Glymphatic System Assessment Using DTI-ALPS in Age-Dependent Neurodegenerative Diseases
- Authors: Liaskovik A.A.1, Konovalov R.N.1, Shpilyukova Y.A.1, Nevzorova K.V.1, Moskalenko A.N.1, Fedotova E.Y.1, Krotenkova M.V.1
-
Affiliations:
- Research Center of Neurology
- Issue: Vol 18, No 3 (2024)
- Pages: 42-49
- Section: Original articles
- Submitted: 26.04.2024
- Accepted: 21.06.2024
- Published: 03.10.2024
- URL: https://annaly-nevrologii.com/pathID/article/view/1127
- DOI: https://doi.org/10.17816/ACEN.1127
- ID: 1127
Cite item
Abstract
Introduction. Dysfunction of the glymphatic system glymphatic system of the brain is considered a pathogenetic factor in some age-dependent neurodegenerative diseases, including Alzheimer's disease (AD), dementia with Lewy bodies (DLB), Parkinson's disease (PD), and normal pressure hydrocephalus (NPH). The innovative method for calculating DTI-ALPS (Diffusion Tensor Image Analysis ALong the Perivascular Space) allows non-invasive assessment of the glymphatic system status using magnetic resonance imaging (MRI).
The aim of the study is to compare DTI-ALPS in patients with AD, DLB, PD, and NPH and to evaluate its potential use as a biomarker of the glymphatic system status in these diseases.
Materials and methods. The study included 116 subjects: 32 patients with AD, 15 patients with DLB, 31 patients with PD, 11 patients with NPH, and 27 healthy volunteers. Cognitive testing was performed for patients in the main groups using the Montreal Cognitive Assessment (MoCA) score. All subjects underwent diffusion tensor imaging (DTI) of the brain. DTI-ALPS was then calculated.
Results. DTI-ALPS index significantly differed across groups (p < 0.001). Patients with AD, DLB, and NPH had a significantly lower DTI-ALPS index on both sides compared to the PD group and healthy volunteers (p < 0.01). Analysis of the entire sample showed a direct correlation between MoCA score and DTI-ALPS index (p < 0.05).
Conclusion. This is the first comparison of DTI-ALPS across such a broad range of age-dependent neurodegenerative diseases. Since our DTI-ALPS results were comparable to previously reported data, we believe that this parameter can be used as an indirect marker of the glymphatic system status.
Full Text
Introduction
Considering constant increase of the life expectancy, it is extremely important to understand the mechanisms of age-dependent neurodegenerative diseases [1, 2]. This paper considers one of these mechanisms and the method of its noninvasive integral assessment.
In 2012, a group of scientists at the University of Rochester experimentally described a new system for removing toxic substances from the brain substance. This system was called the glymphatic system or perivascular/paravascular transport system. It is represented by perforating arteries dividing into smaller arterioles, which pulsate and ensure the movement of cerebrospinal fluid-like intercellular fluid between the surrounding glial cells, astrocytes. At the same time, metabolites are flushed out and absorbed into small venules that form large cerebral veins [3]. The glymphatic system is named after the body's lymphatic system because of the similar action.
The mechanisms of the glymphatic system are still being studied, but its several important functions have already been identified. These are elimination of metabolites and to-xic agents, regulation of intracranial pressure, maintenance of intracellular and extracellular fluid balance, general homeostasis, and development of the immune response [4]. Dysfunction of the glymphatic system is thought to play important role in the pathogenesis of Alzheimer's disease (AD), dementia with Lewy bodies (DLB), Parkinson's disease (PD), and normal pressure hydrocephalus (NPH) [5].
The glymphatic function may be impaired due to endothelial changes, depolarization of aquaporin-4 channels, hyperlipidemia, sleep disturbances, and deposition of beta-amyloid and other pathologic proteins that accumulate in age-dependent neurodegenerative diseases. Abnormal protein deposition may be both a cause and a consequence of the glymphatic dysfunction [6–10]. Some authors suggest that additional factors inhibiting the glymphatic system activity may include a decrease in vascular pulsatility and a decrease in cardiac activity [11, 12].
