Clinical markers for unfavorable course of multiple sclerosis
- Authors: Matrosova M.S.1, Belskaya G.N.1, Bryukhov V.V.1, Popova E.V.2,3, Krotenkova M.V.1
-
Affiliations:
- Research Center of Neurology
- City Clinical Hospital No. 24, Moscow
- Pirogov Russian National Research Medical University
- Issue: Vol 17, No 3 (2023)
- Pages: 41-48
- Section: Original articles
- Submitted: 05.05.2023
- Accepted: 31.05.2023
- Published: 29.09.2023
- URL: https://annaly-nevrologii.com/pathID/article/view/985
- DOI: https://doi.org/10.54101/ACEN.2023.3.5
- ID: 985
Cite item
Full Text
Abstract
Objective. To study possible clinical markers associated with the unfavorable course of multiple sclerosis and its transition to a progressive subtype.
Materials and methods. This prospective study included healthy volunteers and patients with relapsing-remitting multiple sclerosis (RRMS), secondary progressive multiple sclerosis (SPMS), primary progressive multiple sclerosis (PPMS). For a comprehensive clinical evaluation, the participants completed the Timed 25-Foot Walk Test (T25-FW), Nine-Hole Peg Test (9-HPT), Symbol Digit Modalities Test (SDMT), Fatigue test, and MSProDiscuss questionnaires. Then we compared the results between the groups.
Results. We found significant differences between the groups in regard to most of the tests. Furthermore, we proposed a composite clinical score (CCS) based on T25-FW, SDMT, and 9-HPT results (for both hands).
Discussion. Our CCS can be a useful clinical tool to determine the most likely course of multiple sclerosis at a certain timepoint.
Full Text
Введение
Несмотря на тот факт, что рассеянный склероз (РС) является одним из наиболее распространённых и активно изучаемых заболеваний центральной нервной системы, не существует чётких критериев перехода ремиттирующего РС (РРС) во вторично-прогрессирующий РС (ВПРС) [1–4]. Прогрессирование заболевания устанавливается на основании клинической картины, стойкого нарастания неврологического дефицита, что характеризуется повышением балла по расширенной шкале оценки инвалидности EDSS (Expanded Disability Status Scale) вне связи с обострением заболевания, в течение минимум 6 мес от появления неврологических нарушений [5, 6]. Тем не менее обострения могут встречаться и при ВПРС, а шкала EDSS больше связана со способностью пациента к передвижению и самообслуживанию, но плохо учитывает функцию верхних конечностей и когнитивную деятельность, что также может затруднять диагностику ВПРС [7, 8]. Это приводит к тому, что в стандартной клинической практике диагноз ВПРС ставится чаще всего ретроспективно, не ранее чем через 12 мес от его начала [6, 9].
В клинической практике зачастую используются дополнительные клинические тесты, позволяющие предположить наличие прогрессирования заболевания точнее, чем шкала EDSS [5, 8]: тест оценки времени прохождения 7,62 м, или 25 футов (T25-FW) — для оценки функций нижних конечностей, тест с 9 отверстиями (9-HPT) — для оценки функции верхних конечностей и мелкой моторики, а также тест на сопоставление символов и цифр (Symbol-Digit Modality Test — SDMT), тест на быстрый устный счёт (Paced Auditory Serial Addition Test — PASAT), которые выявляют снижение когнитивных функций [6, 8, 11, 12]. T25-FW, 9-HPT и PASAT являются частью составной функциональной шкалы при РС, балл по которой рассчитывается как сумма средних показателей времени выполнения первых двух тестов и количества правильных ответов PASAT, делённая на 3 [13]. PASAT достаточно сложен для выполнения, занимает много времени и требует подготовки, в то время как SDMT достаточно прост в выполнении и показал хороший результат в выявлении прогрессирования когнитивного дефицита даже у педиатрических пациентов [12, 14, 15].
Пациенты с РС очень часто жалуются на общую слабость и повышенную утомляемость, что также более характерно для ВПРС, поэтому существуют анкеты для их выявления — шкала оценки утомлённости (Fatigue Impact Scale, Fatigue) и её вариации [16, 17]. Относительно недавно была разработана онлайн-анкета MSProDiscuss (Multiple Sclerosis Progression Discussion Tool), которая рассчитывает риск развития прогрессирования РС как низкий, средний или высокий, опираясь на возраст пациента, балл EDSS, клиническую и МРТ-картину, наблюдающуюся у пациента в течение последних 6 мес [18, 19].
