Long-term Intracerebroventricular Administration of Ouabain Causes Motor Impairments in C57Bl/6 Mice
- Authors: Timoshina Y.A.1,2, Kazanskaya R.B.3,2, Zavialov V.A.3, Volnova A.B.3, Latanov A.V.1, Fedorova T.N.2, Gainetdinov R.R.3, Lopachev A.V.3,2
-
Affiliations:
- Lomonosov Moscow State University
- Research Center of Neurology
- Saint Petersburg State University
- Issue: Vol 17, No 4 (2023)
- Pages: 40-51
- Section: Original articles
- Submitted: 17.04.2023
- Accepted: 01.06.2023
- Published: 25.12.2023
- URL: https://annaly-nevrologii.com/pathID/article/view/978
- DOI: https://doi.org/10.54101/ACEN.2023.4.5
- ID: 978
Cite item
Abstract
Introduction. Cardiac glycosides are natural ligands of Na+/K+-ATPase, which regulate its activity and signaling. Intracerebroventricular administration of ouabain has been previously shown to induce hyperlocomotion in C57Bl/6 mice via a decrease in the rate of dopamine reuptake from the synaptic cleft.
Materials and methods. This study involved forty C57BL/6 mice. 1.5 μL of 50 μM ouabain was administered daily into the left lateral cerebral ventricle over the course of 4 days. On day 5, open field, beam balance, and ladder rung walking tests were performed to assess the locomotor activity and motor impairments in the mice. We evaluated changes in the activation of signaling cascades, ratios of proapoptotic and antiapoptotic proteins, and the amount of α1 and α3 isoforms of the Na+/K+-ATPase α-subunit in brain tissue using Western blotting. Na+/K+-ATPase activity was evaluated in the crude synaptosomal fractions of the brain tissues.
Results. We observed hyperlocomotion and stereotypic behavior during the open field test 24 hours after the last injection of ouabain. On day 5, the completion time and the number of errors made in the beam balance and ladder rung walking tests increased in the mice that received ouabain. Akt kinase activity decreased in the striatum, whereas the ratio of proapoptotic and antiapoptotic proteins and the number of Na+/K+-ATPase α-subunits did not change. Na+/K+-ATPase activity increased in the striatum and decreased in the brainstem.
Conclusions. Long-term exposure to ouabain causes motor impairments mediated by changes in the activation of signaling cascades in dopaminergic neurons.
Keywords
Full Text
Introduction
Cardiotonic steroids (CTS), also known as cardiac glycosides, are a group of compounds synthesized by some plants and animals. They bind to the α-subunit of Na+/K+-ATPase, reversibly inhibiting its activity. In its inhibited state, the Na+/K+-ATPase does not maintain and, in case of neurons, restore the resting membrane potential. The specific CTS binding site was found between М1-М2, М5-М6, and М7-М8 transmembrane domains of the α3 subunit, on the extracellular surface of the protein. CTS binding stabilizes the Na+/K+-ATPase complex in an E2P conformation, thereby reversibly inhibiting its pump activity [1]. Although high concentrations of CTS inhibit the Na+/K+- ATPase [2], at nanomolar concentrations they can cause an increase in its activity [3]. This effect is explained by the presence of tetrameric complexes of inactive Na+/K+-ATPase heterotetramers on the plasma membrane, which break down when one of the enzymes is bound by a CTS. The breakdown of these tetrameric complexes of Na+/K+-ATPase heterotetramers causes an increase in the amount of active enzymes [4]. In laboratory rodents, the α1 isoform of Na+/K+-ATPase is present in all cells and is insensitive to CTS, making these animals suitable for studying the effects of CTS specifically on the central nervous system (CNS) [5]. In the CNS, the α2 isoform (in astrocytes) and neuron-specific α3 isoforms of the Na+/K+-ATPase are present in addition to the ubiquitous α1 isoform [6].
Studies on rat neuron cultures showed that CTS concentrations that inhibit the Na+/K+-ATPase α3 isoform are neurotoxic [7], whereas concentrations that do not inhibit Na+/K+-ATPase activity are neuroprotective [8, 9]. Although toxic at higher concentrations, CTS are used as drugs: eg, digoxin derived from Digitalis lanata is used for heart failure treatment [10]. A number of studies suggest the presence of endogenous analogues of CTS in mammals [11]. However, it was found that patients can develop mood alterations [12] and sometimes delirium [13] when taking low concentrations of digoxin. This discovery led to the development of various bipolar disorder models based on intracerebroventricular (ICV) administration of ouabain to rats and mice [14–16].
Both ouabain (g-strophanthin) and digoxin are glycosylated cardenolides and are used to treat heart failure. In 2019, a mouse model of ouabain-induced bipolar disorder demonstrated that a single ICV administration of ouabain causes mania-like behavior, increased synthesis of dopamine, and reduced rate of dopamine reuptake from the synaptic cleft [16]. Thus, it was confirmed that the effects observed following ouabain administration are mediated, among other factors, by changes in dopaminergic system functioning. The change in Akt protein kinase and ERK1/2 MAP kinase activation, associated with activation of dopamine D2 receptors and previously shown in rats, was also reproduced.
Patients with Parkinson disease (PD) were found to have an increased concentration of serum digoxin [17], indicating that endogenous analogues of CTS could potentially contribute to PD pathogenesis. Furthermore, neriifolin is used as the CTS to model PD in zebrafish (Danio rerio) [18]. Although the mechanisms behind the role of endogenous CTS in PD pathogenesis are yet to be determined, their role in the development of bipolar disorder and depression has been demonstrated in a number of studies [19].