In 2017, a group of Japanese scientists led by T. Taoka proposed an innovative technique to assess the status of the glymphatic system – diffusion tensor image analysis along the perivascular space (DTI-ALPS) [13]. DTI is used to record the movement of water molecules in the direction of perivascular spaces. At the level of the lateral ventricular bodies, the medullary veins are perpendicular to the lateral wall of the lateral ventricles. The perivascular spaces are in the same plane from right to left. In this region, the projection fibers run craniocaudally and the superior longitudinal fascicle of association fibers runs anteroposteriorly. Therefore, the perivascular spaces in this region are perpendicular to the projection fibers and the superior longitudinal fascicle (Fig. 1). This structure allows an almost independent analysis of the diffusion coefficient in the direction of the perivascular spa-ces, where the main tracts do not run parallel to the direction of the perivascular spaces. T. Taoka et al. found a significant decrease in DTI-ALPS index in the region of interest in patients with cognitive impairment, and a positive correlation between this parameter and the severity of cognitive impairment [13]. DTI-ALPS is the ratio between the averaged sum of the tensor values in the Dxx, Dyy, and Dzz directions in the region of the projection (proj) and association (assoc) fibers, which is calculated by the formula:
Fig. 1. Calculation of DTI-ALPS.
The region of interest (ROI) highlighted in yellow corresponds to the association fibers represented by the superior longitudinal fascicle. The ROI highlighted in red corresponds to the projection fibers represented by the pyramidal tract (adapted from T. Taoka et al. [13]).
The aim of this study was to compare AD, DLB, PD, and NPH using DTI-ALPS as an indirect parameter of glymphatic system function and to evaluate its potential use as a biomarker for these diseases.
Materials and methods
Subjects and clinical assessment
The study conducted at the Research Center of Neurology, included 116 patients from Neurology Department No. 5 with a molecular genetics laboratory (Table 1). Thirty-two patients were diagnosed with AD at the stage of mild cognitive impairment (n = 21) and dementia (n = 11) according to the criteria of the National Institute on Aging and Alzheimer's Association [14]. The median age was 71.5 [63.5; 75.5] years, median Montreal Cognitive Assessment Scale (MoCA) was 17.0 [10.3; 20.8] [15]. Fifteen patients were diagnosed with DLB at the stage of mild cognitive impairment (n = 11) and dementia (n = 4) according to criteria by I.G. McKeith et al. [16]. The median age was 71.0 [66.0; 78.0] years. The median MoCA score was 19.0 [17.3; 23.3]. As a comparison group, 31 patients diagnosed with PD at stage 2 (n = 5) and stage 3 (n = 26) according to the Hoehn and Yahr scale [17] were examined. They had no cognitive impairment and were diagnosed according to the clinical criteria of the International Parkinson and Movement Disorder Society [18]. The median age was 65.0 [59.0; 70.0] years. The median MoCA score was 27.0 [26.0; 28.0]. The study also included 11 patients diagnosed with NPH according to the criteria by N. Relkin et al. [19]. The median age was 68.0 [64.0; 75.0] years. The median MoCA score was 19.5 [17.8; 21.8]. The control group included 27 subjects without cognitive impairment (Mini-Mental State Examination score ≥28 [20]; the median age was 63.0 [57.0; 67.0] years).
Table 1. Demographic characteristics of the study groups
Parameter | Normal (n = 27) | AD (n = 32) | DLB (n = 15) | PD (n = 31) | NPH (n = 11) | |
Gender | male, n (%) | 5 (18,5%) | 5 (15,6%) | 9 (60,0%) | 5 (16,1%) | 8 (72,7%) |
female, n (%) | 22 (81,5%) | 27 (84,4%) | 6 (40,0%) | 26 (83,9%) | 3 (27,3%) | |
Age | Me [Q1; Q3] | 63,0 | 71,5 | 71,0 | 65,0 | 68,0 |
MRI scan
MRI was performed using a Siemens MAGNETOM Prisma 3T (Siemens Healthineers). In addition to conventional T1, T2, T2 FLAIR, and SWI sequences, the scan also included a 2D EPI (echo planar images) diffusion tensor sequence (TR = 5,600 ms, TE = 82 ms, b-values of 0, 1000 and 2500 s/mm2, 64 diffusion directions in both AP (anterior to posterior) and PA (posterior to anterior) directions. The slice thickness was 2 mm.
