Evaluation of the outcome in ischemic stroke acute period
- Authors: Novikova L.B.1, Akopyan A.P.1, Latypova R.F.1
-
Affiliations:
- Bashkir State Medical University
- Issue: Vol 16, No 4 (2022)
- Pages: 5-11
- Section: Original articles
- Submitted: 15.02.2022
- Accepted: 01.06.2022
- Published: 23.12.2022
- URL: https://annaly-nevrologii.com/pathID/article/view/820
- DOI: https://doi.org/10.54101/ACEN.2022.4.1
- ID: 820
Cite item
Full Text
Abstract
Introduction. As a major cause of both temporary and permanent disability, ischemic stroke is the most common type of cerebrovascular accident (CVA).
Objective. To assess fatal outcome probability in the acute period of ischemic stroke.
Materials and methods. We performed post-hoc analysis of the fatal outcome probability in the patients with acute ischemic stroke at the Neurology Department of the Ufa Emergency Hospital, the Republic of Bashkortostan, Russian Federation. The analysis included data from the randomly selected medical records of 31 patients with fatal outcomes and 55 patients discharged with favorable outcomes.
Results. The patients with fatal outcomes were significantly (p < 0.001) older, with more severe strokes and a higher prevalence of disorders of consciousness, medical co-morbidities, and recurrent strokes as compared to the group of patients with favorable outcomes. Regression coefficients showed that brain herniation, kidney and liver disease, post-infarction cardiosclerosis, diabetes mellitus, and atrial fibrillation were associated with a higher probability of the fatal outcome. Increased severity of disorders of consciousness, NIHSS and mRS scores, specific blood tests values, age, and heart rate were associated with a more probable fatal outcome, while elevated hemoglobin, total protein, red blood cells, and lymphocytes, a higher GCS score, and a history of hypotensive drug therapy were associated with a less probable fatal outcome.
Multivariate analysis showed that the stroke fatal outcome was related with the age, a NIHSS score, and elevated creatinine and total bilirubin levels.
Conclusion. The detected predictors of the stroke fatal outcome can be used as reference points to choose management strategy for patients in the acute period of ischemic stroke.
Keywords
Full Text
Введение
Ишемический инсульт (ИИ) является ведущей причиной потери трудоспособности и инвалидизации [1–6]. Летальность от ИИ в России за 8 мес 2019 г. составила 15,5%, в 2020 г. — 16,7%, в 2021 г. — 17,1%. Перспективным решением проблемы ИИ является разработка скрининговых методик, прогнозирующих вероятность развития ЛИ с учётом факторов риска, тяжести ИИ, состояния соматических функций.
По данным литературы, на вероятность ЛИ у больных с ИИ влияет наличие соматической патологии, а именно ишемической болезни сердца, фибрилляции предсердий (ФП), сахарного диабета (СД), ИИ в анамнезе, а также возраст пациента, стресс и женский пол [7]. В другом исследовании независимыми факторами риска ЛИ были возраст больного, заболевания сердца, низкая сатурация кислорода (< 90%), нарушение сознания [8]. Низкий уровень выживаемости определялся у пациентов с кардиоэмболическим подтипом ИИ, пожилого возраста, мужского пола, при угнетении сознания, злоупотреблении алкоголем, наличии СД и транзиторной ишемической атаки в анамнезе [9]. По данным Hsin-Hsu Wu и соавт., пациенты с хронической почечной недостаточностью после ИИ имеют высокий риск ЛИ [10]. Исследование факторов, влияющих на ЛИ, имеет значение в лечебно-диагностической тактике ведения больных с ИИ и служит цели снижения летальности при этом социально значимом заболевании.
Цель исследования — анализ вероятности ЛИ в остром периоде ИИ.