The neurotoxicity of CTS is linked to oxidative stress and apoptosis mediated by increased ERK1/2 activation [20]. It should be noted that a similar mechanism can be observed in the 6-hydroxydopamine-induced model of parkinsonism. Based on the findings above, it could be hypothesized that long-term exposure to CTS may affect the function and viability of dopaminergic neurons via their indirect effect on the dopamine active transporter (DAT). It is presumed that chronic impairment of dopamine metabolism may be one of the mechanisms underlying dopaminergic neuron degeneration [21]. A number of studies indicate that such neuropsychiatric disorders as bipolar disorder, attention-deficit/hyperactivity disorder, and depression are risk factors for PD development. The dysfunction of dopamine receptors and altered dopamine reuptake plays a key role in the pathogenesis of these disorders [22–25]. An imbalance of these transporters' activity towards increased membrane DAT activity causes toxic dopamine metabolites to accumulate within the cytoplasm, leading to oxidative stress [26–28]. However, DAT dysfunction also has a negative impact on the neuron function. Partial loss of the DAT function can cause bipolar disorder, whereas complete DAT dysfunction results in juvenile parkinsonism [29]. Some researchers suggest measuring DAT activity in olfactory bulbs can be a prognostic factor of increased risk of PD development [30]. Previous studies have shown that DAT dysregulation (both decreased and increased DAT activity) can cause a number of pathological processes and may play a pivotal role in PD pathogenesis. Short-term inhibition of DAT does not significantly affect the risk of PD development, and the function of dopaminergic system is quickly restored [31, 32]. As such, the factors underlying long-term DAT dysfunction and, as a result, dopaminergic system dysfunction as a whole, lie beyond its immediate components. Exposure to such factors probably affects connecting links, dysfunction of which occurs due to the effect of factors that cause the death of dopaminergic neurons. One of such connecting links could be the Na+/K+-ATPase.
Studying disorders caused by long-term exposure of the dopaminergic system to low concentrations of CTS can help identify new mechanisms behind its dysfunction and regulation and improve our understanding of the role CTS play in the CNS.
Our objective was to study the effects of long-term ICV ouabain administration to C57Bl/6 mice on motor function, activity of dopamine-dependent signaling cascades, and ratios of apoptosis-regulatory proteins Bcl-2 in the striatum, as well as the impact of a single administration of ouabain on Na+/K+-ATPase activity in various brain structures.
Materials and methods
Study animals
We performed experiments on C57Bl/6 male mice 4–6 months old (n = 40) from the Saint Petersburg State University vivarium. The animals were housed in individually ventilated cages (temperature, 22 ± 1ºС; relative humidity, 50–70%) with a 12-hour light/dark cycle (lights from 8 AM to 8 PM). The mice had ad libitum access to food and water. The mice were maintained according to the regulations governing the use of laboratory animals in research (as recommended by the Federation of European Laboratory Animal Science Associations and the Russian Laboratory Animal Science Association).
The experimental procedure was approved by the Animal Experimental Ethics Committee of Saint Petersburg State University (Protocol No. 131-03-1 dated March 25, 2019).
Substance administration
The animals were anesthetized with isoflurane (IsoFlo). Following the thorough cleaning of the skull from surface tissues, a guide cannula made of a 26G needle (KDF) and 1 × 2 mm fixed plastic holder [33] was unilaterally stereotaxically implanted using the following coordinates: AP (anteroposterior) = –0.5; L (lateral) = 1.0, to a depth of 2.0 mm so that the cannula tip was immediately above the lateral cerebral ventricle but did not protrude into it. The guide cannula was fixed with acrylic cement. Then a 3.9–4.0 mm long dummy cannula made out of a 33G needle (Mesoram) was inserted into the guide cannula to prevent its occlusion after the surgery. Experiments began 3 days after cannula implantation.
ICV injection was performed via an injection cannula, which was made out of a 33G needle connected to a Hamilton syringe. The cannula was inserted into the guide cannula to a depth of 2.5 mm. To ensure even injection, a syringe pump was used to deliver solutions at 0.75 µL/min. The animals were administered 1.5 μL of ouabain dissolved in artificial cerebrospinal fluid (125 мМ NaCl, 26 мМ NaHCO3, 4 мМ KCl, 1.25 мМ NaH2PO4, 2 мМ CaCl2, 2 мМ MgCl2, 25 мМ glucose). The control group received 1.5 μL of artificial cerebrospinal fluid.
Behavioral testing
The open field test was used to assess locomotor activity and stereotypic behavior. The mouse was placed in the center of arena (40 × 40 × 40 cm). The distance traveled over the course of 20 minutes was recorded using the EthoVision XT video tracking software (Noldus). In EthoVision XT, the image of the square field was visually divided into zones: 4 corners, 4 edges, and the central zone. The central zone was a square in the field center. Its diagonal was equal to half of the entire field's diagonal. Motor stereotypy during the open field test was analyzed using an EthoVision XT algorithm. This algorithm calculates the index of spontaneous alterations: the number of alterations, Alt (the number of trajectory segments where the animal passed neighboring zones of the open field, except for the central one, in succession); the maximum number of alterations, mAlt (difference between the total number of zones the animals visited irregularly and the number of zones selected for analysis without one zone); index of alterations or index of stereotypy, IAlt (percentage of the number of alterations to the maximum number of alterations).
IAlt = Alt/mАlt × 100%.
The beam balance test was used to evaluate motor coordination. The mice were placed with all 4 limbs at the beginning of a smooth circular wooden rod (diameter, 10 mm; length, 100 cm) elevated 80 cm above the floor. The animal's body was oriented along the rod. A flat rectangular platform (15 × 15 cm) was placed at the opposite end of the rod. The animals were trained to walk along the rod before the experiment. During the test, the total traversal time (from the beginning of the rod to the platform) and the number of paw slips (errors) and falls were recorded.
The ladder rung walking test assessed fine motor skills and motor coordination. The mice were placed at the beginning of a ladder with 2 mm diameter metal bars spaced 1.5 cm apart and inclined at an angle of 15°. The home cage was at the beginning of the ladder. The animals were trained to walk the ladder before the experiment. During the test, the walking time and the number of paw slips (errors) were recorded.
Material harvesting
The mice were euthanized by cervical dislocation. The brain was extracted on ice, dissected (striatum, brainstem, cerebellum, and hippocampus), and frozen in liquid nitrogen. The material was stored at −80ºC.