Image post-processing
DSI Studio (Chen release) was used to post-process the DTI images1. Magnetic susceptibility artifacts were eliminated with b = 0 data using TOPUP correction. EDDY correction2 was performed using FSL EDDY. The Population-average atlas was used to adjust the consistency of the DTI data [21].
We further identified regions of interest corresponding to projection and association fibers at the level of the posterior parts of the lateral ventricular bodies and extracted tensor values in the Dxx, Dyy, and Dzz directions. The values obtained were tabulated to calculate and statistically process the left and right DTI-ALPS results.
Statistical analysis
Statistical analysis was performed using SPSS Statistics v. 26.0 (IBM). In all cases, two-sided tests were used.
The null hypothesis was rejected at a significance level of p<0.05. Due to the sample size (n = 116), both parametric and non-parametric methods of comparative statistics were used.
To assess relationship between quantitative variables, a Pearson correlation coefficient was used. A Chaddock scale was used to determine the strength of significant associations. For all post hoc pairwise comparisons, the Bonferroni method was used to adjust for multiple comparisons. In addition, the association between diagnosis group and DTI-ALPS штвуч was assessed using a general linear model adjusted for gender and age.
Results
Significant differences in DTI-ALPS index were reported across groups on both right and left sides (Fig. 2). After adjustment for gender and age, these differences remained significant (p < 0.001).
Fig. 2. Distribution of DTI-ALPS index between groups on the left (A) and right (B) sides. *р adj < 0.01.
The post hoc analysis showed that patients with AD, DLB, and NPH had significantly lower DTI-ALPS index on both sides compared to healthy volunteers (Table 2). The differences between AD patients and normal subjects were not statistically significant.
Table 2. Adjusted significance level for post hoc pairwise comparisons between study groups
Pair of groups to compare | DTI-ALPS left | DTI-ALPS right |
НС vs AD | р adj < 0,001 | р adj = 0,001 |
НС vs DLB | р adj < 0,001 | р adj < 0,001 |
НС vs PD | р adj = 1,000 | р adj = 0,102 |
НС vs NPH | р adj < 0,001 | р adj < 0,001 |
AD vs DLB | р adj = 1,000 | р adj = 0,064 |
AD vs PD | р adj = 0,003 | р adj = 1,000 |
AD vs NPH | р adj = 0,099 | р adj < 0,001 |
DLB vs PD | р adj = 0,001 | р adj = 0,001 |
DLB vs NPH | р adj = 1,000 | р adj = 0,758 |
PD vs NPH | р adj < 0,001 | р adj < 0,001 |
Patients with DLB and NPH had significantly lower DTI-ALPS index on both sides compared to patients with PD. Patients with AD also had significantly lower left DTI-ALPS index compared to patients with PD. On the right side, the differences were not statistically significant. In addition, patients with AD had a significantly higher right DTI-ALPS index compared to patients with NPH. On the left side, the differences were not statistically significant. Patients with DLB and NPH were not statistically significantly different.