Таким образом, несмотря на большое количество существующих тестов, рекомендованных для выявления прогрессирования РС, все они требуют длительного динамического контроля и комплексной оценки для подтверждения ухудшения неврологического статуса, в то время как ранняя диагностика прогрессирующего течения РС (ПРС) может быть крайне важна для пациента [20, 21]. Поиск возможных инструментов, позволяющих выявлять ВПРС на ранних стадиях, может сыграть важную роль в диагностике ПРС и способствовать своевременному переходу на более высокоэффективную терапию.
Цель исследования — изучение возможных клинических маркеров, ассоциированных с неблагоприятным течением РС и его переходом в прогрессирующую форму.
Материал и методы
Пациенты
Все пациенты были заранее осведомлены о предстоящем исследовании и подписали добровольное информированное согласие на его проведение. Протокол исследования одобрен локальным этическим комитетом ФГБНУ НЦН (протокол № 9-8/20 от 25.11.2020).
Общий объём исследуемой выборки составил 133 участника: 50 человек (из них 37 женщин) в возрасте 18–57 лет (здесь и далее: медиана [1-й; 3-й квартили] — 34 [27; 41]) были включены в группу РРС; 17 (из них 10 женщин) в возрасте 37–61 лет (46,0 [43, 0; 54, 0]) — в группу первично прогрессирующего РС (ППРС); 23 (из них 15 женщин) в возрасте 24–66 лет (49 [39; 55]) — в группу ВПРС; 43 (из них 31 женщина) в возрасте 23–58 лет (33 [27; 46]) — в контрольную группу. Испытуемые из группы контроля были сопоставимы по полу и возрасту с пациентами группы РРС, не имели жалоб со стороны центральной нервной системы и структурной патологии головного мозга при МРТ.
Критериями включения во все группы был возраст от 18 лет, для включения в основные группы, помимо этого, требовалось наличие установленного диагноза РС с уточнением типа течения заболевания.
Клиническая оценка
Для всех пациентов были известны возраст и балл по EDSS. Всеми испытуемыми были пройдены следующие тесты и шкалы:
- тест T25-FW для оценки функций нижних конечностей;
- тест 9-HPT, выполненный поочерёдно доминантной (9-HPT D) и недоминантной (9-HPT ND) руками, — для оценки функции верхних конечностей;
- тест SDMT — для оценки когнитивных функций;
- анкета MSProDiscuss — для оценки вероятности прогрессирования заболевания;
- анкета Fatigue — для оценки утомляемости.
Протокол МРТ
Всем испытуемым было проведено МРТ-исследование головного мозга на магнитно-резонансном томографе «Siemens Magnetom Prisma» с величиной магнитной индукции 3 Тл, оснащённом 64-канальной головной катушкой. МРТ-протокол включал в себя стандартные режимы Т2 и Т2-FLAIR (с подавлением МР-сигнала от свободной жидкости), а также дополнительный режим T1-MP2RAGE со следующими параметрами: TR/TE = 5000/2,98 мс, TI1/TI2 = 700/2500 мс, FA1/FA2 = 4°/5°, TF = 176, FOV = 256 мм, толщина среза 1,0 мм, размер вокселя 1,0 × 1,0 × 1,0 мм, ширина полосы пропускания 240 Гц/пиксель, TA = 8 мин 22 с.
На основе режима T1-MP2RAGE было осуществлено морфометрическое исследование. Сегментация головного мозга каждого пациента проводилась на основе режима Т1-MP2RAGE с использованием программы «Statistical Parametric Mapping» на базе MathLab. Объем серого и белого вещества для каждого пациента был рассчитан с помощью инструмента «Computational Anatomy Toolbox» [22]. Кроме того, отдельно был рассчитан объём подушек таламуса с двух сторон. Для анализа использовался относительный объём белого вещества (относительно всего интракраниального объёма) и относительный объём подушек таламуса (относительно объёма серого вещества).
Статистическая обработка
Статистический анализ проводился с применением программного пакета «SPSS Statistics v. 23.0» («IBM»).
