Accelerometry in Diagnosis of Functional Tremor
- Authors: Evdokimov K.M.1, Ivanova E.O.1, Brutyan A.G.1, Fedotova E.Y.1, Illarioshkin S.N.1
-
Affiliations:
- Research Center of Neurology
- Issue: Vol 18, No 4 (2024)
- Pages: 5-11
- Section: Original articles
- Submitted: 31.05.2024
- Accepted: 02.07.2024
- Published: 06.12.2024
- URL: https://annaly-nevrologii.com/pathID/article/view/1144
- DOI: https://doi.org/10.17816/ACEN.1144
- ID: 1144
Cite item
Abstract
Introduction. Functional tremor (FT) is the most common phenotype of functional movement disorders. Electrophysiological assessment is included in the diagnostic criteria for tremor; however, there is currently no consensus criteria for the differential diagnosis of FT.
The objective of this study was to evaluate the utility of tremor frequency characteristics derived from accelerometry for the differential diagnosis between FT and organic tremor (OT).
Materials and methods. Nineteen patients with FT, 20 patients with essential tremor, and 20 patients with Parkinson's disease were enrolled in the study and underwent electrophysiological examination with a two-channel accelerometer and subsequent data processing.
Results. The study results revealed the differences in the frequency peak widths in patients with FT and OT, predominantly while performing a cognitive load task. This criterion showed a high sensitivity (100%) and a high specificity (97.5%) for the diagnosis of FT in the study population.
Conclusion. Tremor characteristics recorded during accelerometry combined with cognitive load task can serve as an additional testing aid for differential diagnosis between functional and organic tremor.
Full Text
Introduction
Tremor is an involuntary, rhythmic, rapid back-and-forth (oscillatory) movement of a body part [1, 2]. This hyperkinesis is the most common movement disorder in clinical practice and can be observed in many diseases with various underlying pathophysiology [3].
In 1998, the International Parkinson and Movement Disorder Society (MDS) presented the first consensus criteria for classifying tremor disorders based on various types of tremor syndromes [4]. In 2018, this classification was revised, and, along with a description of tremor syndromes, two evaluation axes were added: Axis 1 — clinical characteristics and Axis 2 — etiology [2]. Axis 1 includes historical features (age at onset, family history, and temporal evolution), tremor characteristics, tremor-associated signs, and laboratory tests including electrophysiological study. For electrophysiological assessment of tremor, the authors of the classification suggested surface electromyography (SEMG): to document the presence of tremor, measure tremor frequency, evaluate pattern and rhythmicity of EMG-activity (e.g., to differentiate tremor from myoclonus). They also suggest a Fourier analysis of accelerometric and EMG recordings with and without weight loading to identify mechanical-reflex and central neurogenic tremors, and frequency and coherence analysis of EMG-activity from multiple limbs to diagnose primary orthostatic tremor [2]. In the literature, numerous reports are on other methods suitable for tremor recording and assessment: gyroscope, tremor video-recording with subsequent data processing, and various kinematic and tactile techniques [1].
Functional (former psychogenic) tremor is characterized by distractibility, changes in frequency during contralateral rhythmic movements (entrainment), antagonistic muscle co-activation, an increase in the oscillation amplitude during weight loading, and tremor regression during contralateral ballistic movements [2, 5]. A meta-analysis of the individual data obtained from 4,905 patients with functional movement disorders (FMD) revealed that FT was the most prevalent hyperkinesis, affecting 21.6% of the patients, which was also diagnosed within the mixed FMD phenotypes in 23% of the patients. Isolated functional tremor developed most frequently in females (71.2%) aged 40–42 years [6].
To date, there are no consensus criteria for FMD diagnosis. In clinical practice, the Fahn–Williams criteria are widely used [7]. Further, A. Gupta et al. proposed to extend these criteria with electrophysiological tests for FMD assessment, predominantly to differentiate tremor from myoclonus [8]. To identify functional tremor, several parameters are to be assessed: EMG recording frequency, acceleroяяяmeter oscillations (including the analysis of the frequency peak width), duration and pattern of EMG-recordings, variability, distractibility, tremor regression during ballistic movements, entrainment by rhythmic movements, an increase in the amplitude and frequency during weight loading, antagonistic muscle co-activation, and bilateral coherence analysis of EMG-recordings from muscles involved in tremor [5, 9–11]. In 2016, the international workgroup presented Tremor Test Battery (TTB) as the basis of validated laboratory-supported criteria for the diagnosis of FT [12]. The ETB consists of 10 parameters, each can be scored with 1 point (Table 1). A cut-off score of 3 points is indicative of FT. However, it should be mentioned that the ETB protocol requires special training, and ETB data recording and processing are time-consuming, which is rather challenging in clinical practice. Therefore, the search for more convenient diagnostic tools should be continued. To date, the members of the MDS Functional Movement Disorders Study Group and Clinical Neurophysiology Study Group have not agreed upon a consensus protocol for tremor assessment.