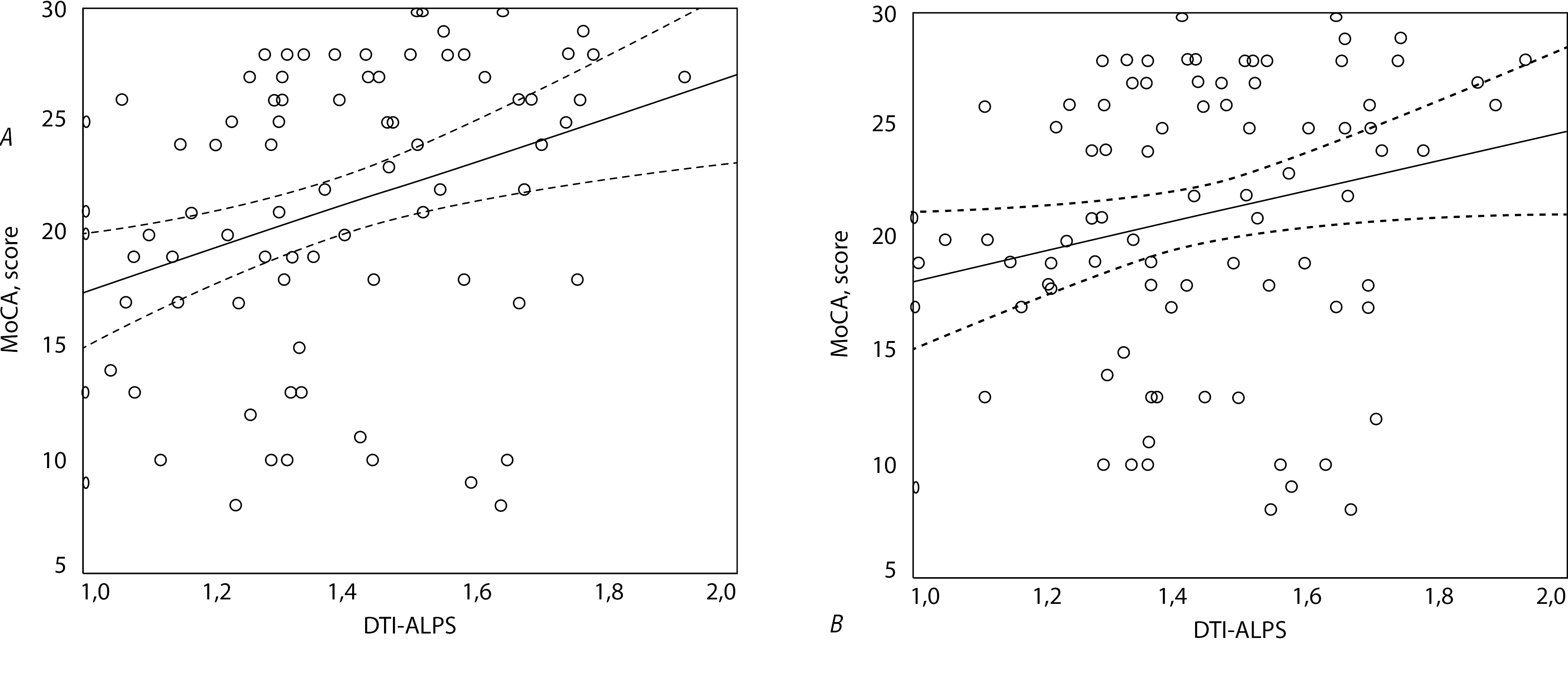
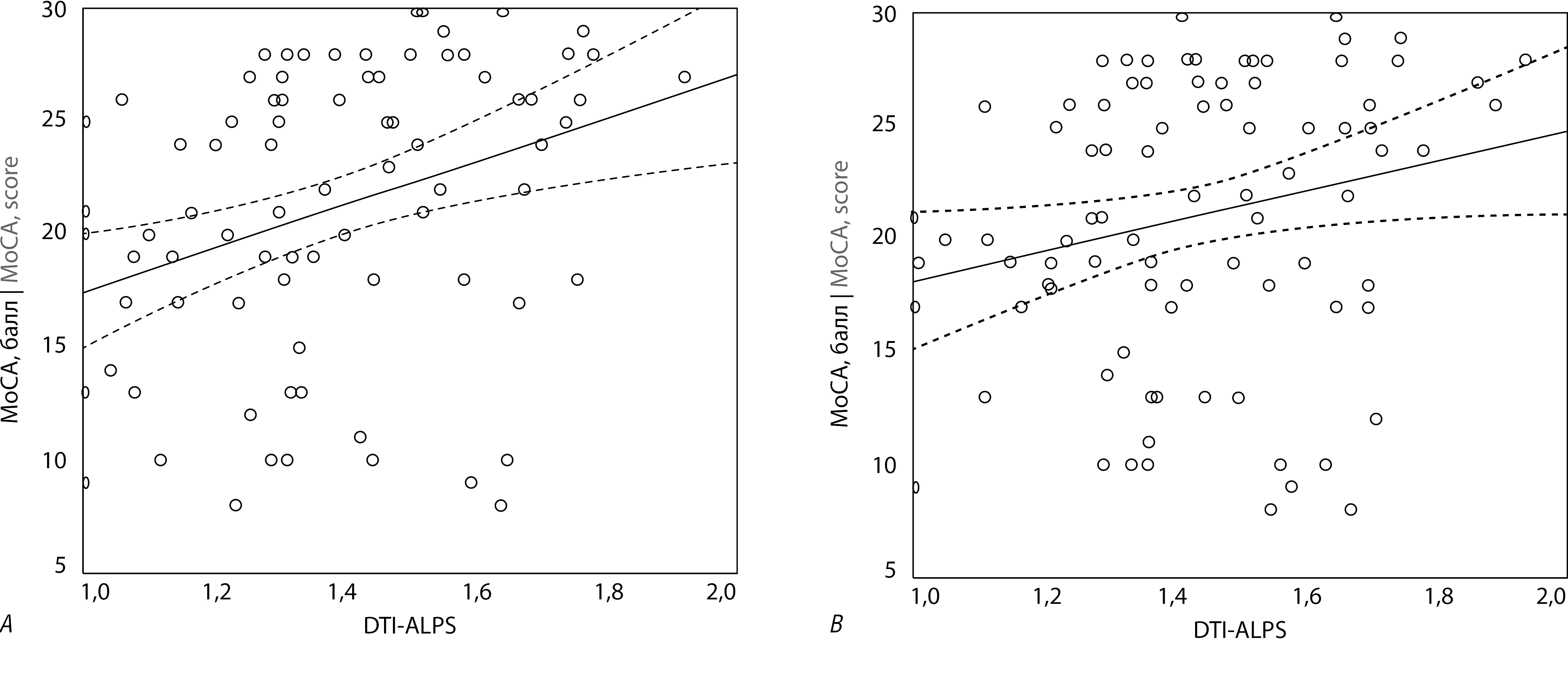
Analysis of the entire sample showed a significant direct moderate correlation between MoCA scores and DTI-ALPS index on the left side (r = 0.332; p = 0.002) and a significant direct weak correlation on the right side (r = 0.225; p = 0.035). These data are represented in Figure 3.
Fig. 3. Correlation of the left (A) and right (B) DTI-ALPS index with MoCA score.
Discussion
Since DTI-ALPS is a relatively new parameter for the glymphatic system assessment, literature on this topic is limited. Our study is the first in Russia to evaluate DTI-ALPS in patients with neurodegenrative diseases.
In our study, the lowest DTI-ALPS index was reported in patients with cognitive impairment (including AD) and the highest DTI-ALPS index was reported in controls and PD patients without cognitive impairment. When evaluating the decline in the glymphatic system activity as a factor of cognitive deficit, the data of T. Lian et al. [22] can be used. This study evaluated DTI-ALPS index in patients with AD (18 with moderate cognitive impairment, 38 with dementia), vascular dementia (n = 21), and healthy subjects (n = 28). As in our study, the highest DTI-ALPS index was reported in healthy subjects. The results in AD patients at the moderate cognitive impairment and vascular dementia stages were comparable, but significantly lower than those in the control group.