Determination of Na+/K+-ATPase activity
Na+/K+-ATPase activity was determined using inorganic phosphate accumulation. All procedures were performed on ice. The weighed tissue was homogenized using the Schuett Homgenplus homogenizer (SchuettBiotec GmbH) in 10-fold volumes of extraction buffer (0.25 M sucrose, 1 mM EDTA, 20 mM Tris, pH 7.45) that contained protease and phosphatase inhibitor cocktails (1 : 1000, Sigma) added immediately prior to use. The homogenate was centrifuged for 2 minutes at 4ºС and 1000g. The supernatant was transferred to a separate tube and centrifuged again for 15 minutes at 4ºC and 10 000g. The synaptosomal fraction was resuspended in isolation buffer and stored at –80ºC. A small volume of the sample was lysed with RIPA buffer (Sigma) that contains protease and phosphatase inhibitor cocktails, and the protein concentration was determined using DC Protein Assay Kit (Bio-Rad). The synaptosomal fraction with a protein concentration of 2 μg/μL was incubated with 0.065% sodium deoxycholate for 30 minutes in cold water bath. The obtained Na+/K+-ATPase preparation was added to the reaction medium (130 mM NaCl, 20 mM KCl, 3 mM MgCl2, 30 mM imidazole, pH 7.5) to a final concentration of 0.05 μg/μL. A saturated solution of ouabain dissolved in the reaction buffer was used to measure the activity of other ATP-dependent enzymes. The reaction was started by adding 3 mM ATP, after which the reaction mixture was incubated for 15 minutes at 37ºC. The reaction was stopped by adding 0.1 mL of cooled 3 M acetate buffer (pH 4.3) containing 3.7% formaldehyde. To determine the amount of inorganic phosphate released, 0.02 mL of 2% ammonium heptamolybdate and 0.02 mL of freshly prepared 0.3% tin (II) chloride solution were added to the sample. The samples were thoroughly vortexed and incubated for 10 minutes. The optical density of the solution was measured at 735 nm using the Synergy H1 plate reader (BioTek). The Na+/K+-ATPase activity was calculated using the difference between the optical density in the test sample and that in the sample with the saturated ouabain solution.
Western blotting
Tissue samples were lysed in RIPA buffer (Sigma) with the addition of protease and phosphatase inhibitors (1 : 1000, Sigma). The resulting lysate was centrifuged at 14 000g at 4ºC for 20 minutes, then the supernatant was collected, and the protein concentration was measured using the DC Protein Assay Kit (Bio-Rad). Proteins were separated by polyacrylamide gel electrophoresis according to Laemmli. Then the proteins were transferred to a PVDF membrane (Whatman) and incubated with antibodies according to the manufacturers' instructions. For the analysis, we used primary antibodies to p-Akt (Ser473), Akt, p-ERK1/2 (Thr202/Tyr204), ERK1/2, Bak, Bax, Bcl-2, Bcl-xL (Cell Signaling Technology), pJNK (Thr183/Tyr185), JNK, NR2B, GAPDH and β-actin (Santa Cruz Biotechnology), NKA α1 a6F (DSHB), and NKA α3 (Thermo Scientific) and horseradish peroxidase-conjugated secondary anti-rabbit and anti-mouse antibodies (Cell Signaling Technology). The membranes were developed using SuperSignal West Femto Maximum Sensitivity Substrate (Thermo Scientific). Luminescence was detec- ted using ChemiDoc MP Gel Documentation System (Bio-Rad), and its intensity was calculated using Image Lab 6.0.1 (Bio-Rad). Kinase activation was evaluated by the ratio between the intensity of the bands of the phosphorylated form of the kinase and the intensity of the bands of its total form (phosphorylation level).