Table 1. Tremor Test Battery (translated and adapted from [12])
Parameter | Assessment technique |
Tremor amplitude with weight loading (1 point) | An increase in total power of the spectra derived from a 30-second epoch of accelerometer oscillations recorded from more affected hand before and after 500-g loading |
Response to ballistic movements (1 point) | Tremor pause or > 50% reduction in tremor frequency or amplitude in at least 7 of 10 contralateral ballistic movement tests |
EMG coherence in contralateral limbs (1 point) | The point was assigned in case of significant EMG-coherence between frequency spectra from right and left wrist extensors by comparing the frequency where coherence was detected with the frequency of tremor |
Tonic co-activation (1 point) | The tonic co-activation phase was defined as tonic discharge of antagonist muscles (wrist flexors and wrist extensors) approximately 300 ms before the onset of tremor bursts |
Tapping task performance by contralateral tapping (max. 3 points) | Tapping performance at 1, 3, and 5 Hz was considered correct if it fell within the range of 0.5–1.5 Hz, 2.5–3.5 Hz, and 4.5–5.5 Hz, respectively |
Changes in tremor characteristics for more affected hand during contralateral tapping (max. 3 points) | Tremor in the ipsilateral hand during contralateral tapping was assessed for entrainment, tremor suppression, or a frequency shift, which was defined as pathological if the frequency peak shifted with 19.0, 26.9, and 25.7% during tapping at 1, 3, and 5 Hz, respectively |
The objective of this study was to evaluate the utility of tremor frequency characteristics derived from accelerometry for the differential diagnosis between FT and organic tremor (OT).
Materials and methods
The study included 19 patients with FT (14 females aged 38 [26; 46] years) and 40 patients with OT assigned to 2 groups: 20 patients with essential tremor (ET; 13 females aged 71 [55; 75] years) and 20 patients with parkinsonian tremor (PD; 9 females aged 57.5 [49.5; 62.5] years). The type of tremor was identified according to MDS consensus criteria for classification of tremors [2]. The FT diagnosis was based on clinically positive diagnostic criteria: distractibility, entrainment by contralateral rhythmical movements, antagonistic muscle co-activation, and transition of tremor to another body part with external restraint of the affected hand. Exclusion criteria were a combination of various tremor types (for example, FT in PD patients, a combination of ET and parkinsonian tremor, etc.). Electrophysiological assessment of tremor was performed with a two-channel accelerometer (the accelerometer was attached to the back of the middle phalanx of the index or middle finger). The tremor was recorded with a Viking EDX Electrodiagnostic System (Natus Neurology Incorporated, USA) and assessed at rest, with arms extended (postural tremor, PT), with or without cognitive load (CL): a serial subtraction task (patients were asked to consecutively subtract each time 13 out of 100). The tremor was recorded for 30 seconds in each condition.
The recorded signals were exported and processed using an open-source tool for tremor analysis — Tremoroton (Fig. 1) [13]. Tremor frequency characteristics derived from accelerometry (the dominant frequency [the upper-frequency peak point], a peak width, upper and lower limits, a mean amplitude of oscillations) were assessed using the fast Fourier transformation test. The shift of minimum and maximum frequencies was defined as the modulus of the frequency difference with or without CL. A frequency peak/band splitting is defined as a tremor peak width > 0.5 Hz.
Fig. 1. Tremor frequency peak width was measured with Tremoroton software.
Upper and lower limits of the frequency peak of accelerometer oscillations were determined manually at 40–50% from the height of the frequency peak. The peak width is defined as a difference between upper and lower limits. The red thin arrow indicates the point where the dominant frequency of the peak is measured. The red bold arrow and blue bar indicate the points where the peak width was measured.
A — the frequency spectrum in a patient with FT; B — in a patient with PD; АСС — accelerometer oscillations; EMG ext — EMG-recordings from wrist extensors; EMG flex — EMG-recordings from wrist flexors.