The correlation found between DTI-ALPS index and the severity of cognitive impairment (MoCA) is consistent with the data from the pivotal study by T. Taoka et al. [13] and the study by T. Lian et al. [22] described above. In a similar study, B.W. Williams et al. also reported a significant correlation between DTI-ALPS index and cognitive tests such as the Boston Naming Test [23]; Digit Span Test [24]; Route Construction Test, Part A [25, 26].
We observed the more significant differences in DTI-ALPS index in the left cerebral hemisphere, which were comparable to the data reported by T. Shen et al. who studied DTI-ALPS in a group of patients with PD at different stages according to the Hoehn and Yahr scale (n = 76) and in a control group (n = 48) [27]. The authors suggested that the left hemisphere, which is dominant in a larger percentage of the population, is involved in the pathological process earlier than the contralateral right hemisphere. Therefore, in early stages of PD (up to Hoehn and Yahr stage 2), changes in DTI-ALPS index were found only on the left side, and at later stages (Hoehn and Yahr stage 3 and higher), changes were bilateral. This mechanism may possibly be applicable not only to PD, but also to other neurodegenerative processes. X. Zhang et al. [23] and Y.J. Bae et al. [28, 29] showed lower DTI-ALPS index in the left cerebral hemisphere. However, T. Taoka et al. [13] only measured the left hemisphere, and T. Lian et al. [22] did not report for which hemisphere DTI-ALPS index was presented.