Во всех случаях использовались двусторонние варианты статистических критериев. Нулевая гипотеза отвергалась при уровне значимости р < 0,05 (при апостериорных попарных сравнениях — при скорректированном уровне значимости рadj < 0,05). Тип распределения количественных показателей оценивали путём анализа частотных гистограмм. Для описания количественных переменных использовали медиану и квартили, а также среднее и стандартное отклонение (при нормальном распределении). Для описания категориаль-ных переменных использовали частоту и долю (в процентах).
Сравнение групп по количественным переменным проводили с помощью параметрических методов. Для сравнения 3 и более групп по количественным переменным с нормальным распределением использовали дисперсионный анализ (ANOVA) с апостериорными попарными сравнениями. При апостериорных попарных сравнениях для поправки на множественные сравнения применяли метод Бонферрони или Даннетта.
Связь между двумя количественными переменными или между категориальной и количественной переменной с поправкой на возраст оценивали с помощью общей линейной модели, между двумя категориальными переменными — с помощью множественной логистической регрессии.
Результаты
Группы значимо различались по всем оцениваемым клиническим характеристикам: баллу по шкалам EDSS и Fatigue, результатам тестов T25-FW, 9-HPT D, 9-HPT ND, SDMT, результатам опросника MSProDiscuss. После введения поправки на возраст выявленные различия сохраняли статистическую значимость.
Апостериорный анализ показал, что все группы при попарных сравнениях значимо отличались друг от друга по шкале EDSS. Различия по шкале Fatigue были значимыми между группами ВПРС и РРС, а также ВПРС и контроля. Различия результатов теста T25-FW оказались значимыми при всех попарных сравнениях групп, за исключением сравнения групп ППРС и ВПРС. Различия результатов тестов 9-HPT D, 9-HPT ND и SDMT были значимыми при всех попарных сравнениях, за исключением сравнения групп ППРС и ВПРС, а также сравнения групп РРС и контроля (рис. 1).
Рис. 1. Результаты оценки обследуемых по шкале EDSS (А), тесту T25-FW (B), тесту 9-HPT D (C), тесту 9-HPT ND (D), тесту SDMT (E); шкале Fatigue (F).
*р < 0,05. ° и ● — отдельные результаты измерений, выделяющиеся из общей выборки.
Fig. 1. Testing results: EDSS score (А), N25-FW test (B), 9-HPT D test (C), 9-HPT ND test (D), SDMT test (E); Fatigue Severity scale (F).
*р < 0,05. ° and ● stand for the outliers in overall population.
Несмотря на выявленные различия между группами, данные тесты не могут быть использованы по отдельности для выявления признаков прогрессирования РС, поскольку заболевание характеризуется вариабельностью клинической картины и может задействовать разные функциональные системы, что требует комплексной неврологической оценки [1]. В качестве инструмента для комплексной клинической оценки РС был создан объединённый клинический показатель (ОКП). Он учитывал результаты оценки когнитивного статуса (тест SDMT), двигательных функций верхних (тесты 9-HPT D и 9-HPT ND) и нижних (тест T25-FW) конечностей. При общей клинической оценке РС благоприятным вариантом считалось нахождение участника в группе РРС. Неблагоприятным течением считалось нахождение в группе ПРС, объединяющей пациентов с ППРС и ВПРС.
Для снятия ограничений, связанных с различиями единиц измерения вышеуказанных показателей, была проведена их стандартизация по формуле:
. (1)
Среднее значение и стандартное отклонение каждого показателя были рассчитаны для исследуемой выборки пациентов с РС, после чего были получены формулы стандартизации отдельных показателей и рассчитаны коэффициенты для каждого показателя.