Материал и методы
Проведён ретроспективный анализ вероятности ЛИ в остром периоде ИИ на материале неврологического отделения для больных с острыми нарушениями мозгового кровообращения ГБУЗ РБ «Больница скорой медицинской помощи» города Уфы. Протокол исследования одобрен локальным этическим комитетом ФГБОУ ВО «Башкирский государственный медицинский университет» (протокол № 4 от 15.06.2022). В отделении в 2021 г. находились 1312 пациентов с ИИ, из них ЛИ был у 144 (10,9%). Произвольно были выбраны 31 история болезни с ЛИ (1-я группа) и 55 историй болезни пациентов, выписанных из отделения с условно благоприятным исходом (2-я группа). Критерии включения — достоверный диагноз ИИ при отсутствии сопутствующей онкологической, психиатрической, острой хирургической патологии, беременности и травмы. Подтип ИИ определяли согласно классификации TOAST, уровень сознания — по шкале комы Глазго. Оценку степени тяжести ИИ проводили с использованием шкалы инсульта Национального института здоровья (National Institutes of Health Stroke Scale — NIHSS).
Статистическую значимость различий оценивали с помощью критерия Манна–Уитни, t-критерия Стьюдента и однофакторного дисперсионного анализа (ANOVA) с помощью программы «SPSS 26». Для описания непараметрических числовых характеристик использовали медиану и межквартильный размах, для параметрических величин определяли среднее и его стандартное отклонение.
Для выявления значимых потенциальных факторов, связанных с риском ЛИ, проведён однофакторный анализ логистической регрессии. Для каждого показателя рассчитывали отношения шансов. Определяли пороги отсечения оценок по тем предикторам, при которых чувствительность и специфичность были оптимальными, исключали взаимодействующие параметры по методу Вальда и вычисляли параметры вероятности ЛИ при многофакторном анализе методом бинарной логистической регрессии. Для определения чувствительности и специфичности метода, оценки качества бинарных классификаций строили ROC-кривые (ROC — receiver operating characteristic).
Вероятность ЛИ вычисляли по формуле:
P = 1 / (1 + e–z) × 100%,
где P — вероятность ЛИ (%); е — основание натурального логарифма — константа, равная 2,72; z — степень обратного логарифма.
Прогностическую способность выявленных предикторов оценивали по площади под ROC-кривой (AUC — area under ROC curve). Корреляционный анализ проводили с помощью коэффициентов Пирсона и Спирмена в зависимости от распределения переменных. Статистически значимыми считали результаты при р < 0,05.
Результаты
Данные, характеризующие пациентов (возраст, пол, сопутствующая соматическая патология, тяжесть ИИ, степень угнетения сознания при поступлении), представлены в табл. 1.
Таблица 1. Основные характеристики пациентов
Table 1. Main characteristics of patients
Показатель Indicator | 1-я группа 1st group | 2-я группа 2nd group | р |
n | 31 | 55 | |
Возраст, лет: | Age, years: | |||
45–59 | 1 (3,2%) | 13 (23,6%) | 0,014 |
60–74 | 8 (25,8%) | 28 (50,9%) | 0,023 |
75–90 | 20 (64,5%) | 14 (25,5%) | < 0,001 |
> 90 | 2 (6,5%) | 0 | 0,764 |
средний | аverage | 65 [59–74] | < 0,001 | |
Женщины | Female | 15 (48,4%) | 21 (38,2%) | 0,357 |
Мужчины | Male | 16 (51,6%) | 34 (61,8%) | 0,349 |
Легкий ИИ | Mild stroke | 5 (16,1%) | 27 (49,1%) | 0,002 |
Средний ИИ | Moderate stroke | 17 (54,8%) | 27 (49,1%) | 0,654 |
Тяжёлый и крайне тяжёлый ИИ Severe and extremely severe stroke | 9 (29%) | 1 (1,8%) | < 0,001 |
NIHSS (средний балл) | NIHSS (average score) | 14 [10–16] | 4 [3–8] | < 0,001 |
Ясное сознание | Сlear mind | 13 (41,9%) | 51 (92,7%) | < 0,001 |
Оглушение | Stunning | 13 (41,9%) | 4 (7,3%) | < 0,001 |
Сопор | Sopor | 4 (12,9%) | 0 | 0,152 |
Кома | Coma | 1 (3,2%) | 0 | 0,876 |
Шкала комы Глазго (средний балл) Glasgow Coma Scale (average score) | 13 [13–15] | 15 | < 0,001 |
Повторный ИИ | Reccurent stroke | 16 (51,6%) | 13 (23,6%) | 0,017 |
СД | Diabetes | 12 (38,7%) | 10 (18,2%) | 0,043 |
ФП | Atrial fibrillation | 17 (54,8%) | 17 (30,9%) | 0,039 |
Постинфарктный кардиосклероз Postinfarction cardiosclerosis | 16 (51,6%) | 12 (21,8%) | 0,008 |
Хронические заболевания почек Chronic kidney disease | 11 (35,5%) | 6 (10,9%) | 0,01 |
Гипертоническая болезнь | Hypertension | 31 (100%) | 55 (100%) | – |
Во 1-й группе было статистически значимо больше больных старческого возраста с различной соматической патологией. Из данных анамнеза известно, что пациенты 2-й группы в рамках первичной профилактики достоверно (р = 0,002) чаще регулярно принимали гипотензивные препараты, чем пациенты 1-й группы, — 26 (47,3%) и 4 (12,9%) соответственно. Несмотря на необходимость приёма антикоагулянтов (согласно баллу по шкале CHA2DS2-VASc), из 34 больных с ФП обеих групп их принимали только 13 (38,2%) пациентов.