We found no statistically significant differences in DTI-ALPS index between the PD and control groups. Possible reasons may be that the study included earlier stage PD patients (Hoehn and Yahr stages 2–3) without cognitive deficit or that the sample size was small compared to the study by T. Taoka et al. [13]. However, in the study by Y.J. Bae et al., which also included 54 PD patients and 54 healthy volunteers, the authors reported significant differences in DTI-ALPS index between these groups (p < 0.001), as well as correlations between motor symptoms and cognitive test scores and DTI-ALPS index [28]. However, the authors did not report whether DTI-ALPS was evaluated only in one cerebral hemisphere or whether an average index was calculated. They also did not mention whether patients with PD had cognitive impairment.
Unfortunately, we did not find any papers that evaluated DTI-ALPS in patients with DLB, so we could not perform a comparative analysis of our data.
Across all study groups, the lowest DTI-ALPS index were reported in the NPH group, which is consistent with data from other studies. In another study, Y.J. Bae et al. evaluated DTI-ALPS in 16 patients diagnosed with NPH and compared the results with those of 16 control subjects [29]. DTI-ALPS index was extremely low in the NPH group, and the difference from the control group was significant (p < 0.0001). C. Georgiopoulos et al. also evaluated changes in DTI-ALPS index in 13 NPH patients and 27 healthy volunteers [30]. Considering the significance of DTI-ALPS differences, the authors propose this parameter as a marker of severity for both radiologic and clinical manifestations of this disease.
It should be noted that DTI-ALPS is an indirect marker of glymphatic system function. For a more accurate and direct assessment, contrast-enhanced invasive techniques are used. Limitations of interpreting results for this technique are discussed in the literature [31]. They also include the small number of patients in the DLB and NPH groups compared to the AD and PD groups, probably due to the lower prevalence of these diseases. Furthermore, DTI-ALPS cannot be used as a marker for the differential diagnosis of these disease due to the lack of significant differences between the AD, DLB, and NPH groups and between the PD and control groups.
Conclusion
We evaluated changes in DTI-ALPS index in different age-dependent neurodegenerative diseases, identified correlation with clinical manifestations (MoCA results), and evaluated differences in DTI-ALPS index across study groups. Unlike other papers, our study compared changes in a relatively wide range of degenerative diseases of the nervous system. For the first time, data for AD, DLB, PD, and NPH were compared. Since our results of DTI-ALPS index assessment were comparable to previously published results, we believe that this parameter can be used as an indirect marker of the glymphatic system status. However, its use in the differential diagnosis of individual diseases remains debatable.
1 DSI-studio.labsolver.org [Internet]. DSI Studio "Chen" release. URL: http://dsi-studio.labsolver.org (accessed on 15 March 2024).
2 Github.com [Internet]. The Tiny FSL package. URL http://github.com/frankyeh/TinyFSL (accessed on 8 March 2024).
About the authors
Alina A. Liaskovik
Research Center of Neurology
Author for correspondence.
