Biochemical markers of neurodegeneration in patients with cerebral small vessel disease and Alzheimer's disease
- Authors: Dobrynina L.A.1, Tsypushtanova M.M.1, Shabalina А.A.1, Shamtieva K.V.1, Makarova A.G.1, Trubitsyna V.V.1, Bitsieva E.T.1, Byrochkina A.A.1, Geints A.A.2
-
Affiliations:
- Research Center of Neurology
- Lomonosov Moscow State University
- Issue: Vol 17, No 3 (2023)
- Pages: 21-30
- Section: Original articles
- Submitted: 12.05.2023
- Accepted: 14.06.2023
- Published: 29.09.2023
- URL: https://annaly-nevrologii.com/pathID/article/view/990
- DOI: https://doi.org/10.54101/ACEN.2023.3.3
- ID: 990
Cite item
Full Text
Abstract
Introduction. Cerebral small vessel disease (CSVD) as well as the Alzheimer's disease (AD) and their comorbidities are the most common causes of cognitive impairments (CIs).
Objective: to evaluate the predictive power of the biochemical neurodegeneration markers in patients with CSVD and AD.
Materials and methods. We assessed the following neurodegeneration markers in 68 patients with CSVD (61.0 ± 8.6 years; 60.3% males), 17 patients with AD (65.2 ± 8.3 years; 35.3% males), and 26 healthy volunteers (59.9 ± 6.7 years; 38.5% males): neuron-specific enolase (NSE), glial fibrillary acid protein (GFAP), neurofilament light polypeptide (NEFL) in blood (for all patients) and in cerebrospinal fluid (CSF; in patients with CSVD and AD). We assessed the predictive power of those markers with ROC analysis.
Results. As compared to the control group, serum GFAP in patients with CSVD showed its predictive power at 0.155 ng/ml (sensitivity 74%; specificity 70%). Serum NEFL > 0.0185 ng/ml (sensitivity 82%; specificity 96%) and NSE < 4.95 μg/ml (sensitivity 77%; specificity 71%) showed their predictive power in patients with AD. CSF GFAP > 1.03 ng/ml (sensitivity 84%; specificity 88%), CSF NSE < 19.10 μg/ml (sensitivity 88%; specificity 91%), serum NEFL < 0.021 ng/ml (sensitivity 71%; specificity 76%), serum NSE /CSF NSE ratio > 0.273 ng/ml (sensitivity 87%; specificity 88%) help differentiate CSVD from AD.
Conclusions. We found that serum GFAP can be a useful diagnostic marker in patients with CSVD, while serum NEFL and serum NSE can help identify the AD. In addition, CSF GFAP and CSF NSE as well as serum NEFL and serum NSE/CSF NSE can help differentiate CSVD from AD. We can use those markers in clinical and research practice to identify the vascular and neurodegenerative causes of CIs and their comorbidities, which is of a great importance in developing specific treatment and predicting the course of the disease.
Full Text
Введение
Церебральная микроангиопатия (ЦМА) и болезнь Альцгеймера (БА) являются ведущими причинами прогрессирующих когнитивных расстройств (КР) с развитием деменции в старшем и пожилом возрасте [1]. В последние десятилетия были предприняты значительные усилия мирового научного сообщества по созданию и валидации критериев диагностики ЦМА [2, 3] и БА [4, 5]. Стандартизированная диагностика заболеваний является облигатным условием для создания и оценки адекватности патогенетической терапии. Однако к настоящему времени стратегии контроля сосудистых факторов риска при ЦМА [2, 6] и применение препаратов, элиминирующих амилоидную нагрузку при БА [7], не принесли ощутимых результатов в сдерживании прогрессирования заболеваний и связанных с ними КР [8, 9].
Одной из возможных причин является развитие коморбидности ЦМА и БА. Диагностические критерии смешанных форм патологий не разработаны, а условия и механизмы их формирования нуждаются в уточнении. Актуальность данной проблемы повышается в связи с данными последних патологических исследований о том, что «чистые» формы ЦМА и БА уступают первенство смешанным, на долю которых приходится более 50% случаев аутопсий пациентов с деменцией [10–12]. Наиболее вероятно, что основным условием развития смешанных форм являются связанные с ЦМА механизмы повреждения гематоэнцефалического барьера (ГЭБ) с потерей нейроваскулярной сопряжённости, запускающие каскад патологических событий c иммунным воспалением и нейродегенерацией.