Расчёт ОКП РС производился путём суммирования Z-значений отдельных показателей. Поскольку сравнения групп РРС и ПРС показали, что пациенты с ПРС имеют более высокие баллы тестов T25-FW, 9-HPT D, 9-HPT ND, но менее высокий балл SDMT, последний добавляли в формулу с инверсией знака:
ОКП РС (исходный расчёт) = ZT25-FW + Z9-HPT D + Z9-HPT ND – ZSDMT. (2)
Путём преобразования вышеуказанной формулы исходный расчёт ОКП приобрёл вид:
ОКП РС (исходный расчёт) = 0,168 × T25-FW (с) + 0,153 × 9-HPT D (с) + 0,102 × 9-HPT ND (с) – 0,075 × SDMT (число правильных ответов) – 3,935. (3)
Для облегчения интерпретации в итоговой формуле к показателю «ОКП РС (исходный расчёт)» прибавили коэффициент, который сместил порог к нулевому значению:
ОКП = ОКП РС (исходный расчёт) + 0,886. (4)
Путём преобразования итоговая формула расчета ОКП РС приобрела вид:
ОКП = 0,168 × T25-FW (с) + 0,153 × 9-HPT D (с) + 0,102 × 9-HPT ND (с) – 0,075 × SDMT (число правильных ответов) – 3,049. (5)
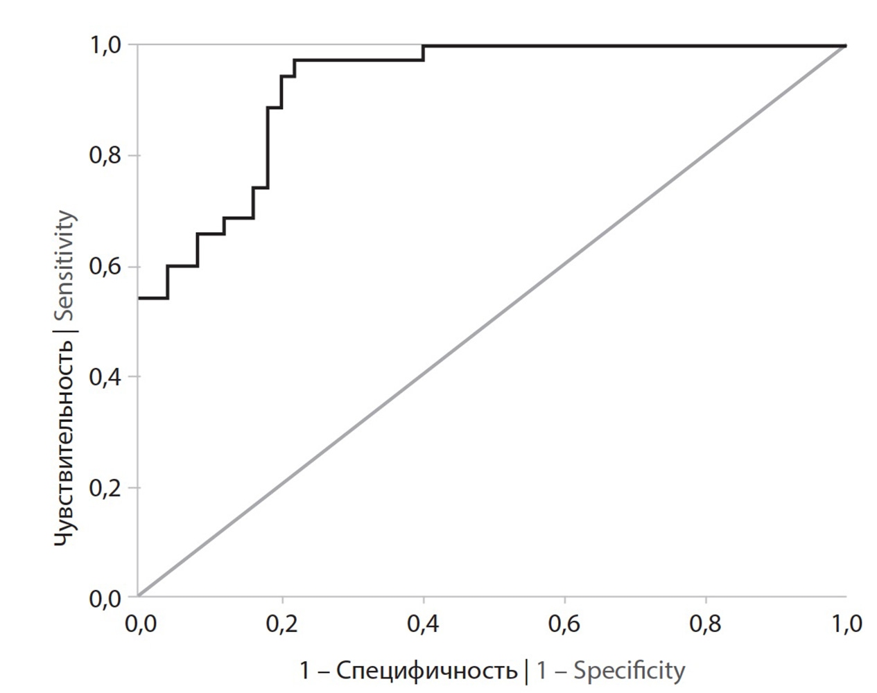
Для оценки возможностей использования ОКП РС в качестве маркера течения заболевания (РРС/ПРС) применяли метод ROC-анализа (рис. 2). Пороговое значение определяли по максимальному индексу Йодена, который рассчитывается как сумма чувствительности и специфичности минус 1. Оптимальное пороговое значение для показателя «ОКП РС» было определено на уровне 0,00 (вероятность попадания в группу ПРС повышается при значении показателя ≥ 0,00). Чувствительность и специфичность для этой точки составили 97,0% и 78,0% соответственно.
Рис. 2. ROC-кривая для объединённого клинического показателя РС.
Fig. 2. ROC curve: composite clinical score for the multiple sclerosis.
Площадь под кривой для ОКП РС оказалась большей, чем для большинства отдельных показателей, лежащих в основе ОКП РС (тестов 9-HPT D, 9-HPT ND и SDMT): 0,926 [0, 874; 0, 977]. Отличия ROC кривой от диагональной опорной линии были статистически значимыми (р < 0,001).