Email: lyaskovik@neurology.ru
ORCID iD: 0000-0001-8062-0784
postgraduate student, Radiology department, Institute of Clinical and Preventive Neurology
Russian Federation, MoscowRodion N. Konovalov
Research Center of Neurology
Email: krn_74@mail.ru
ORCID iD: 0000-0001-5539-245X
Cand. Sci. (Med.), senior researcher, Radiology department, Institute of Clinical and Preventive Neurology
Russian Federation, MoscowYulia A. Shpilyukova
Research Center of Neurology
Email: jshpilyukova@gmail.com
ORCID iD: 0000-0001-7214-583X
Cand. Sci. (Med.), researcher, 5th Neurological department with DNA laboratory, Institute of Clinical and Preventive Neurology
Russian Federation, MoscowKseniya V. Nevzorova
Research Center of Neurology
Email: nevzorova.k.v@neurology.ru
ORCID iD: 0009-0000-9148-0203
postgraduate student, 5th Neurological department with DNA laboratory, Institute of Clinical and Preventive Neurology
Russian Federation, MoscowAnna N. Moskalenko
Research Center of Neurology
Email: moskalenko@neurology.ru
ORCID iD: 0000-0003-3843-6435
postgraduate student, 5th Neurological department with DNA laboratory, Institute of Clinical and Preventive Neurology
Russian Federation, MoscowEkaterina Yu. Fedotova
Research Center of Neurology
Email: ekfedotova@gmail.com
ORCID iD: 0000-0001-8070-7644
Dr. Sci. (Med.), leading researcher, Head, 5th Neurological department with DNA laboratory, Institute of Clinical and Preventive Neurology
Russian Federation, MoscowMarina V. Krotenkova
Research Center of Neurology
Email: krotenkova_mrt@mail.ru
ORCID iD: 0000-0003-3820-4554
Dr. Sci. (Med), Head, Radiology department, Institute of Clinical and Preventive Neurology
Russian Federation, MoscowReferences
- Erkkinen M.G., Kim M.O., Geschwind M.D. Clinical neurology and epidemiology of the majorneurodegenerative diseases. Cold Spring Harb. Perspect. Biol. 2018;10(4):a033118. doi: 10.1101/cshperspect.a033118
- WHO. Global Status Report on the Public Health Response to Dementia. Geneva; 2021. 137 p.
- Iliff J., Wang M., Liao Y. et al. A paravascular pathway facilitates CSF flow through the brain parenchyma and the clearance of interstitial solutes, including amyloid β. Sci. Transl. Med. 2012;4(147):147ra111. doi: 10.1126/scitranslmed.3003748
- Jessen N.A., Munk A.S., Lundgaard I. et al. The glymphatic system: a beginner's guide. Neurochem. Res. 2015;40(12):2583–2599. doi: 10.1007/s11064-015-1581-6
- Buccellato F.R., D'Anca M., Serpente M. et al. The role of glymphatic system in Alzheimer's and Parkinson's disease pathogenesis. Biomedicines. 2022;10(9):2261. doi: 10.3390/biomedicines10092261
- Peng S., Liu J., Liang C. et al. Aquaporin-4 in glymphatic system, and its implication for central nervous system disorders. Neurobiol. Dis. 2023;179:106035. doi: 10.1016/j.nbd.2023.106035
- Reeves B.C., Karimy J.K., Kundishora A.J. et al. Glymphatic system impairment in Alzheimer's disease and idiopathic normal pressure hydrocephalus. Trends. Mol. Med. 2020;26(3):285–295. doi: 10.1016/j.molmed.2019.11.008
- Harrison I.F., Ismail O., Machhada A. et al. Impaired glymphatic function and clearance of tau in an Alzheimer's disease model. Brain. 2020;143(8):2576 –2593. doi: 10.1093/brain/awaa179
- Zhang Y., Zhang C., He X.Z. et al. Interaction between the glymphatic system and α-synuclein in Parkinson's disease. Mol. Neurobiol. 2023;60(4):2209–2222. doi: 10.1007/s12035-023-03212-2
- Buongiorno M., Marzal C., Fernandez M. et al. Altered sleep and neurovascular dysfunction in alpha-synucleinopathies: the perfect storm for glymphatic failure. Front. Aging Neurosci. 2023;15:1251755. doi: 10.3389/fnagi.2023.1251755
- Rasmussen M.K., Mestre H., Nedergaard M. The glymphatic pathway in neurological disorders. Lancet Neurol. 2018;17(11):1016–1024. doi: 10.1016/S1474-4422(18)30318-1
- Takizawa K., Matsumae M., Hayashi N. et al. The choroid plexus of the lateral ventricle as the origin of CSF pulsation is questionable. Neurol. Med. Chir. (Tokyo). 2018;58(1):23–31. doi: 10.2176/nmc.oa.2017-0117