Поскольку повреждение сосудистой стенки с повышением проницаемости ГЭБ является признанным механизмом прогрессирования ЦМА [13, 14], можно предполагать, что биохимические маркеры астроцитарной реакции будут наиболее подходящими кандидатами для диагностики ЦМА, ассоциированной с нейродегенерацией. Основным признанным маркером активации астроглии является глиофибриллярный кислый белок (GFAP). Он высоко значим для функционирования астроцитов — поддержания ГЭБ, взаимодействия с нейронами и их защиты от повреждения [15, 16]. GFAP активно используется в качестве маркера нейротравмы [17], для дифференцирования форм демиелинизирующих заболеваний [18]. Установлены повышение GFAP при БА в крови [19] и цереброспинальной жидкости (ЦСЖ) [20], его связь с амилоидной нагрузкой в мозге и тяжестью КР [19, 21–26]. Показано, что при БА GFAP в плазме крови выше у пациентов с гиперинтенсивностью белого вещества (ГИБВ) (Fazecas (F) 2–3), чем без неё [19], имеет связь с распространённостью ГИБВ, наличием микрокровоизлияний, атрофией коры и повышением амилоидной нагрузки по позитронно-эмиссионной томографии [27]. Исследования GFAP при сосудистых заболеваниях единичны. Установлена связь сывороточного GFAP с тяжестью ишемического повреждения мозга [28, 29] и КР при ЦМА [30]. A. Huss и соавт. показали, что при ЦМА сывороточный GFAP значимо связан с КР и нарастанием плотности GFAP-иммунореактивных астроцитарных отростков в перивентрикулярном белом веществе, хотя его уровень ниже такого в ЦСЖ [30].
Другими потенциальными биохимическими маркерами ЦМА, ассоциированной с развитием БА, могут быть нейрон-специфическая энолаза (neuron-specific enolase, NSE) и лёгкие цепи нейрофиламентов (neurofilament light chain protein, NEFL). Результаты проведённых к настоящему времени исследований свидетельствуют о возможности использования их в качестве суррогатных маркеров нейродегенерации [31–34]. NSE является нейронным гликолитическим ферментом [31]. При БА повышение уровня NSE в сыворотке крови показало низкую специфичность [32], в отличие от ЦСЖ [32–34]. Исследования с оценкой NSE при ЦМА единичны. Однако ещё в конце ХХ в. A. Wallin и коллегами были получены данные, позволившие им сделать заключение о NSE в ЦСЖ как маркере хронической дегенерации нейронов при сосудистой деменции [35]. Позже была установлена связь повышения NSE в сыворотке крови пациентов ЦМА с тяжестью артериальной гипертензии (АГ) — основным фактором риска ЦМА [36], распространённостью ГИБВ [36, 37] и даже с субъективными КР и ГИБВ (F1–2) [37].
Лёгкие цепи нейрофиламентов (neurofilament light chain protein, NEFL) являются структурными белками нейронов [38]. При БА установлено повышение содержания NEFL в крови и ЦСЖ, коррелирующее с тяжестью КР, атрофией коры и гиппокампа [39]. Проспективное исследование F. de Wolf и соавт. установило предиктивные возможности NEFL при БА, повышение которых в крови выявлялось за 10 лет до развития деменции [40]. Сходные закономерности выявлены при ЦМА. В проспективном исследовании пациентов с ЦМА исходно высокий уровень NEFL в крови отражал не только общее снижение когнитивных функций, но и конверсию пациентов в деменцию, прогрессирование таких МРТ-признаков, как микрокровоизлияния и лакуны, но не ГИБВ [41]. Установлено значимое повышение уровня NEFL в сыворотке крови у пациентов с ЦМА и деменцией по сравнению с группой контроля [42]. В ряде исследований при ЦМА продемонстрирована корреляция повышенного уровня NEFL в ЦСЖ с тяжестью ГИБВ и атрофией на МРТ головного мозга [35, 43, 44]. Сравнительный анализ уровня NEFL в ЦСЖ у пациентов с деменцией вследствие БА, ЦМА, их смешанных форм и в контроле показал повышение уровня NEFL при всех типах деменции, но более значимое — при ЦМА и смешанной форме, по сравнению с изолированной БА [45]. Повышение уровня NEFL включено в биохимические диагностические критерии повышенной проницаемости ГЭБ при болезни Бинсвангера, наряду с коэффициентом альбумина и снижения индекса MMP-2 (matrix metalloproteinase-2, матриксная металло- протеиназа-2) [46].
Поиск биохимических диагностических маркеров необходим для выделения чистых и смешанных форм заболеваний, оценки механизмов их прогрессирования, разработки индивидуального прогнозирования, а также выделения групп для клинических исследований.
Цель исследования: оценить чувствительность и специфичность биохимических маркеров нейродегенерации в ЦСЖ и крови при ЦМА и БА и определить пороговые значения маркеров, дифференцирующих заболевания.