Statistical analysis
Statistical analysis was performed using the GraphPad Prism 7 software. Data are presented as arithmetic mean ± standard error of the mean (mean ± SEM). Data were analyzed using t test and 1-way or 2-way ANOVA with Tukey test and preliminary Shapiro–Wilk test. Differences were considered significant at p < 0.05.
Results
Motor dysfunction and locomotor activity in mice after ouabain injection
The effect of ICV injection of 1.5 μL of 50 µM (75 pmol, 43.8 ng) ouabain on the neurological status and locomotor activity of the animals was evaluated 24 hours after 4-day ouabain administration. To assess the neurological status of the animals, the beam and ladder rung walking tests were used.
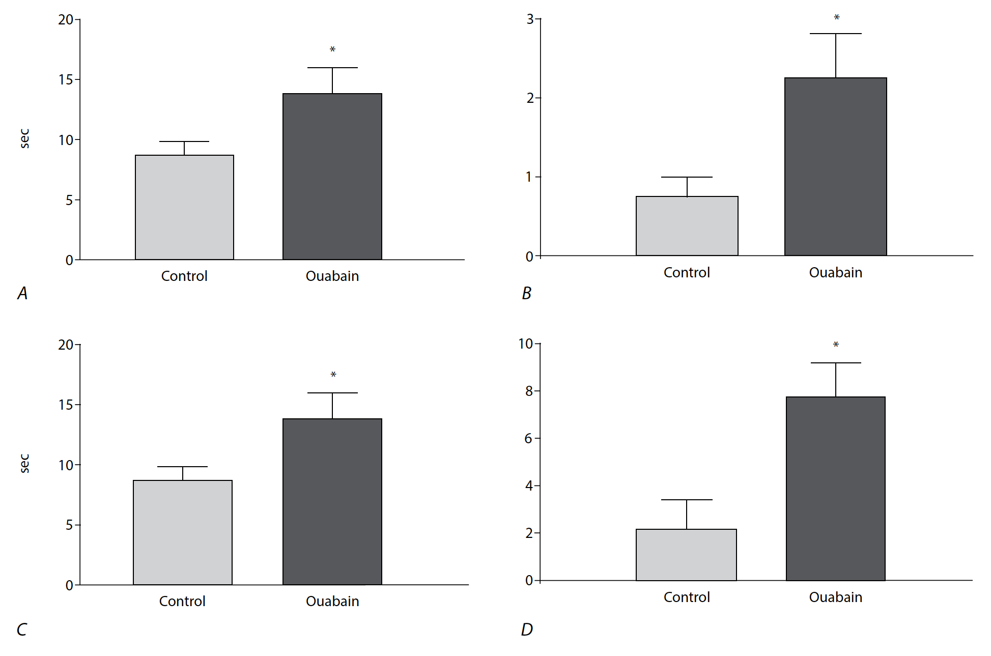
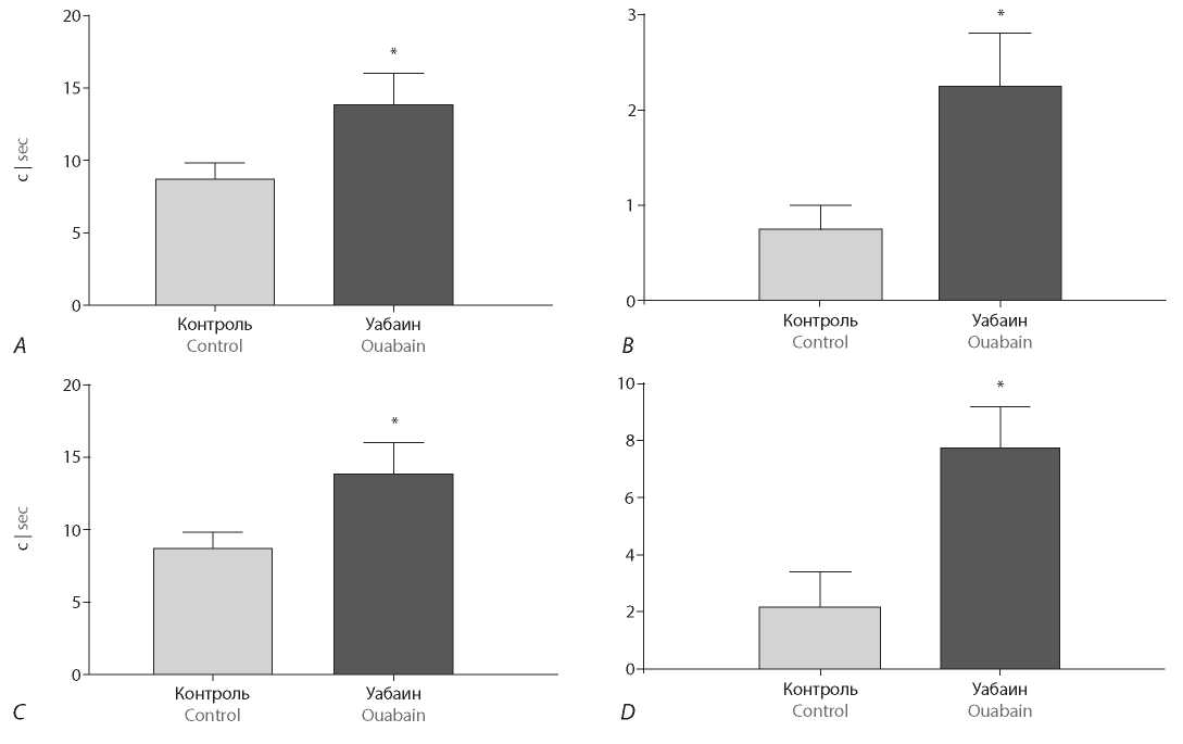
The ladder rung walking test performed at 24 hours after 4-day ICV administration in ouabain-treated mice took 1.6 times longer (p = 0.045) with 3 times more errors (p < 0.028) compared with the control animals (Fig. 1, А). On day 5, the beam balance test duration in the ouabain-treated group doubled (p < 0.031) with a 3.6-fold increase in the number of errors (p < 0.02) compared with the controls. Based on the data presented, it could be hypothesized that multiple injections of ouabain in C57Bl/6 mice result in disrupted ability of keeping body balance and fine motor impairments.
Fig. 1. The effect of 4-day ICV ouabain administration to C57Bl/6 mice (n = 5) on the traversal time (А), the number of errors in ladder rung walking test (В), distance (C), the number of errors in the beam balance test (D).
The data are presented as mean ± SEM; *p < 0.05.
To assess locomotor activity 24 hours after 4-day ouabain administration, a 20-minute open field test was performed where the motor function of the animals was evaluated based on the average walking speed. To assess stereotypic behavior, we calculated IAlt values.
The mice motor activity expressed as average walking speed at 24 hours after 4-day ICV ouabain administration showed a 1.9-fold increase (p = 0.029) in comparison with the controls (Fig. 2, А). The IAlt value in the open field test performed 24 hours after 4-day ouabain administration in the ouabain group was 7 times higher than that in the control group (p = 0.036; Fig. 2, C), which means that stereotyped behavior in the ouabain-treated mice was more manifested. Based on the data presented, we may suggest that multiple ouabain injections result in the increased motor activity and stereotyped behaviors persisting on day 1 after the last injection, also with ataxia development.
Fig. 2. The effect of 4-day ICV ouabain administration to C57Bl/6 mice (n = 5) on motor activity (A) and IAlt (B) values acquired from the 20-minute open field test.
The data are presented as mean ± SEM; *p < 0.05.
Effects of ouabain on catalytic activity of the Na+/K+-ATPase in the mouse brain
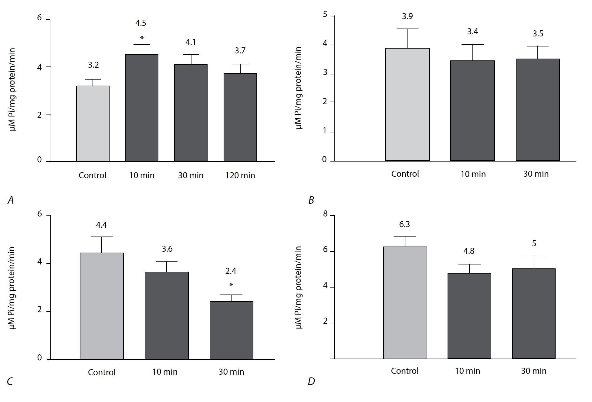
To evaluate the effects of ouabain on the CNS of C57Bl/6 mice, it is necessary to determine how the dose administered via ICV affects the catalytic activity of the Na+/K+-ATPase in various parts of the animal brain. Na+/K+-ATPase activity was measured in a crude synaptosomal fraction of the striatum, hippocampus, brainstem, and cerebellum in the control group and 10 and 30 minutes after ouabain injection.