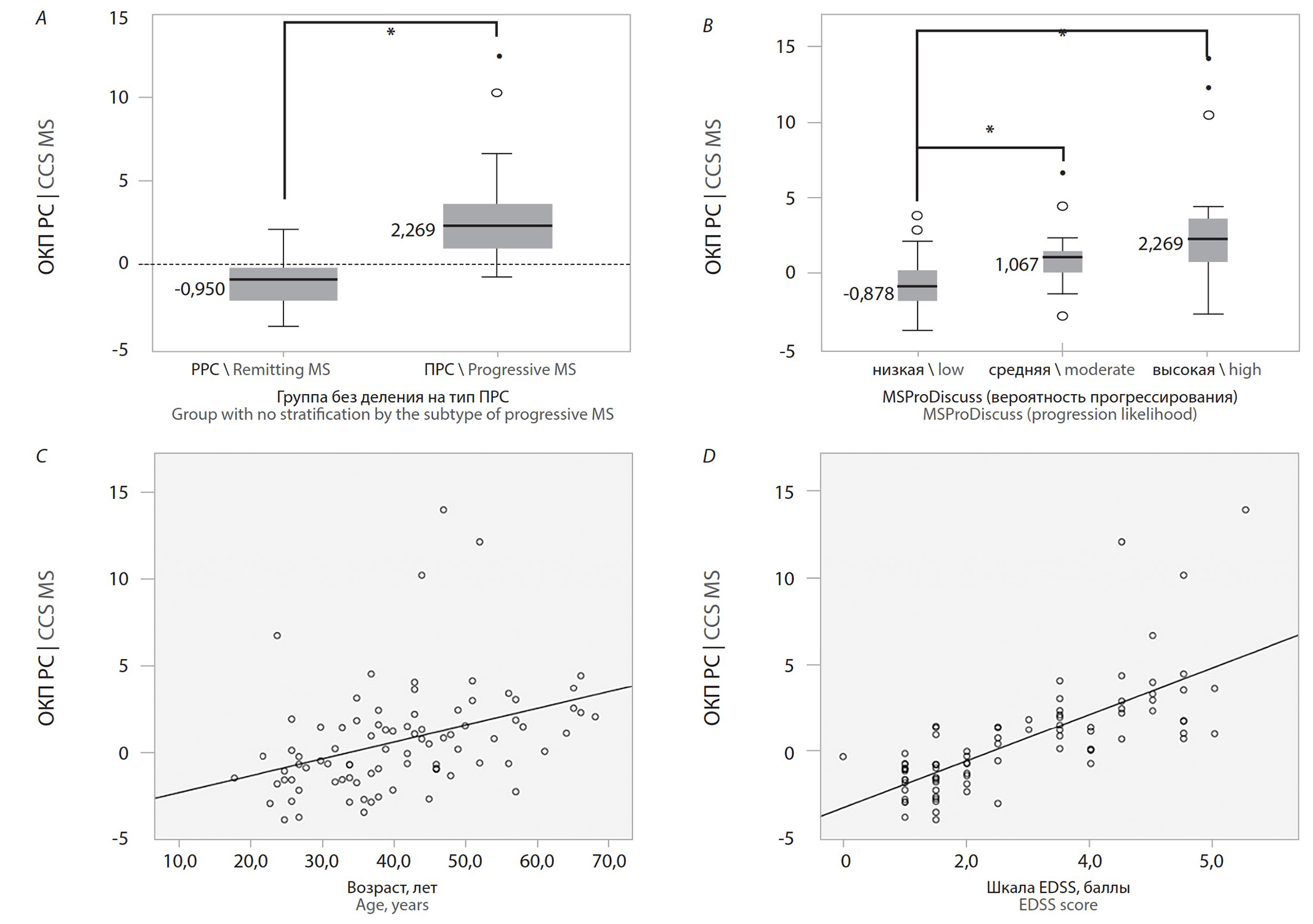
Медиана итогового ОКП у пациентов с РРС составила –0,95 [–2,14; –0,21] (диапазон значений –3,84–2,03). Медиана итогового ОКП у пациентов с ПРС составила 2,27 [0, 94; 3, 68] (диапазон значений –0,68–13,87) (рис. 3, A). При этом была выявлена связь с результатами опросника MSProDiscuss. Апостериорный анализ показал, что различия были значимы между низкой и средней, а также низкой и высокой вероятностью прогрессирования РС (рис. 3, B). Кроме того, ОКП РС оказался значимо связанным с возрастом пациентов (коэффициент корреляции Спирмена = 0,491; р < 0,001) и баллом по шкале EDSS (коэффициент корреляции Спирмена = 0,781; р < 0,001) (рис. 3, C, D).
Рис. 3. Различия ОКП РС между группами пациентов с РРС и ПРС (A), связь результата ОКП РС с вероятностью прогрессирования по шкале MSProDiscuss (B), возрастом пациентов (C) и баллом по шкале EDSS (D).
*р < 0,05; ° и ● (на верхних графиках) — отдельные результаты измерений, выделяющиеся из общей выборки; ° (на нижних графиках) — каждое отдельное измерение.
Fig. 3. Differences in CCS MS between the RRMS and PPMS groups (A). Correlation between CCS MS and probability of MS progression according to the MSProDiscuss score (B), patient's age (C), and EDSS score (D).