The data were processed using Microsoft Excel and IBM SPSS Statistics v. 27 software. The Kruskal–Wallis nonparametric test was used to assess inter-group differences followed by ad hoc pairwise inter-group comparison with the Bonferroni correction. The Wilcoxon test was used to assess intra-group differences. The level of significance was set at 0.05. The ROC analysis was used to evaluate the sensitivity and specificity of the peak width differences.
Results
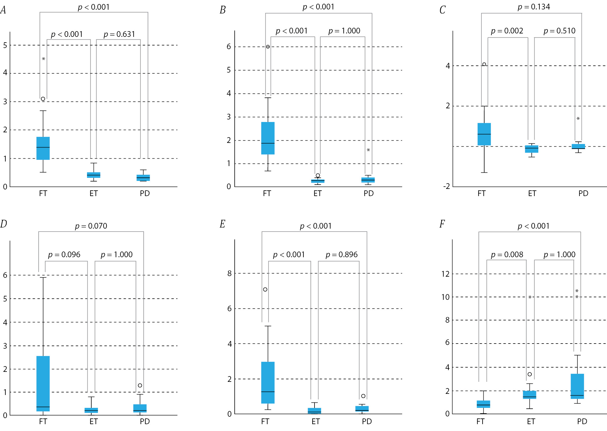
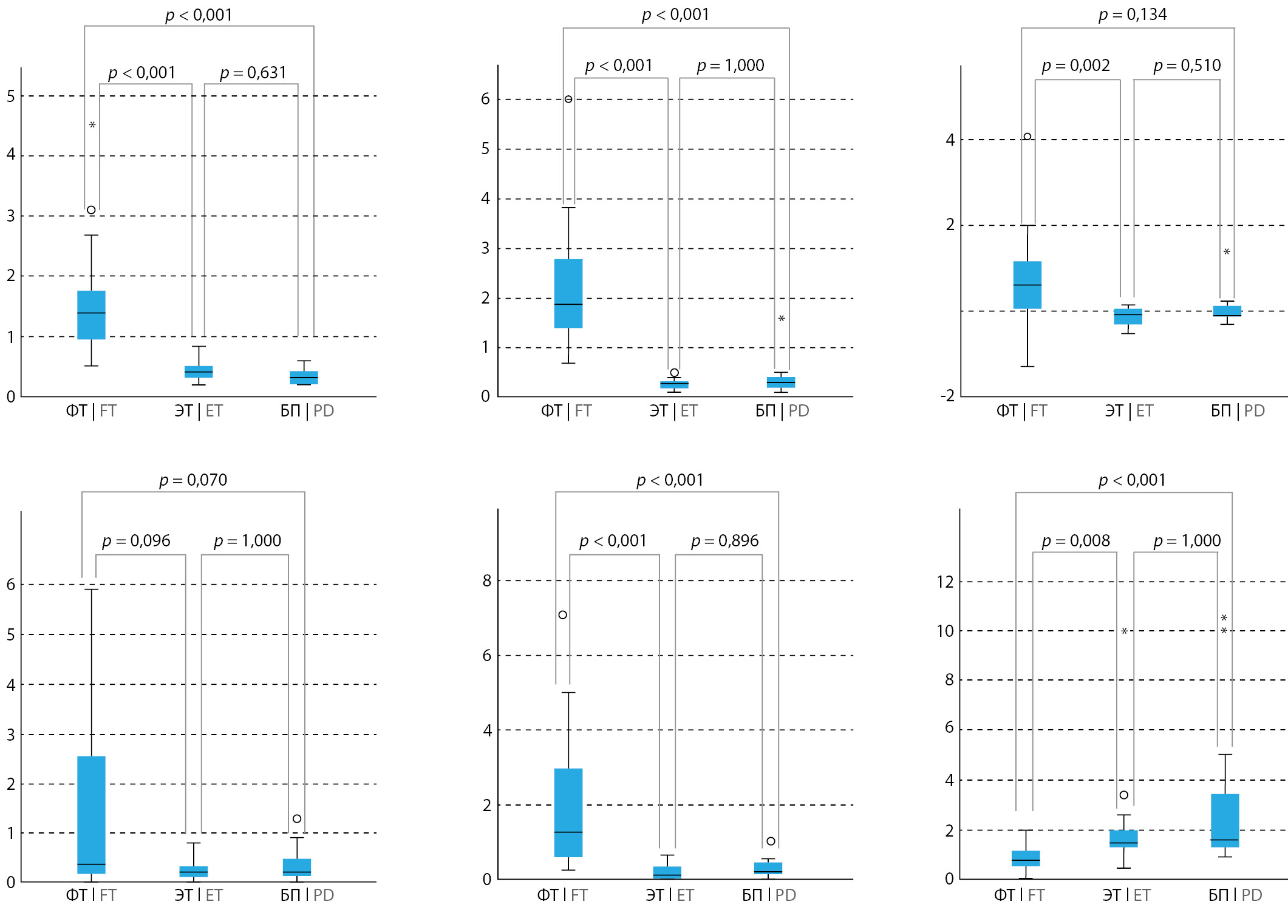
The dominant frequency of accelerometer oscillations with and without CL was similar in patients with FT and OT without any statistically significant differences (Table 2). Statistically significant differences in the width of the dominant frequency peak were observed in patients with FT compared with ET and PD patients, both without CL (Figure 2, A) and with CL (Figure 2, B). At the same time, a gradual increase in the peak width in FT patients with CL was noted (рW = 0.002). The PT peak width in ET patients without CL was slightly greater than that in PD patients; however, with CL added, the frequency peak width decreased in ET patients (рW = 0.002) and remained stable in PD patients (рW = 0.538). Inter-group comparison of the differences between the PT peak width with or without CL yielded similar results (Figure 2, С).