The Na+/K+-ATPase activity measured at 10 minutes after ouabain injection in the synaptosomal fraction of the animal striatum showed a 1.4-fold increase (p < 0.05). There was no significant difference in activity levels at 30 minutes after the injection compared with the control group (Fig. 3, А). 5 mM ouabain-resistant Na+/K+- ATPase activity was 4.1 µM Pi/mg protein/min.
Na+/K+-ATPase activity in the synaptosomal fraction derived from the hippocampus at 10 and 30 minutes after ouabain injection was not significantly different from the control group (Fig. 3, В). The enzyme activity resistant to inhibition by 5 Mm ouabain was 4.1 µM Pi/mg protein/min.
Activity of Na+/K+-ATPase in the synaptosomal fraction derived from the animal brainstem measured at 10 minutes after ouabain administration was not significantly different from the control. Activity level measured at 30 minutes after the administration showed a 1.8-fold decrease (Fig. 3, С; p < 0.05). The enzyme activity resistant to inhibition by 5 Mm ouabain was 5 µM Pi/mg protein/min.
Fig. 3. The ouabain effects on Na+/K+-ATPase activity in the synaptosomal fraction derived from the striatum (А), hippocampus (В), brainstem (С), and cerebellum (D) in C57Bl/6 mice (n = 5) at 10 and 30 minutes after the ICV injection into a lateral cerebral ventricle.
The data are presented as mean ± SEM; *p < 0.05.
Based on the data obtained, we may conclude that ICV injection of 1.5 µL of 50 µM ouabain into the lateral cerebral ventricle results in a short-term increase of Na+/K+-ATPase activity levels in striatum at 10 minutes after the injection and a decrease in enzyme activity in the animal brainstem at 30 minutes after the injection.
Effects of ouabain on activation of intracellular signaling kinases and on protein content in mouse striatum
Earlier studies show that a single ICV injection of 50 µM ouabain induces Akt and ERK1/2 activation [16]. Primary cerebral cortex neuron culture assays proved that long-term exposure to ouabain (6–18 h) induces the inactivation of another MAP-kinase: JNK [7]. To find out the effects of multiple ICV ouabain injections on the activation of intracellular signaling pathways associated with dopamine receptors and with earlier-studied effects of ouabain, the activation of Akt, ERK1/2 and JNK kinases after once daily 4-day administration of 50 µM ouabain in the animal striatum was evaluated. The analyses were performed on day 5 and 24 hours after the last ouabain administration. Activation of the kinases was evaluated by comparing the ratio of phosphorylated kinase level to the level of its nonactivated form in the controls and the ouabain-treated animals using Western blotting.
Once daily 4-day 50 µM ouabain administration resulted in a decrease of Akt activationin the animal striatum (p < 0.05) measured 24 hours after the last injection by 62.2% compared with the control group (Fig. 4, А). At the same time, ERK1/2 and JNK activationcompared to the controls did not change (Fig. 4, В, С). Based on the data obtained, we can conclude that the long-term effects of ouabain do not include alterations in ERK1/2 and JNK MAP kinases activation. Still, it is possible to assume that, as a result of the treatment, intracellular signaling pathways switch to a “slow” response to activation of dopamine receptors leading to Akt kinase inactivation [34].
Fig. 4. The effects of once daily 4-day administration of 50 µM ouabain on Akt (А), ERK1/2 (В), and JNK (С) activation in the C57Bl/6 mice striatum measured 24 hours after the last injection.
The data are presented as mean ± SEM; *p < 0.05. Under the charts representative immunoreactive bands are presented.
Data obtained from the primary rat neuron cultures show that ouabain can reduce the levels of NMDA-receptor subunits (NR2B) [35]. It was hypothesized that multiple ouabain injections may alter Na+/K+-ATPase levels along with the levels of NMDA-receptor interacting with this enzyme. To check this hypothesis, we evaluated the impact of ICV ouabain injection on the levels of α1 and α3 isoforms in Na+/K+- ATPase α subunit and on the levels of NR2B subunits in NMDA-receptors in the striatum of mice.
Multiple injections of ouabain did not affect the le- vels of α1 and α3 isoforms in Na+/K+-ATPase α subunit (Fig. 5, А, В). NR2B subunit levels in NMDA-receptors in the mouse striatum measured in the ouabain group 24 hours after the last injection decreased by 37.4% (P < .05) compared with the controls (Fig. 5, С).
Fig. 5. The effect of once daily 4-day administration of 50 µM ouabain on the levels of α1 (А) and α3 (B) isoforms in α subunit of Na+/K+-ATPase and the levels of NR2B subunits in NMDA-receptors (C) in the mice's striatum measured 24 hours after the last injection.
The data are presented as mean ± SEM; *p < 0.05. Under the charts representative immunoreactive bands are presented.
Fig. 6. The effects of once-daily 4-day administration of 50 µM ouabain on the levels of Bak (А), Bax (В), Bcl-2 (С), Bcl-xL (D) proteins in the C57Bl/6 mouse striatum measured 24 hours after the last injection.
The data are presented as mean ± SEM; *p < 0.05. Under the charts representative immunoreactive bands are presented.
Discussion
To assess the body balance and fine motor skills, the ladder rung walking test and the beam balance test were used. In both tests the ouabain-treated animals made significantly more errors and needed more time to complete the tests compared with the controls. These findings may indicate that long-term administration of ouabain may impair balance and fine motor skills. These tests are used to assess a wide range of motor dysfunctions in PD animal models [36, 37]. A single ouabain injection in rodents has been already shown to result in mania-like behavior [16]. However, these kinds of deficits were not observed in animal models of mania [38], which suggests the occurrence of functional or organic deficits in the dopaminergic system in response to multiple injections of ouabain in a non-toxic concentration.
As a single ouabain injection resulted in an increase of both motor activity and stereotypic behaviors induced by the activation of D2-mediated intracellular signaling pathways [16], we studied the effect on fine motor skills and motor function of the animals, and on activation of dopamine-mediated intracellular signaling pathways in 4-day ICV ouabain treatment. The motor activity and stereotypic behavior were evaluated in the open field test 24 hours after the last ouabain administration, and were more pronounced than the corresponding criteria in the control group. These effects did not emerge after a single ouabain injection [16].