Подтипы ИИ в обеих группах согласно классификации TOAST представлены на рис. 1. В структуре ИИ преобладал кардиоэмболический подтип. Статистически значимо (р = 0,01) между группами различалась лишь частота атеротромботического подтипа ИИ: 9 (34,6%) в 1-й группе и 3 (9,7%) — во 2-й. Лакунарный подтип ИИ был диагностирован только у 5 (9,1%) пациентов 2-й группы.
Рис. 1. Частота подтипов ИИ в обеих группах.
Fig. 1. Ischemic stroke subtypes in both groups.
Степень тяжести ИИ разных подтипов в обеих группах представлена на рис. 2. ИИ протекал тяжелее у больных 1-й группы, особенно при его кардиоэмболическом подтипе (р = 0,035).
Рис. 2. Тяжесть ИИ разных подтипов в 1-й и 2-й группах.
Fig. 2. Subtype-based stroke severity in the 1st and the 2nd groups.
Статистически значимо чаще осложнения ИИ встречались у пациентов 1-й группы, чем 2-й группы: дислокационный синдром — у 7 (22,6%) и 1 (1,8%) соответственно (р = 0,003); отёк головного мозга — у 6 (19,4%) и 1 (1,8%; р = 0,016). Значительную роль в ухудшении прогноза исхода ИИ играло наличие острой соматической и тяжёлой хронической патологии у больных 1-й группы: тромбоэмболия лёгочной артерии — у 4 (12,9%) пациентов, острый инфаркт миокарда — у 1 (3,2%), застойная пневмония — у 12 (38,7%), хроническая почечная недостаточность 4–5 стадии — у 7 (22,6%).
Вероятность риска ЛИ оценивали путём выделения ряда факторов (биомаркеров) для однофакторного анализа логистической регрессии (табл. 2). Анализ статистически значимых факторов риска ЛИ показал, что из 31 маркера 13 имели отношение шансов ЛИ 1,5 и более. Многофакторный анализ (регрессионная модель) проводили с помощью метода бинарной логистической регрессии и отсечения взаимодействующих факторов методом исключения (Вальда). Характеристики параметров, полученных в результате многофакторного анализа, представлены в табл. 3.