*р < 0.05; ° and ● stand for the outliers in overall population (upper charts)/every individual result (lower charts).
При сопоставлении с данными МРТ (рис. 4) выявленная корреляция ОКП с относительным объёмом белого вещества и относительным объёмом подушки таламуса оказалась статистически значимой (коэффициенты корреляции Спир-мена –0,476 и –0,236; p = 0,003 и p < 0,001 соответственно).
Рис. 4. Связь ОКП РС с относительным объёмом белого вещества (А) и с относительным объёмом подушки таламуса (В).
Fig. 4. CCS MS correlation with the relative volume of white matter (А) and with the relative volume of the pulvinar (В).
Обсуждение
Результаты выполнения клинических тестов ожидаемо показали значимые различия между группами, однако зачастую различий между группой РРС и группой контроля не выявлено, вероятно, по причине слабо выраженного неврологического дефицита у пациентов с РРС. При этом наименее существенные различия между группами продемонстрировала шкала Fatigue, что может быть связано с её субъективностью. Так, большую роль может играть снижение критики пациентов с РС к своему состоянию, и, наоборот, повышенная утомляемость испытуемых из группы контроля, большинство из которых являются лицами трудоспособного возраста, в связи с преимущественным выполнением теста в вечернее время. В связи с данным фактом шкала не была включена в расчёт ОКП.
Тест SDMT был выбран нами как более простой и специфический, по сравнению с PASAT, тест на оценку когнитивных нарушений. Кроме того, именно SDMT рекомендуется в качестве инструмента когнитивного мониторинга во многих клинических исследованиях [12, 23].
В нашем исследовании ROC-анализ показал, что ОКП может оказаться удобным и полезным инструментом для одномоментной оценки состояния пациентов с РС и определения наиболее вероятного типа течения заболевания в конкретный момент времени, однако он не может быть использован в качестве предиктора прогрессирования заболевания в будущем, поскольку для этого требуется проведение продольных исследований. Кроме того, важно учитывать, что исследование проводилось на небольшой выборке (50 пациентов с РРС и 40 пациентов с ПРС), что также может влиять на точность полученных коэффициентов в уравнении, поэтому необходимо проведение дальнейших исследований ОКП на большей выборке пациентов. Тем не менее сопоставимость результатов данной шкалы с результатами анкеты MSProDiscuss и корреляция с баллом по шкале оценки инвалидности EDSS позволяет судить о возможности применения показателя в клинической практике. При этом, чем ближе результат пациента к пороговому (которое было определено на уровне 0,00), тем осторожнее следует относиться к его интерпретации, поскольку нельзя исключить, что более высокие значения будут выявлены у пациентов с агрессивным РС, а также в период обострения, в связи с чем при обострении использовать показатель не рекомендуется [9]. Кроме того, достаточно сложная для запоминания и расчёта формула ОКП ограничивает его применение в стандартной клинической практике, в связи с чем представляется полезным разработать онлайн-калькулятор, позволяющий автоматически рассчитывать ОКП для каждого пациента.
Согласно данным литературы, помимо глобальной атрофии вещества головного мозга, характерной для ПРС, отдельное внимание уделяется оценке объёма таламуса, который является одной из первых структур, подвергающихся атрофическим изменениям при РС [24]. В связи с этим выявленная корреляция ОКП с данными морфометрии является показательной с точки зрения соответствия клинической оценки МРТ-признакам прогрессирования заболевания.
About the authors
Mariya S. Matrosova
Research Center of Neurology
Author for correspondence.