There are studies indicating that lower concentrations of CTS can cause increased Na+/K+-ATPase activity.[3, 4] It has been shown that the Na+/K+-ATPase is present in inactive tetrameric complexes on the cell membrane and ouabain binding to one of the enzymes promotes the breakdown of this complex [4]. The breakdown of the tetrameric complex results in enzyme release and activation, increasing the total effective Na+/K+-ATPase activity in the cell. The increase of effective Na+/K+-ATPase activity in striatum registered at 10 minutes after ICV ouabain injection suggests the penetration of a low ouabain dose into the striatum causing alterations in the signaling function of the Na+/K+-ATPase, without reducing its activity. Increase of enzyme activity might be mediated by other mechanisms, such as protein recruitment into the cell membrane. On the contrary, decreased enzyme activity in the brainstem observed at 30 minutes after the injection implies higher ouabain concentrations in this part of the brain. However, it is impossible to specify which concentrations of CTS reach certain parts of the brain without measuring its levels in the brain samples using mass spectrometry. It could be suggested that similar effects in the human brain would appear with substantially lower CTS concentrations than the ones used in this experiment because the Na+/K+-ATPase α subunit α1, α2, and α3 isoforms in humans are by 1-2 orders of magnitude more sensitive to ouabain than in mice (based on the results obtained in various studies) [39, 40].
Based on increased Na+/K+-ATPase activity in the striatum, we can assume that ouabain reaches this part of the brain in low concentrations following administration, and affects the Na+/K+-ATPase signaling function. It is known that mania-like behavior in mice induced by a single ouabain injection is associated with ERK 1/2 and Akt kinase activation [16] and that activation of these pathways is mediated by D2 dopamine receptors. We can suggest that decreased Akt activation followed by GSK3β-kinase activation occurs due to the activation of a slower pathway regulated by β-arrestin [34].
Higher concentrations of CTS can cause nonspecific cell death by activating apoptotic signaling pathways.[41] To exclude this process, we assessed the antiapo- ptotic (Bcl-2, Bcl-xL) and proapoptotic (Bak, Bax) protein levels in the mouse striatum. The absence of significant alterations in the protein levels indicates that CTS concentrations used in this study did not activate the mitochondrial apoptosis pathway.
The reduced levels of the NMDA-receptor NR2B subunit in the mouse striatum after 4-day administration of 50 µM ouabain correspond to the data obtained earlier using primary cultures of rat cerebellum cells [35]. This effect may explain earlier findings made by other researchers, which demonstrated an ouabain-induced decline in spatial memory in rats [15], because NR2B subunits are known to play an important role in memory formation [42, 43]. The lack of change in Na+/K+- ATPase α1 and α3 isoform levels indicates that the long-term physiological effects of ouabain are not associated with alterations in total Na+/K+-ATPase quantity.
Conclusion
Once daily 4-day aadministration of 50 µM ouabain in C57Bl/6 mice causes hyperlocomotion which persists on day 5 of the study and is associated with impaired motor coordination. The behavior alterations observed are caused by altered dopaminergic transmission, presumably accompanied by the activation of a slower β-arrestin pathway and by reduced Na+/K+-ATPase activity in the brainstem. At the same time, Na+/K+- ATPase activity increases in the striatum.
The results presented in this study show that long-term exposure of the CNS Na+/K+-ATPase to CTS causes dopaminergic system dysfunction, and suggest the possibility of managing dopaminergic disorders via pharmacological regulation of the Na+/K+-ATPase.
Ethics approval. Authors confirm compliance with institutional and national standards for the use of laboratory animals in accordance with «Consensus Author Guidelines for Animal Use» (IAVES, 23 July 2010). The research protocol was approved by the Ethics Committee of the St. Petersburg State University (protocol No. 131-03-1, March 25, 2019).
Source of funding. The study was supported by grant No. 22-75-10131 from the Russian Science Foundation, https://rscf.ru/project/22-75-10131/, and grant No. 94030300 from Saint Petersburg State University. All research conducted on animals was performed in the vivarium of the Saint Petersburg State University Resource Center.
Conflict of interest. The authors declare no apparent or potential conflicts of interest related to the publication of this article.
About the authors
Yulia A. Timoshina
Lomonosov Moscow State University; Research Center of Neurology
Email: july.timoschina@yandex.ru
ORCID iD: 0000-0002-0546-8767
Rogneda B. Kazanskaya
Saint Petersburg State University; Research Center of Neurology
Email: st059046@student.spbu.ru
ORCID iD: 0000-0002-2194-6749
Postgraduate Student, Faculty of Biology, Saint Petersburg State University; Research Laboratory Assistant, Laboratory of Experimental and Translational Neurochemistry, Brain Science Institute, Research Center of Neurology
Russian Federation, St. Petersburg; MoscowVladislav A. Zavialov
Saint Petersburg State University
Email: vladislavletsgo@outlook.com
ORCID iD: 0009-0000-6576-3373
Graduate Student, Laboratory Assistant, Laboratory of Neurobiology and Molecular Pharmacology, Institute of Translational Biomedicine
Russian Federation, St. PetersburgAnna B. Volnova
Saint Petersburg State University
Email: a.volnova@spbu.ru
ORCID iD: 0000-0003-0724-887X
D. Sci. (Biol.), Senior Researcher, Department of General Physiology, Biolodical Department
Russian Federation, St. PetersburgAlexander V. Latanov
Lomonosov Moscow State University
Email: latanov@neurobiology.ru
ORCID iD: 0000-0003-2729-4013
D. Sci. (Biol.), Prof., Head, Department of Higher Nervous Activity, Faculty of Biology
Russian Federation, MoscowTatiana N. Fedorova
Research Center of Neurology
Email: tnf51@bk.ru
ORCID iD: 0000-0002-0483-1640
D. Sci. (Biol.), Head, Laboratory of Experimental and Translational Neurochemistry, Brain Science Institute
Russian Federation, MoscowRaul R. Gainetdinov
Saint Petersburg State University
Email: gainetdinov.raul@gmail.com
ORCID iD: 0000-0003-2951-6038
Cand. Sci. (Med.), Head, Laboratory of Neurobiology and Molecular Pharmacology, Scientific Director, Clinic of High Medical Technologies named after N.I. Pirogov, Director, Institute of Translational Biomedicine
Russian Federation, St. PetersburgAlexander V. Lopachev
Saint Petersburg State University; Research Center of Neurology
Author for correspondence.