Таблица 2. Характеристика маркеров для однофакторного анализа
Table 2. Univariate analysis markers
Фактор | Factor | Коэффициент регрессии Regression coefficient | Отношение шансов Odds ratio | 95% ДИ 95% CI | р |
Дислокационный синдром | Brain herniation | 2,8 | 15,8 | 1,8–135,2 | 0,012 |
Степень угнетения сознания | Severity of the disorder of consciousness | 2,6 | 13,6 | 4,0–46,2 | < 0,001 |
Хронические заболевания почек | Chronic kidney disease | 1,5 | 4,5 | 1,5–13,8 | 0,009 |
Постинфарктный кардиосклероз | Post-infarction cardiosclerosis | 1,3 | 3,8 | 1,5–9,9 | 0,006 |
Хроническая обструктивная болезнь лёгких Chronic obstructive pulmonary disease | 1,2 | 3,3 | 1,2–8,7 | 0,02 |
Сахарный диабет | Diabetes mellitus | 1,1 | 2,8 | 1,1–7,7 | 0,04 |
Шкала Рэнкин, баллы | mRS score | 1 | 2,7 | 1,8–4,3 | < 0,001 |
ФП | Atrial fibrillation | 0,9 | 2,7 | 1,1–6,7 | 0,031 |
Прямой билирубин, мкмоль/л | Direct bilirubin, μmol/L | 0,9 | 2,5 | 1,3–4,9 | 0,008 |
Фибриноген, г/л | Fibrinogen, g/L | 0,7 | 1,9 | 1,2–3,3 | 0,008 |
Протромбиновое время, с | Prothrombin time, sec | 0,5 | 1,6 | 1,2–2,2 | 0,002 |
Лейкоциты, 109/л | White blood cells, 109/L | 0,4 | 1,5 | 1,2–1,8 | < 0,001 |
Мочевина, ммоль/л | Urea, mmol/L | 0,4 | 1,5 | 1,2–1,9 | 0,001 |
Нейтрофилы, абс. | Absolute neutrophil count | 0,3 | 1,4 | 1,1–1,7 | 0,002 |
NIHSS, балл | NIHSS score | 0,3 | 1,4 | 1,2–1,6 | < 0,001 |
Растворимые фибрин-мономерные комплексы, г/л Soluble fibrin monomer complexes, g/L | 0,2 | 1,3 | 1,1–1,5 | 0,015 |
Аспартатаминотрансфераза, ЕД/л | Aspartate aminotransferase, U/L | 0,1 | 1,1 | 1,1–1,2 | < 0,001 |
Возраст, лет | Age, years | 0,1 | 1,1 | 1,1–1,2 | < 0,001 |
Аланинаминотрансфераза, ЕД/л | Alanine aminotransferase, U/L | 0,1 | 1,1 | 1,0–1,2 | 0,002 |
Общий билирубин, мкмоль/л | Total bilirubin, µmol/L | 0,1 | 1,1 | 1,0–1,2 | 0,014 |
Частота сердечных сокращений, уд/мин | Heart rate, bpm | 0,04 | 1 | 1,0–1,1 | 0,049 |
Скорость оседания эритроцитов, мм/ч Erythrocyte sedimentation rate, mm/hr | 0,04 | 1 | 1,0–1,1 | 0,04 |
Креатинин, ммоль/л | Creatinine, mmol/L | 0,02 | 1 | 1,00–1,04 | 0,015 |
Креатинфосфокиназа, ЕД/л | Creatine phosphokinase, U/L | 0,002 | 1 | 1,000–1,003 | 0,015 |
Гемоглобин, г/л | Hemoglobin, g/L | –0,1 | 0,9 | 0,9–0,9 | < 0,001 |
Общий белок, г/л | Total protein, g/L | –0,2 | 0,8 | 0,8–0,9 | < 0,001 |
Шкала комы Глазго, балл | Glasgow Coma Scale, score | –1,3 | 0,3 | 0,2–0,5 | < 0,001 |
Приём гипотензивных препаратов | Hypotensive drug therapy | –1,8 | 0,2 | 0,1–0,5 | 0,003 |
Эритроциты, 1012/л | Red blood cells, 1012/L | –1,8 | 0,2 | 0,1–0,4 | < 0,001 |
Лимфоциты, абс. | Absolute lymphocyte count | –2,5 | 0,1 | 0,02–0,30 | < 0,001 |
Таблица 3. Факторы вероятности ЛИ ИИ в регрессионной модели
Table 3. Fatal outcome probability factors in the regression model
Фактор Factor | Коэффициент регрессии Regression coefficient | Отношение шансов Odds ratio | 95% ДИ 95% CI | p |
Креатинин, ммоль/л Creatinine, mmol/L | 0,1 | 1,1 | 1,0–1,1 | 0,008 |
NIHSS, балл NIHSS score | 0,5 | 1,7 | 1,3–2,2 | < 0,001 |
Возраст, лет Age, years | 0,1 | 1,2 | 1,0–1,3 | 0,015 |
Общий билирубин, мкмоль/л Total bilirubin, µmol/L | 0,2 | 1,2 | 1,0–1,4 | 0,014 |
С использованием коэффициента регрессии было получено значение z:
z = 0,1 × XК + 0,5 × XNIHSS + 0,1 × XВ + 0,2 × XБ – 23,3,
где XК — содержание креатинина (ммоль/л); XNIHSS — балл по шкале ИИ NIHSS; XВ — возраст (лет); XБ — содержание общего билирубина (мкмоль/л).