Table 2. Accelerometric characteristics of tremor frequency
Parameter | FT | ET | PD | p |
Dominant PT frequency without CL | 0,800 | |||
Dominant PT frequency with CL | 0,968 | |||
PT peak width without CL | < 0,001 | |||
PT peak width with CL | < 0,001 | |||
Difference in PT peak width without CL and with CL | –0,1 [-0,3; 0] | –0,1 [–0,15; 0,10] | 0,003 | |
Shift of minimum frequency, with CL | 0,040 | |||
Shift of maximum frequency, with CL | < 0,001 |
Fig. 2. Results of a posteriori pairwise comparison between FT, ET, and PD patients.
А — PT frequency peak width without CL; CL — cognitive load; PT — postural tremor; B — PT frequency peak width with CL; C — difference in PT frequency peak width without CL; D — shift of minimum frequency peak (lower limit); E — shift of maximum frequency peak (upper limit); F — ratio of the mean amplitude of PT oscillations with CL to the mean amplitude of PT oscillations without CL.
The analysis of changes in upper and lower limits of the frequency peak (minimum and maximum frequency, respectively) revealed differences in the shift in minimum frequency peak in FT patients compared with that in ET and PD patients (р = 0.04), but these differences did not reach the level of statistical significance after the pairwise comparison (Figure 2, D). A change in the frequency peak width in FT patients was mainly associated with an upward shift of the upper limit of the frequency peak, which was further confirmed by the pairwise comparison with ET and PD patients (Figure 2, E).
An additional parameter that differed in the FT patients compared with the ET and PD patients was the ratio of the mean amplitude of accelerometer oscillations with CL to the same parameter measured without CL (Figure 2, E). In the OT group, the oscillation amplitude increased: 1.43 [1.23; 2]-fold in ET patients (pW = 0.003), 1.63 [1.25; 3.38]-fold in PD patients (pW = 0.008), while in FT patients the oscillation amplitude slightly decreased with the amplitude ratio of 0.7 [0.47; 1.4] (pW = 0.031).
Among the studied accelerometric parameters, the frequency peak width with CL was of most interest. The utility of this method for the differential diagnosis of hyperkinetic movements, such as tremor, was evaluated with the ROC analysis. With the PT frequency peak width without CL of ≥ 0.55 Hz, the sensitivity and specificity of this FT identification method were 94.7 and 85%, respectively. The frequency peak width with CL of ≥ 0.6 Hz indicates FT with the sensitivity of 100% and specificity of 97.5%. In the studied sample, the diagnostic accuracy of the method without CL and with CL was 98.3% and 99%, respectively.
Discussion
Electrophysiological assessment of tremor is becoming more widely used. The results of our study confirm that the dominant tremor frequency alone cannot be used for differential diagnosis between various types of tremors (except for orthostatic tremor with the frequency of 13–18 Hz, which significantly exceeds the frequencies of 4–8 Hz typical for other types of OT) [4]. Therefore, the studies aimed to find additional FT markers and new methods of analyzing tremor, such as ETB, were conducted. Data recording and processing in many of the techniques are quite time-consuming. For example, a complete ETB protocol followed by data analysis takes about 30–40 min, while accelerometric assessment of the frequency peak width and visual evaluation of the spectrogram of two recordings (PT with and without CL) takes about 5 min. Today, many types of wearable accelerometers are available for long-term ambulatory tremor analysis. It is worth mentioning that a consensus protocol for tremorography is not yet developed. However, this issue is being actively discussed by the members of the MDS Clinical Neurophysiology Study Group. Another obstacle to the implementation of the proposed techniques is the software used in laboratories, which is provided by a particular manufacturer of electrodiagnostic equipment or developed in-house for its own purposes. Tremoroton, an open-source tool for analyzing the txt files exported from the device, may facilitate the implementation of tremorography in clinics for widespread use by clinical neurophysiologists.