Email: lopachev@neurology.ru
ORCID iD: 0000-0002-5688-3899
Cand. Sci. (Biol.), Researcher, Laboratory of Experimental and Translational Neurochemistry, Brain Science Institute, Research Center of Neurology; Researcher, Laboratory of Neurobiology and Molecular Pharmacology, Saint Petersburg State University
Russian Federation, St. Petersburg; MoscowReferences
- Ogawa H., Shinoda T., Cornelius F., Toyoshima C. Crystal structure of the sodium-potassium pump (Na+,K+-ATPase) with bound potassium and ouabain. Proc. Natl. Acad. Sci. USA. 2009;106:13742–13747. doi: 10.1073/pnas.0907054106
- Лопачев А.В., Лопачева О.М., Никифорова К.А. и др. Сравнительное действие кардиотонических стероидов на внутриклеточные процессы в корковых нейронах крыс. Биохимия. 2018;83:140–151. Lopachev A.V., Lopacheva O.M., Nikiforova K.A. Comparative action of cardiotonic steroids on intracellular processes in rat cortical neurons. Biochemistry. 2018;83:140–151. doi: 10.1134/S0006297918020062
- Тверской А.М., Сидоренко С.В., Климанова Е.А. и др. Влияние уабаина на пролиферацию эндотелиальных клеток человека коррелирует с активностью Na+,K+-АТФазы и внутриклеточным соотношением Na+ и K+. Биохимия. 2016;81:876–883. Tverskoi A.M., Sidorenko S.V., Klimanova E.A. et al. Effects of ouabain on proliferation of human endothelial cells correlate with Na+,K+-ATPase activity and intracellular ratio of Na+ and K. Biochemistry. 2016;81:876–883. doi: 10.1134/S0006297916080083
- Song H., Karashima E., Hamlyn J.M., Blaustein M.P. Ouabain-digoxin antagonism in rat arteries and neurones. J. Physiol. 2014;592:941–969. doi: 10.1113/jphysicalol.2013.266866
- Lingrel J.B., Argüello J.M., Van Huysse J., Kuntzweiler T.A. Cation and cardiac glycoside binding sites of the Na,K-ATPase. Ann. N. Y. Acad. Sci. 1997;834:194–206. doi: 10.1111/j.1749-6632.1997.tb52251.x
- McGrail K.M., Phillips J.M., Sweadner K.J. Immunofluorescent localization of three Na,K-ATPase isozymes in the rat central nervous system: both neurons and glia can express more than one Na,K-ATPase. J. Neurosci. 1991;11:381–391. doi: 10.1523/JNEUROSCI.11-02-00381.1991
- Лопачев А.В., Лопачева О.М., Осипова Е.А. и др. Индуцированные уабаином изменения фосфорилирования MAP-киназы в первичной культуре клеток мозжечка крыс. Биохимическая функция клетки. 2016;34:367–377. Lopachev A.V., Lopacheva O.M., Osipova E.A. et al. Ouabain-induced changes in MAP kinase phosphorylation in primary culture of rat cerebellar cells. Cell Biochem. Funct. 2016;34: 367–377. doi: 10.1002/cbf.3199
- Антонов С.М., Кривой И.И., Драбкина Т.М. и др. Нейропротекторный эффект экспрессии уабаина и пептида Bcl-2 при гиперактивации NMDA-рецепторов в нейронах коры головного мозга крыс in vitro. Доклады биологических наук. 2009;426:207–209. Antonov S.M., Krivoi I.I., Drabkina T.M. doi: 10.1134/s0012496609030041
- Sibarov D.A., Bolshakov A.E., Abushik P.A. et al. Na+,K+-ATPase functionally interacts with the plasma membrane Na+,Ca2+ exchanger to prevent Ca2+ overload and neuronal apoptosis in excitotoxic stress. J. Pharmacol. Exp. Ther. 2012;343(3):596–607. doi: 10.1124/jpet.112.198341
- Kapelios C.J., Lund L.H., Benson L. et al. Digoxin use in contemporary heart failure with reduced ejection fraction: an analysis from the Swedish Heart Failure Registry. Eur. Heart J. Cardiovasc. Pharmacother. 2022;8:756–767. doi: 10.1093/ehjcvp/pvab079
- Bagrov A.Y., Shapiro J.I., Fedorova O.V. Endogenous cardiotonic steroids: physiology, pharmacology, and novel therapeutic targets. Pharmacol. Rev. 2009;61:9–38. doi: 10.1124/pr.108.000711
- el-Mallakh R.S., Hedges S., Casey D. Digoxin encephalopathy presenting as mood disturbance. J. Clin. Psychopharmacol. 1995;15:82–83. doi: 10.1097/00004714-199502000-00013
- Piemonti L., Monti P., Allavena P. et al. Glucocorticoids affect human dendritic cell differentiation and maturation. J. Immunol. 1999;162:6473–6481.
- el-Mallakh R.S., Harrison L.T., Li R.
- Valvassori S.S., Dal-Pont G.C., Resende W.R. et al. Validation of the animal model of bipolar disorder induced by Ouabain: face, construct and predictive perspectives. Transl. Psychiatry. 2019;9:158. doi: 10.1038/s41398-019-0494-6
- Lopachev A., Volnova A., Evdokimenko A. et al. Intracerebroventricular injection of ouabain causes mania-like behavior in mice through D2 receptor activation. Sci. Rep. 2019;9:15627. doi: 10.1038/s41598-019-52058-z
- Kurup R.K., Kurup P.A. Hypothalamic digoxin-mediated model for Parkinson’s disease. Int. J. Neurosci. 2003;113:515–536. doi: 10.1080/00207450390162263
- Sun Y., Dong Z., Khodabakhsh H.