Согласно коэффициенту регрессии повышение уровня креатинина, общего билирубина в сыворотке крови, балла по шкале NIHSS, увеличение возраста ассоциировались с ростом вероятности ЛИ. Так, в соответствии с данными табл. 3, увеличение уровня креатинина в сыворотке крови на 1 ммоль/л ведёт к увеличению шансов ЛИ в 1,1 раза; увеличение на 1 балл результата шкалы NIHSS — в 1,7 раза, увеличение возраста на 1 год — в 1,2 раза, рост концентрации общего билирубина на 1 мкмоль/л — в 1,2 раза.
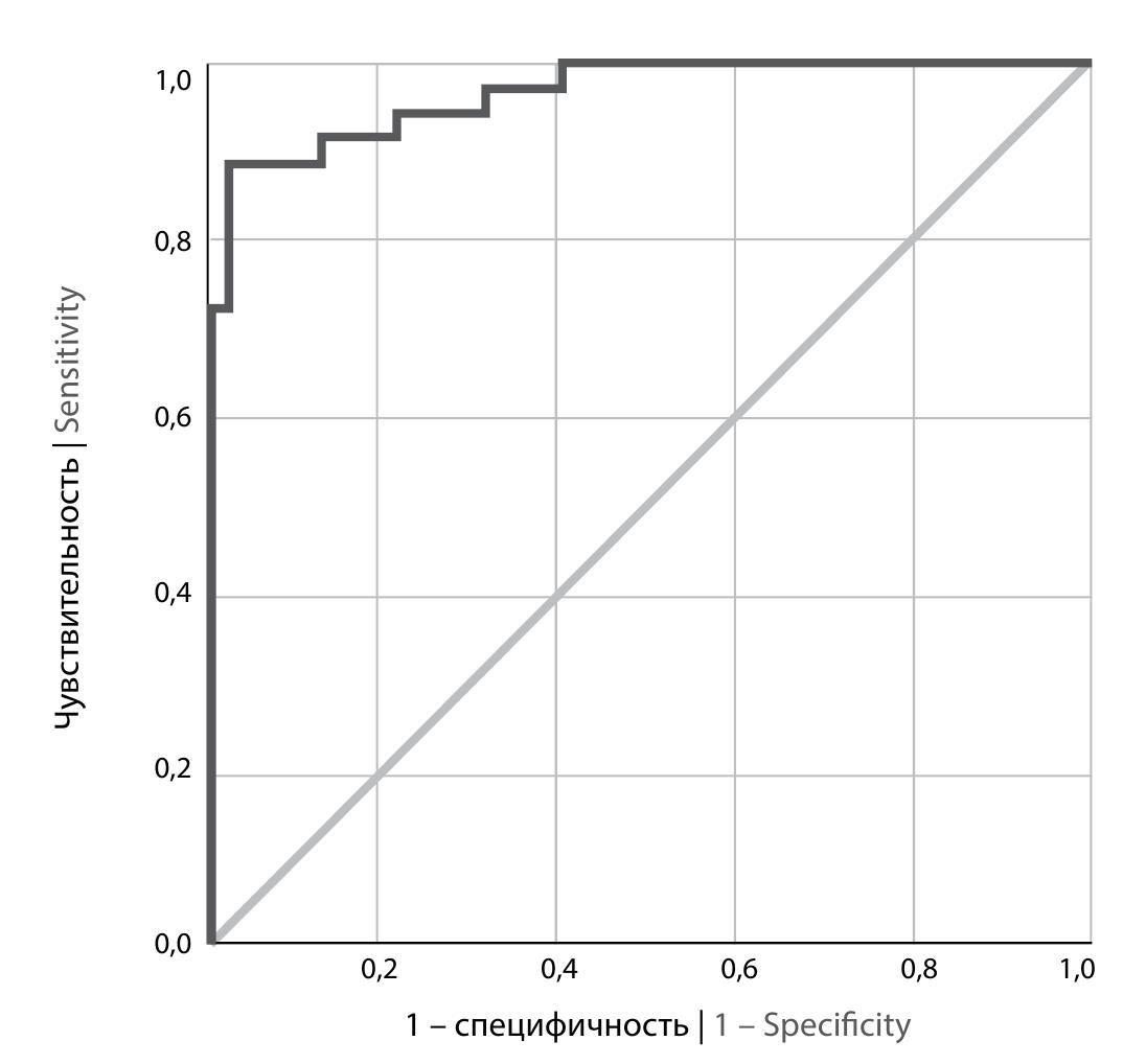
Полученная модель была статистически значимой (p < 0,001). Исходя из коэффициента детерминации Найд-желкерка R2, построенной моделью объясняется 82,5% дисперсии, оказывающей влияние на вероятность ЛИ. Общая прогностическая эффективность модели составила 94%. При оценке зависимости вероятности ЛИ у пациентов с ИИ от содержания креатинина, общего билирубина, шкалы NIHSS и возраста получена ROC-кривая, отражённая на рис. 3. Значение AUC = 0,9 ± 0,02 (95% ДИ: 0,9–1,0). Модель была статистически значимой (p < 0,001).
Рис. 3. ROC-кривая зависимости вероятности ЛИ у пациентов с ИИ от содержания креатинина, общего билирубина, шкалы NIHSS и возраста.
Fig. 3. ROC curve of the dependence of the fatal outcome probability in the patients with acute ischemic stroke on the content of creatinine, total bilirubin, NIHSS scale and age.
В качестве cut-off для функции в модели логистической регрессии было выбрано значение 0,52. У пациентов со значением 0,52 и выше отмечался повышенный риск ЛИ, в случае значения ниже 0,52 предполагался благоприятный исход. Чувствительность и специфичность модели составили 88,9 и 97,5% соответственно.