The accelerometer data obtained in our study showed that the frequency peak width in FT patients went above 0.6 Hz, while in OT patients it remained below 0.5 Hz. The frequency peak width of ≥ 0.6 Hz with CL may be used as a primary electrophysiological criterion for tremor assessment, which was confirmed by the ROC-analysis results. The frequency peak width has been used as a criterion for differential diagnosis between FT and OT in the Mayo Clinic, for example. A routine EMG screening for tremor is performed based on this criterion and according to its results, patients are selected for surgical treatment of tremor by deep brain stimulation or destruction by MRI-guided focused ultrasound. Z. Chou et al. reported that additional electrophysiological screening allowed them to identify FT in 12 (14%) of 87 patients, clinically pre-selected for surgery, thus avoiding inappropriate surgery and reserving the treatment opportunity for other patients [14]. Our study has shown that instead of labor-intensive surface EMG, easier-to-implement accelerometry can be used without any loss of accuracy.
The use of CL increases sensitivity and specificity of this method. The CL task is most commonly used for the clinical assessment of tremor and was not used in the electrophysiological test battery for the diagnosis of FT. However, the data obtained in our study confirm its significance in electrophysiological testing. The results of our study demonstrated the changes in the frequency peak width of accelerometric oscillations associated with CL introduction, which allows for rapid identification of tremor type. Additionally, electrophysiological data confirmed the distractibility phenomenon in FT patients during performing CL task. It appears as an extended frequency peak and a decreased mean oscillation amplitude, while in OT patients, on the contrary, the frequency peak narrows, and tremor amplitude increases when a patient's attention is diverted from tremor control to a cognitive task.
Nowadays, there are various wearable sensors proposed to assess tremor [15], predominantly to monitor the clinical features of Parkinson's disease [16]. G. Kramer et al. studied the objective daily duration of tremor recorded with a wrist-worn accelerometer compared with subjective symptom burden in FT and OT patients [17]. These easy-to-use and relatively inexpensive accelerometers may be a good basis for a fast, simple, and cost-efficient method of differential diagnosis between FT and OT, which would allow wider use of electrophysiological diagnostic tools in the outpatient clinical practice.
The proposed technique tested in an appropriate validation study with a sufficient number of patients could be used for the differential diagnosis between FT and OT. The versatility of export files and rapid data processing are additional factors that facilitate its widespread use.
A timely and accurate diagnosis of FT is of great importance, as the management of this condition differs significantly from that of OT and is based more on rehabilitation rather than on a pharmacological treatment.
About the authors
Konstantin M. Evdokimov
Research Center of Neurology
Author for correspondence.
Email: evdokimov@neurology.ru
ORCID iD: 0000-0001-6217-4151
postgraduate student, neurologist, 5th Neurology department, Institute of Clinical and Preventive Neurology
Russian Federation, MoscowEkaterina O. Ivanova
Research Center of Neurology
Email: evdokimov@neurology.ru
ORCID iD: 0000-0003-3337-1759
Cand. Sci. (Med.), researcher, neurologist, 5th Neurology department, Institute of Clinical and Preventive Neurology
Russian Federation, MoscowAmayak G. Brutyan
Research Center of Neurology
Email: evdokimov@neurology.ru
ORCID iD: 0000-0002-6381-2925
Cand. Sci. (Med.), Head, Laboratory of clinical neurophysiology, Institute of Clinical and Preventive Neurology
Russian Federation, MoscowEkaterina Y. Fedotova
Research Center of Neurology
Email: evdokimov@neurology.ru
ORCID iD: 0000-0001-8070-7644
D. Sci. (Med.), leading researcher, Head, 5th Neurology department, Institute of Clinical and Preventive Neurology
Russian Federation, MoscowSergey N. Illarioshkin
Research Center of Neurology
Email: evdokimov@neurology.ru
ORCID iD: 0000-0002-2704-6282
D. Sci. (Med.), prof., RAS Full Member, Director, Brain Institute, Deputy director
Russian Federation, MoscowReferences
- Иллариошкин С.Н., Иванова-Смоленская И.А. Дрожательные гиперкинезы. Руководство для врачей. М.; 2011. Illarioshkin S.N., Ivanova-Smolenskaya I.A. Trembling hyperkinesis. Guide for doctors. Moscow; 2011. (In Russ.)