- Lichtstein D., Ilani A., Rosen H. et al. Na , K -ATPase signaling and bipolar disorder. Int. J. Mol. Sci. 2018;19(8):2314. doi: 10.3390/ijms19082314
- Kulich S.M., Chu C.T. Sustained extracellular signal-regulated kinase activation by 6-hydroxydopamine: implications for Parkinson’s disease. J. Neurochem. 2001;77(4):1058–1066. doi: 10.1046/j.1471-4159.2001.00304.x
- Fu J.F., Klyuzhin I., McKenzie J. et al. Joint pattern analysis applied to PET DAT and VMAT2 imaging reveals new insights into Parkinson’s disease induced presynaptic alterations. Neuroimage Clin. 2019;23:101856. doi: 10.1016/j.nicl.2019.101856
- Gustafsson H., Nordström A., Nordström P. Depression and subsequent risk of Parkinson disease: A nationwide cohort study. Neurology. 2015;84:2422–2429. doi: 10.1212/WNL.0000000000001684
- Huang M.H., Cheng C.M., Huang K.L. et al. Bipolar disorder and risk of Parkinson disease: A nationwide longitudinal study. Neurology. 2019;92:e2735–e2742. doi: 10.1212/WNL.0000000000007649
- Faustino P.R., Duarte G.S., Chendo I. et al. Risk of developing Parkinson disease in bipolar disorder: a systematic review and meta-analysis. JAMA Neurol. 2020;77:192–198. doi: 10.1001/jamaneurol.2019.3446
- Fan H.C., Chang Y.K., Tsai J.D. et al. The association between Parkinson’s disease and attention-deficit hyperactivity disorder. Cell Transplant. 2020;29:963689720947416. doi: 10.1177/0963689720947416
- Mulvihill K.G. Presynaptic regulation of dopamine release: role of the DAT and VMAT2 transporters. Neurochem. Int. 2019;122:94–105. doi: 10.1016/j.neuint.2018.11.004
- Goldstein D.S., Sullivan P., Holmes C. et al. Determinants of buildup of the toxic dopamine metabolite DOPAL in Parkinson’s disease. J. Neurochem. 2013;126:591–603. doi: 10.1111/jnc.12345
- Sbodio J.I., Snyder S.H., Paul B.D. Redox mechanisms in neurodegeneration: from disease outcomes to therapeutic opportunities. Antioxid. Redox Signal. 2019;30:1450–1499. doi: 10.1089/ars.2017.7321
- Ng J., Zhen J., Meyer E. et al. Dopamine transporter deficiency syndrome: phenotypic spectrum from infancy to adulthood. Brain. 2014;137:1107–1119. doi: 10.1093/brain/awu022
- Jennings D., Siderowf A., Stern M. et al. Conversion to Parkinson disease in the PARS hyposmic and dopamine transporter-deficit prodromal cohort. JAMA Neurol. 2017;74:933–940. doi: 10.1001/jamaneurol.2017.0985
- Pregeljc D., Teodorescu-Perijoc D., Vianello R. et al. How important is the use of cocaine and amphetamines in the development of Parkinson disease? A computational study. Neurotox. Res. 2020;37:724–731. doi: 10.1007/s12640-019-00149-0
- Ferreira C., Almeida C., Tenreiro S., Quintas A. Neuroprotection or neurotoxicity of illicit drugs on Parkinson’s disease. Life. 2020;10(6):86. doi: 10.3390/life10060086
- Kazanskaya R.B., Lopachev A.V., Fedorova T.N. . A low-cost and customizable alternative for commercial implantable cannula for intracerebral administration in mice. HardwareX. 2020;8:e00120. doi:
- Beaulieu J.M., Gainetdinov R.R. The physiology, signaling, and pharmacology of dopamine receptors. Pharmacol. Rev. 2011;63:182–217. doi: 10.1124/pr.110.002642
- Akkuratov E.E., Lopacheva O.M., Kruusmägi M. et al. Functional interaction between Na/K-ATPase and NMDA receptor in cerebellar neurons. Mol. Neurobiol. 2015;52:1726–1734. doi: 10.1007/s12035-014-8975-3
- Metz G.A., Whishaw I.Q. The ladder rung walking task: a scoring system and its practical application. J. Vis. Exp. 2009;(28):1204. doi: 10.3791/1204
- Prasad E.M., Hung S.Y. Behavioral tests in neurotoxin-induced animal models of Parkinson’s disease. Antioxid. Redox Signal. 2020;9:1007. doi: 10.3390/antiox9101007
- Young J.W., Henry B.L., Geyer M.A. Predictive animal models of mania: hits, misses and future directions. Br. J. Pharmacol. 2011;164:1263–1284. doi: 10.1111/j.1476-5381.2011.01318.x
- Wang J., Velotta J.B., McDonough A.A., Farley R.A. All human Na+-K+-ATPase alpha-subunit isoforms have a similar affinity for cardiac glycosides. Am. J. Physiol. Cell Physiol. 2001;281:C1336–C1343. doi: 10.1152/ajpcell.2001.281.4.C1336
- Gable M.E., Ellis L., Fedorova O.V. . Comparison of digitalis sensitivities of Na
- Kulich S.M., Chu C.T. Sustained extracellular signal-regulated kinase activation by 6-hydroxydopamine: implications for Parkinson’s disease. J. Neurochem. 2001;77:1058–1066. doi: 10.1046/j.1471-4159.2001.00304.x
- Zhao M.G., Toyoda H., Lee Y.S. et al. Roles of NMDA NR2B subtype receptor in prefrontal long-term potentiation and contextual fear memory. Neuron. 2005;47:859–872. doi: 10.1016/j.neuron.2005.08.014
- Monaco S.A., Gulchina Y., Gao W.J. NR2B subunit in the prefrontal cortex: a double-edged sword for working memory function and psychiatric disorders. Neurosci. Biobehav. Rev. 2015;56:127–138. doi: 10.1016/j.neubiorev.2015.06.022











