing synucleinopathies: the way forward. Neurology. 2022;99(5):195–205. doi: 10.1212/WNL.0000000000200878
- Shahnawaz M., Mukherjee A., Pritzkow S. et al. Discriminating α-synuclein strains in Parkinson’s disease and multiple system atrophy. Nature. 2020;578(7794):273–277. doi: 10.1038/s41586-020-1984-7
- Alcalay R.N., Wolf P., Chiang M.S.R. et al. Longitudinal measurements of glucocerebrosidase activity in Parkinson’s patients. Ann. Clin. Transl Neurol. 2020;7(10):1816–1830. doi: 10.1002/ACN3.51164
- Abd Elhadi S., Grigoletto J., Poli M.et al. α-Synuclein in blood cells differentiates Parkinson’s disease from healthy controls. Ann. Clin. Transl. Neurol. 2019;6(12):2426–2436. doi: 10.1002/acn3.50944
- Fuchs J., Tichopad A., Golub Y. et al. Genetic variability in the SNCA gene influences alpha-synuclein levels in the blood and brain. FASEB J. 2008;22(5):1327–1334. doi: 10.1096/fj.07-9348com
- Miki Y., Shimoyama S., Kon T. et al. Alteration of autophagy-related proteins in peripheral blood mononuclear cells of patients with Parkinson’s disease. Neurobiol. Aging. 2018;63:33–43. doi: 10.1016/j.neurobiolaging.2017.11.006
- Barbour R., Kling K., Anderson J.P. et al. Red blood cells are the major source of alpha-synuclein in blood. Neurodegener. Dis. 2008;5(2):55–59. doi: 10.1159/000112832
- Schmitt I., Kaut O., Khazneh H. et al. (2015) L-DOPA increases α-synuclein DNA methylation in Parkinson’s disease patients in vivo and in vitro. Mov. Disord. 30(13):1794–1801. doi: 10.1002/mds.26319