Email: matrosova@neurology.ru
ORCID iD: 0000-0003-4604-7288
SPIN-code: 4322-6488
radiologist, PhD student, Research Center of Neurology, Moscow, Russia
Russian Federation, MoscowGalina N. Belskaya
Research Center of Neurology
Email: belskaya@neurology.ru
ORCID iD: 0000-0001-9831-8970
D. Sci. (Med.), Professor, Head, Multidisciplinary clinical and diagnostic center, Research Center of Neurology, Moscow, Russia
Russian Federation, MoscowVasiliy V. Bryukhov
Research Center of Neurology
Email: abdomen@rambler.ru
ORCID iD: 0000-0002-1645-6526
SPIN-code: 6299-3604
Cand. Sci. (Med.), radiologist, senior researcher, Research Center of Neurology, Moscow, Russia
Russian Federation, MoscowEkaterina V. Popova
City Clinical Hospital No. 24, Moscow; Pirogov Russian National Research Medical University
Email: matrosova@neurology.ru
ORCID iD: 0000-0003-2676-452X
D. Sci. (Med.), Head, Multiple sclerosis сenter, City Clinical Hospital No. 24, Moscow, Russia; Assoc. Prof., Department of neurology, neurosurgery and medical genetics, Pirogov Russian National Research Medical University, Moscow, Russia
Russian Federation, Moscow; MoscowMarina V. Krotenkova
Research Center of Neurology
Email: krotenkova_mrt@mail.ru
ORCID iD: 0000-0003-3820-4554
SPIN-code: 9663-8828
D. Sci. (Med.), main researcher, Head, Department of radiology, Research Center of Neurology, Moscow, Russia
Russian Federation, MoscowReferences
- Захарова М.Н., Абрамова А.А., Аскарова Л.Ш. и др. Рассеянный склероз: вопросы диагностики и лечения. М.; 2018. Zakharova M.N., Abramova A.A., Askarova L.Sh. et al. Multiple sclerosis: issues of diagnosis and treatment. Moscow; 2018. doi: 10.25697/MM.2018.01.11
- Mahad D.H., Trapp B.D., Lassmann H. Pathological mechanisms in progressive multiple sclerosis. Lancet Neurol. 2015;14(2):183–193. doi: 10.1016/S1474-4422(14)70256-X
- Kutzelnigg A., Lassmann H. Pathology of multiple sclerosis and related inflammatory demyelinating diseases. Handb. Clin. Neurol. 2014;122:15–58. doi: 10.1016/B978-0-444-52001-2.00002-9
- Katz Sand I., Krieger S., Farrell C., Miller A.E. Diagnostic uncertainty during the transition to secondary progressive multiple sclerosis. Mult. Scler. 2014;20(12):1654–1657. doi: 10.1177/1352458514521517
- Kurtzke J.F. Rating neurologic impairment in multiple sclerosis. An expanded disability status scale (EDSS). Neurology. 1983;33(11):1444. doi: 10.1212/WNL.33.11.1444
- Хачанова Н.В., Бойко А.Н., Бахтиярова К.З. и др. Рекомендации экспертного совещания «Вторично-прогрессирующий рассеянный склероз: нерешенные вопросы и перспективы». Неврология, нейропсихиатрия, психосоматика. 2019;11(4):172–175. Khachanova N.V., Boyko A.N., Bakhtiyarova K.Z. et al. Recommendations from the Expert Meeting «Secondary progressive multiple sclerosis: unresolved issues and prospects». Neurology, Neuropsychiatry, Psychosomatics. 2019;11(4):172–175. doi: 10.14412/2074-2711-2019-4-172-175
- Rudick R.A., Polman C.H., Cohen J.A. et al. Assessing disability progression with the Multiple Sclerosis Functional Composite. Mult. Scler. 2009;15(8):984–997. doi: 10.1177/1352458509106212
- Meyer-Moock S., Maeurer Y.S., Feng M. et al. Systematic literature review and validity evaluation of the Expanded Disability Status Scale (EDSS) and the Multiple Sclerosis Functional Composite (MSFC) in patients with multiple sclerosis. BMC Neurol. 2014;14:58. doi: 10.1186/1471-2377-14-58
- Lublin F.D., Reingold S.C., Cohen J.A. et al. Defining the clinical course of multiple sclerosis: the 2013 revisions. Neurology. 2014;83(3):278–286. doi: 10.1212/WNL.0000000000000560
- Sikes E.M., Cederberg K.L., Sandroff B.M. et al. Quantitative Synthesis of Timed 25-Foot Walk Performance in Multiple Sclerosis. Arch. Phys. Med. Rehabil. 2020;101(3):524–534. doi: 10.1016/j.apmr.2019.08.488