Для корреляционного анализа использовали маркеры, полученные при многофакторном анализе (табл. 3). Анализ показал статистически значимую прямую связь между возрастом и баллом по шкале NIHSS (ρ = 0,3; p = 0,019), уровнем мочевины сыворотки крови (ρ = 0,3; p = 0,01) и креатинина (ρ = 0,2; p = 0,031). Установлена обратная умеренная связь между возрастом и количеством эритроцитов (ρ = –0,3; p = 0,004), лимфоцитов (ρ = –0,4; p < 0,001), уровнем гемоглобина (ρ = –0,3; p = 0,031) и баллом по шкале комы Глазго (ρ = –0,3; p = 0,002).
Получена статистически значимая прямая связь между баллом по шкале NIHSS и баллом по шкале Рэнкин (ρ = 0,7; p < 0,001), уровнем креатинфосфокиназы (ρ = 0,6; p < 0,001), лейкоцитов (ρ = 0,4; p < 0,001), мочевины (ρ = 0,3; p = 0,036), аланинаминотрансферазы (ρ = 0,3; p = 0,007), фибриногена (ρ = 0,3; p = 0,02), аспартатаминотрансферазы (ρ = 0,2; p = 0,044). Установлена обратная связь между баллом по шкале NIHSS и количеством эритроцитов (ρ = –0,3; p = 0,013), лимфоцитов (ρ = –0,4; p = 0,002), уровнем общего белка (ρ = –0,5; p < 0,001), баллом по шкале комы Глазго (ρ = –0,6; p < 0,001). Статистически значимая прямая связь выявлена между уровнем креатинина и мочевины (ρ = 0,9; p < 0,001), аспартатаминотрансферазы (ρ = 0,6; p < 0,001) и аланинаминотрансферазы (ρ = 0,4; p = 0,001), количеством нейтрофилов (ρ = 0,6; p < 0,001) и уровнем прямого билирубина (ρ = 0,4; p = 0,022).