- Bhatia K.P., Bain P., Bajaj N. et al. Consensus Statement on the classification of tremors. From the task force on tremor of the International Parkinson and Movement Disorder Society. Mov. Disord. 2018;33(1):75–87. doi: 10.1002/mds.27121
- Иванова Е.О., Иванова-Смоленская И.А., Иллариошкин С.Н. Тремор: патогенез, особенности клинической картины и лечение. Неврологический журнал. 2013;18(5):4–12. Ivanova E.O., Ivanova-Smolenskaya I.A., Illarioshkin S.N. Tremor: pathogenesis, clinical features and treatment. Neurological Journal. 2013;18(5):4–12.
- Deuschl G., Bain P., Brin M. Consensus statement of the Movement Disorder Society on tremor. Mov. Disord. 1998;13(Suppl. 3):2–23. doi: 10.1002/mds.870131303
- Иванова Е.О., Федотова Е.Ю. Функциональные двигательные расстройства: позитивные критерии диагностики. Неврология, нейропсихиатрия, психосоматика. 2019;11(1):125–130. Ivanova E.O., Fedotova E.Yu. Functional movement disorders: positive diagnostic criteria. Neurology, neuropsychiatry, psychosomatics. 2019;11(1):125–130. doi: 10.14412/2074-2711-2019-1-125-130
- Lidstone S.C., Costa-Parke M., Robinson E.J. et al. Functional movement disorder gender, age and phenotype study: a systematic review and individual patient meta-analysis of 4905 cases. J. Neurol. Neurosurg. Psychiatry. 2022;93(6):609–616. doi: 10.1136/jnnp-2021-328462
- Fahn S., Williams D. Psychogenic dystonia. Adv. Neurol. 1988;50:431–455.
- Gupta A., Lang A.E. Psychogenic movement disorders. Curr. Opin. Neurol. 2009;22(4):430–436. doi: 10.1097/WCO.0b013e32832dc169
- Gresty M., Buckwell D. Spectral analysis of tremor: understanding the results. J. Neurol. Neurosurg. Psychiatry. 1990;53(11):976–981. doi: 10.1136/jnnp.53.11.976
- Kamble N.L., Pal P.K. Electrophysiological evaluation of psychogenic movement disorders. Parkinsonism Relat. Disord. 2016;22 (Suppl. 1):S153–158. doi: 10.1016/j.parkreldis.2015.09.016
- Schwingenschuh P., Deuschl G. Functional tremor. Handb. Clin. Neurol. 2016;139:229–233. doi: 10.1016/B978-0-12-801772-2.00019-9
- Schwingenschuh P., Saifee T.A., Katschnig-Winter P. et al. Validation of “laboratory-supported” criteria for functional (psychogenic) tremor. Mov. Disord. 2016;31(4):555–562. doi: 10.1002/mds.26525
- Vial F., McGurrin P., Osterholt T. et al. Tremoroton, a new free online platform for tremor analysis. Clin. Neurophysiol. Pract. 2019;5:30–34. doi: 10.1016/j.cnp.2019.11.004
- Chou C.Z., Ahlskog J.E., Klassen B.T. et al. Utility of routine surface electrophysiology to screen for functional tremor prior to surgical treatment of essential tremor. Clin. Park. Relat. Disord. 2022;7:100149. doi: 10.1016/j.prdoa.2022.100149
- Moreau C., Rouaud T., Grabli D. et al. Overview on wearable sensors for the management of Parkinson’s disease. NPJ Parkinsons Dis. 2023;9(1):153. doi: 10.1038/s41531-023-00585-y
- Vescio B., Quattrone A., Nisticò R. et al. Wearable devices for assessment of tremor. Front. Neurol. 2021;12:680011. doi: 10.3389/fneur.2021.680011
- Kramer G., Dominguez-Vega Z.T., Laarhoven H.S. et al. Similar association between objective and subjective symptoms in functional and organic tre-mor. Parkinsonism Relat. Disord. 2019;64:2–7. doi: 10.1016/j.parkreldis.2019.05.026