- Benedict R.H., DeLuca J., Phillips G. et al. Validity of the Symbol Digit Modalities Test as a cognition performance outcome measure for multiple sclerosis. Mult. Scler. 2017;23(5):721–733. doi: 10.1177/1352458517690821
- Strober L., DeLuca J., Benedict R.H. et al. Symbol Digit Modalities Test: a valid clinical trial endpoint for measuring cognition in multiple sclerosis. Mult. Scler. 2019;25(13):1781–1790. doi: 10.1177/1352458518808204
- Fischer J.S., Rudick R.A., Cutter G.R., Reingold S.C. The Multiple Sclerosis Functional Composite Measure (MSFC): an integrated approach to MS clinical outcome assessment. National MS Society Clinical Outcomes Assessment Task Force. Mult. Scler. 1999;5(4):244–250. doi: 10.1177/135245859900500409
- Orbach R., Zhao Z., Wang Y.C. et al. Comparison of disease activity in SPMS and PPMS in the context of multicenter clinical trials. PLoS One. 2012;7(10):e45409. doi: 10.1371/journal.pone.0045409
- Brenton J.N., Koshiya H., Woolbright E., Goldman M.D. The Multiple Sclerosis Functional Composite and Symbol Digit Modalities Test as outcome measures in pediatric multiple sclerosis. Mult. Scler. J. Exp. Transl. Clin. 2019;5(2):2055217319846141. doi: 10.1177/2055217319846141
- Лащ Н.Ю., Бойко А.Н. Утомляемость при рассеянном склерозе и возможности ее коррекции. Неврология, нейропсихиатрия, психосоматика. 2016;8(1):82–85. Lashch N.Yu., Boiko A.N. Multiple sclerosis-related fatigue and possibilities of its correction. Neurology, neuropsychiatry, psychosomatics. 2016;8(1):82–85. doi: 10.14412/2074-2711-2016-1-82-85
- Beckerman H., Eijssen I.C., van Meeteren J. et al. Fatigue profiles in patients with multiple sclerosis are based on severity of fatigue and not on dimensions of fatigue. Sci. Rep. 2020;10:4167. doi: 10.1038/s41598-020-61076-1
- Ziemssen T., Piani-Meier D., Bennett B. et al. A physician-completed digital tool for evaluating disease progression (multiple sclerosis progression discussion tool): validation study. J. Med. Internet Res. 2020;22(2):e16932. doi: 10.2196/16932
- Волков А.И., Попова Е.В. Новые инструменты для раннего выявления прогрессирования рассеянного склероза. Опросник MSProDiscuss. Журнал неврологии и психиатрии им. С.С. Корсакова. Спецвыпуски. 2020;120(7–2):43–47. Volkov A.I., Popova E.V. New tools for early detection of multiple sclerosis progression: MSProDiscuss questionnaire. Zhurnal Nevrologii i Psikhiatrii imeni S.S. Korsakova. 2020;120(7–2):43–47. doi: 10.17116/jnevro202012007243
- Hamdy E., Talaat F., Ramadan I. et al. Diagnosing ‘transition’ to secondary progressive multiple sclerosis (SPMS): a step-by-step approach for clinicians. Mult. Scler. Relat. Disord. 2022;60:103718. doi: 10.1016/j.msard.2022.103718
- Симанив Т.О., Захарова М.Н. Сложность дифференциальной диагностики первично-прогрессирующего рассеянного склероза. Medica mente. 2018;4(1):29–32. Simaniv T.O., Zakharova M.N. Difficulty of differential diagnosis in primary-progressive multiple sclerosis. Medica Mente. 2018;4(1):29–32. doi: 10.25697/MM.2018.01.07
- Gaser C., Dahnke R., Thompson P.M. et al. Alzheimer’s disease neuroimaging initiative. CAT — a computational anatomy toolbox for the analysis of structural MRI data. bioRxiv. 2022.06.11.495736. doi: 10.1101/2022.06.11.495736
- Sumowski J.F., Benedict R., Enzinger C. et al. Cognition in multiple sclerosis: state of the field and priorities for the future. Neurology. 2018;90(6):278–288. doi: 10.1212/WNL.0000000000004977
- Кротенкова И.А., Брюхов В.В., Переседова А.В., Кротенкова М.В. Атрофия центральной нервной системы при рассеянном склерозе: данные МРТ-морфометрии. Журнал неврологии и психиатрии им. С.С. Корсакова. Спецвыпуски. 2014;114(10-2):50–56. Krotenkova I.A., Briukhov V.V., Peresedova A.V., Krotenkova M.V. Atrophy of the central nervous system in multiple sclerosis: MRI-morphometry results. Zhurnal Nevrologii i Psikhiatrii imeni S.S. Korsakova. 2014;114(10-2):50–56.