Обсуждение
Обобщая данные литературы, можно заключить, что на вероятность ЛИ при ИИ влияют подтип ИИ, наличие заболеваний сердца, почек, СД, нарушение сознания, гипоксия [7–10]. Лабораторные показатели крови позволяют судить о наличии сопутствующей ИИ патологии, метаболического синдрома, осложнений и о прогнозе заболевания. Уровень гликемии является одним из важных прогностических критериев исхода ИИ. Повышение уровня фибриногена у пациентов с ИИ свидетельствует о гиперкоагуляции, риске тромбообразований и неблагоприятном прогнозе [11].
В нашем исследовании в группе с ЛИ статистически значимо преобладали больные с сопутствующей соматической патологией (СД, ФП и др.), увеличением показателей свёртывающей системы крови (уровни фибриногена, растворимых фибрин-мономерных комплексов, протромбинового индекса), креатинина, билирубина, что свидетельствует о роли сопутствующей соматической патологии, органной недостаточности и метаболического синдрома как факторов прогноза исходов ИИ и вероятности ЛИ.
Многофакторный анализ показал связь риска ЛИ с тяжестью ИИ по шкале NIHSS и возрастом больных. В 1-й группе больные были статистически значимо старше по возрасту, преобладали случаи тяжёлого и крайне тяжёлого ИИ. Высокий балл по шкале NIHSS может свидетельствовать об обширной зоне ИИ, что ассоциировано с такими осложнениями, как дислокационный синдром, отёк мозга. Согласно коэффициентам регрессии, наличие дислокационного синдрома, заболеваний почек и печени, постинфарктного кардиосклероза, СД, ФП, увеличение степени угнетения сознания, частоты сердечных сокращений также связаны с ростом вероятности ЛИ. Однако увеличение некоторых параметров (уровень гемоглобина, общего белка, эритроцитов, сознания и гипотензивная терапия в анамнезе) сопровождалось снижением вероятности ЛИ.
Поскольку функциональный исход ИИ и риск ЛИ зависят от уровня артериального давления, имеет значение своевременная и адекватная гипотензивная терапия [11], которая, по данным анамнеза, у больных 2-й группы проводилась успешнее. Использование антикоагулянтов у больных с ФП в обеих группах было недостаточным, при том что их приём позволяет снизить частоту кардиогенного эмболического ИИ в 2 раза [11].
Корреляционный анализ показал статистически значимую прямую связь между возрастом больного и тяжестью ИИ по оценке шкалы NIHSS, уровнем креатинина; между баллом по шкале NIHSS и уровнем фибриногена, мочевины и аланинаминотрансферазы, что свидетельствует о важной роли коморбидной патологии.
Определение и изучение факторов (биомаркеров), по которым можно распознавать или идентифицировать патологический процесс [11], позволяет проводить своевременный диагностический поиск, мониторинг состояния больного, прогнозировать исходы ИИ.
Заключение
Выявленные предикторы вероятности ЛИ ИИ могут быть ориентирами для врача в выборе стратегии ведения пациента в остром периоде ИИ. Решающее значение в снижении летальности при ИИ, наряду с учётом его тяжести, имеет наличие острой и хронической соматической патологии и адекватных мер первичной и вторичной профилактики.
Источник финансирования. Авторы заявляют об отсутствии внешних источников финансирования при проведении исследования.
Конфликт интересов. Авторы декларируют отсутствие явных и потенциальных конфликтов интересов, связанных с публикацией настоящей статьи.
About the authors
Liliia B. Novikova
Bashkir State Medical University
Email: novicova@inbox.ru
ORCID iD: 0000-0001-8469-1635
D. Sci. (Med.), Professor, Head, Department of neurology, Institute of Additional Professional Education
Russian Federation, 450000, Ufa, Lenin str., 3Anait P. Akopyan
Bashkir State Medical University
Email: ano-akopian@yandex.ru
ORCID iD: 0000-0001-8436-5610
Cand. Sci. (Med.), associate professor, Department of neurology, Institute of Additional Professional Education
Russian Federation, 450000, Ufa, Lenin str., 3Raushaniya F. Latypova
Bashkir State Medical University
Author for correspondence.