- Taoka T., Masutani Y., Kawai H. et al. Evaluation of glymphatic system activity with the diffusion MR technique: diffusion tensor image analysis along the perivascular space (DTI-ALPS) in Alzheimer’s disease cases. Jpn. J. Radiol. 2017;35(4):172–178. doi: 10.1007/s11604-017-0617-z
- McKhann G.M., Knopman D.S., Chertkow H. et al. The diagnosis of dementia due to Alzheimer's disease: recommendations from the National Institute on Aging — Alzheimer's Association workgroups on diagnostic guidelines for Alzheimer's disease. Alzheimers Dement. 2011;7(3):263–269. doi: 10.1016/j.jalz.2011.03.005
- Nasreddine Z.S., Phillips N.A., Bédirian V. et al. The Montreal Cognitive Assessment, MoCA: a brief screening tool for mild cognitive impairment. J. Am. Geriatr. Soc. 2005;53(4):695–699. doi: 10.1111/j.1532-5415.2005.53221.x
- McKeith I.G., Boeve B.F., Dickson D.W. et al. Diagnosis and management of dementia with Lewy bodies: Fourth consensus report of the DLB Consortium. Neurology. 2017;89(1):88–100. doi: 10.1212/WNL.0000000000004058
- Hoehn M.M., Yahr M.D. Parkinsonism: onset, progression and mortality. Neurology. 1967;17(5):427–442. doi: 10.1212/wnl.17.5.427
- Postuma R.B., Berg D., Stern M. et al. MDS clinical diagnostic criteria for Parkinson's disease. Mov. Disord. 2015;30(12):1591–1601. doi: 10.1002/mds.26424
- Relkin N., Marmarou A., Klinge P. et al. Diagnosing idiopathic normal-pressure hydrocephalus. Neurosurgery. 2005;57(3 Suppl):S4–S16. doi: 10.1227/01.neu.0000168185.29659.c5
- Folstein M.F., Folstein S.E., McHugh P.R. "Mini-mental state". A practical method for grading the cognitive state of patients for the clinician. J. Psychiatr. Res. 1975;12(3):189–198. doi: 10.1016/0022-3956(75)90026-6
- Yeh F.C., Panesar S., Fernandes D. et al. Population-averaged atlas of the macroscale human structural connectome and its network topology. Neuroimage. 2018;178:57–68. doi: 10.1016/j.neuroimage.2018.05.027
- Liang T., Chang F., Huang Z. et al. Evaluation of glymphatic system activity by diffusion tensor image analysis along the perivascular space (DTI-ALPS) in dementia patients. Br. J. Radiol. 2023;96(1146):20220315. doi: 10.1259/bjr.20220315
- Williams B.W., Mack W., Henderson V.W. Boston naming test in Alzheimer's disease. Neuropsychologia. 1989;27(8):1073–1079. doi: 10.1016/0028-3932(89)90186-3
- Wechsler D. Wechsler adult intelligence scale. San Antonio;1997.
- Tombaugh T.N. Trail Making Test A and B: normative data stratified by age and education. Arch. Clin. Neuropsychol. 2004;19(2):203–214. doi: 10.1016/S0887-6177(03)00039-8
- Zhang X., Wang Y., Jiao B. et al. Glymphatic system impairment in Alzheimer's disease: associations with perivascular space volume and cognitive function. Eur. Radiol. 2024;24(2):1314–1323. doi: 10.1007/s00330-023-10122-3
- Shen T., Yue Y., Ba F. et al. Diffusion along perivascular spaces as marker for impairment of glymphatic system in Parkinson's disease. NPJ Parkinsons Dis. 2022;8(1):174. doi: 10.1038/s41531-022-00437-1
- Bae Y.J., Kim J.M., Choi B.S. et al. Glymphatic function assessment in Parkinson's disease using diffusion tensor image analysis along the perivascular space. Parkinsonism Relat. Disord. 2023;114:105767. doi: 10.1016/j.parkreldis.2023.105767
- Bae Y.J., Choi B.S., Kim J.M. et al. Altered glymphatic system in idiopathic normal pressure hydrocephalus. Parkinsonism Relat. Disord. 2021;82:56–60. doi: 10.1016/j.parkreldis.2020.11.009
- Georgiopoulos C., Tisell A., Holmgren R.T. et al. Noninvasive assessment of glymphatic dysfunction in idiopathic normal pressure hydrocephalus with diffusion tensor imaging. J. Neurosurg. 2023;140(3):612–620. doi: 10.3171/2023.6.JNS23260
- Ringstad G. Glymphatic imaging: a critical look at the DTI-ALPS index. Neuroradiology. 2024;66(2):157–160. doi: 10.1007/s00234-023-03270-2