Email: rau.lat@yandex.ru
ORCID iD: 0000-0001-7231-8534
assistant, Department of neurology, Institute of Additional Professional Education
Russian Federation, 450000, Ufa, Lenin str., 3References
- GBD 2015 Neurological Disorders Collaborator Group. Global, regional, and national burden of neurological disorders during 1990–2015: a systematic analysis for the Global Burden of Disease Study 2015. Lancet Neurol. 2017; 16(11): 877–897. doi: 10.1016/S1474-4422(17)30299-5
- Бокерия Л.А., Ступаков И.Н., Гудкова Р.Г. Анализ показателей заболеваемости различными формами болезней системы кровообращения в федеральных округах РФ. Здравоохранение. 2015; (6): 66–75. Bokeria L.A., Stupakov I.N., Gudkova R.G. Analysis of incidence rates of various forms of diseases of the circulatory system in the federal districts of the Russian Federation. Zdravookhranenie. 2015; (6): 66–75. (In Russ.)
- Магомаев М.Ф. Прогноз заболеваемости церебральным инсультом в Республике Дагестан. Журнал неврологии и психиатрии им. С.С. Корсакова. 2015; 115(3): 59–63. Magomaev M.F. Prediction of the incidence of cerebral stroke in the Republic of Dagestan. Zhurnal Nevrologii i Psihiatrii im. S.S. Korsakova. 2015; 115(3): 59–63. (In Russ.)
- Чугунова С.А., Николаева Т.Я., Кузьмина З.М. и др. Эпидемиология инсульта в Якутске по данным территориально-популяционного регистра за 2015 год. Дальневосточный медицинский журнал. 2017; (3): 80–85. Chugunova S.A., Nikolaeva T.Ya., Kuzmina Z.M. et al. Epidemiology of stroke in Yakutsk according to the territorial population register for 2015. Dal’nevostochnyj medicinskij zhurnal. 2017; (3): 80–85. (In Russ.)
- Drop B., Kos M., Furtak-Niczyporuk M. Stroke epidemiology based on experience from Krasnik country in eastern Poland. Ann. Agric. Environ. Med. 2020; 27(3): 448–455. doi: 10.26444/aaem/110020
- Ozga A.K., Rauch B., Palm F. et al. Reevaluation of risk factors for time to subsequent events after first stroke occurrence using a new weighted all-cause effect measure. BMC Public Health. 2020; 20(1): 817. doi: 10.1186/s12889-020-08971-4
- Стаховская Л.В., Клочихина О.А., Короткевич И.А., Полунина О.С. Анализ прогностических показателей-предикторов летального исхода у больных инсультом. Астраханский медицинский журнал. 2018; (2): 97–103. Stakhovskaya L.V., Klochikhina O.A., Korotkevich I.A., Polunina O.S. Analysis of prognostic indicators-predictors of lethal outcome in patients with stroke. Astrahanskij medicinskij zhurnal. 2018; (2): 97–103. (In Russ.) doi: 10.17021/2018.13.2.97.103
- Hansson P.O., Andersson Hagiwara M., Brink P. et al. Prehospital identification of factors associated with death during one-year follow-up after acute stroke. Brain Behav. 2018; 8(6): e00987. doi: 10.1002/brb3.987
- Takashima N., Arima H., Kita Y. et al. Two-year survival after first-ever stroke in a general population of 1.4 million Japanese — Shiga Stroke Registry. Circ. J. 2018; 82(10): 2549–2556. doi: 10.1253/circj.CJ-18-0346
- Wu H.H., Chang T.Y., Liu C.H. et al. Impact of chronic kidney disease severity on causes of death after first-ever stroke: a population-based study using nationwide data linkage. PLoS One. 2020; 15(11): e0241891. doi: 10.1371/journal.pone.0241891
- Пирадов М.И., Танашян М.М., Максимова М.Ю. Инсульт: современные технологии диагностики и лечения. Руководство для врачей. М.; 2018. Piradov M.I., Tanashyan M.M., Maksimova M.Yu. Stroke: modern technologies for diagnosis and treatment. Guide for doctors. Moscow; 2018. (In Russ.)