Материалы и методы
Основная группа состояла из 68 пациентов (из них 41 мужчина; средний возраст 61,0 ± 8,6 года) с диагностическими МРТ-признаками ЦМА по STRIVE (STandards for ReportIng Vascular changes on nEuroimaging) [2] и КР разной степени выраженности. Группу сравнения составили 17 пациентов (из них 6 мужчин; средний возраст 65,2 ± 8,3 года) с вероятной БА, диагностированных по клиническим (КР амнестического типа), лабораторным (изменения тау-белка и β-амилоида в ЦСЖ) и нейровизуализационным (атрофия коры медиальных отделов височных/теменных долей, уменьшение объёма гиппокампа) признакам в соответствии с критериями Национального института по проблемам старения США [4, 5]. Группа контроля включала 26 здоровых добровольцев (из них 10 мужчин; средний возраст 59,9 ± 6,7 года) без клинических и МРТ-признаков патологии головного мозга. Все участники были сопоставимы по возрасту и полу.
Критерии невключения в исследование для пациентов и здоровых добровольцев:
- острый и подострый период малого субкортикального инфаркта (до 3 мес);
- кардиальная патология со снижением фракции выброса < 50%;
- атеросклеротический стеноз > 50%;
- хроническая болезнь почек (клубочковая фильтрация < 30 мл/мин);
- сахарный диабет 1-го типа, некомпенсированный терапией сахарный диабет 2-го типа;
- нарушение функции щитовидной железы;
- перенесённые инфекционное заболевание или обострение соматического за 1 мес до забора крови.
Обследование всех групп проводилось однократно. При МРТ-исследовании на магнитно-резонансном томографе с величиной магнитной индукции 3 Тл («Siemens Healthineers AG») оценивали МРТ-признаки ЦМА [2] и МРТ-признаки БА [4, 5], исключали наличие иных МРТ-изменений. Клиническая диагностика основывалась на оценке течения заболевания, сосудистых факторов риска, неврологических синдромов, общего когнитивного уровня по шкале MoCA [47], тяжести КР [48] и типов КР [3, 48], эмоционального профиля по шкале HADS [49], соматического статуса и сопутствующей патологии.
У всех участников проводили взятие венозной крови натощак в пробирки-вакутейнеры с активатором свертывания и ЭДТА К3, а у пациентов ЦМА и БА последовательно с интервалом не более 1 ч — люмбальная пункция с получением 3 мл ЦСЖ. Образцы крови и ЦСЖ аликвотировали. Далее аликвоту образцов крови и ЦСЖ использовали для определения альбумина и электролитов сразу после взятия и обработки биоматериала, остальное замораживали при –80ºС до проведения исследования, затем их размораживали до комнатной температуры.
Анализ маркеров повреждения ГЭБ и нейродегенерации включал определение GFAP, NEFL, NSE в крови у всех участников исследования и в ЦСЖ у пациентов с ЦМА и БА. Проводился твёрдофазный иммуноферментный метод сэндвич-типа на плашечном ридере «РЕАЛ-Бест» («Вектор Бест») и «VICTOR 2» («Perken Elmer») с использованием лиофилизированных контрольных сывороток/плазм/ЦСЖ с низким и высоким содержанием исследуемых параметров. Использовали наборы реагентов «Euroimmun AG», «Technoclone», «Cloud Clone Corparation», «R&D Systems», «Вектор-Бест».
Статистический анализ проводили с помощью программного обеспечения «SPSS Statistics v. 26» («IBM»). Основной описательной статистикой для категориальных и порядковых переменных были частота и процентная доля, для количественных переменных — средние значения и среднеквадратичное отклонение или медиана и квартили. Во всех случаях использовали двусторонние варианты статистических критериев. Нулевую гипотезу отвергали при p < 0,05. Сравнительный анализ качественных показателей проводили при помощи критерия χ2 Пирсона или точного критерия Фишера. Значения лабораторных показателей сравнивали при помощи критерия Манна–Уитни или Краскела–Уоллиса с последующим внутригрупповым попарным анализом по методу Манна–Уитни. Для оценки предсказательной способности показателей в развитии ожидаемых исходов использовали ROC-анализ с определением площади под кривой, чувствительности и специфичности для установленного порогового значения.
Результаты
Основные демографические и клинические показатели в исследованных группах представлены в табл. 1. Среди оцениваемых факторов риска значимые различия были установлены только для АГ и курения в виде более их частой встречаемости при ЦМА. АГ при ЦМА характеризовалась более тяжёлым течением.
Таблица 1. Основные демографические, клинические и МРТ-данные пациентов с ЦМА, вероятной БА и в контроле
Table 1. Key demographic characteristics, clinical data and MRI data in patients with CSVD, probable AD, and control group
Показатель Parameter | ЦМА | CSVD (n = 68) | БА | AD (n = 17) | Контроль | Control group (n = 26) | р |
Возраст, годы | Age, years (mean ± SD) | 61,0 ± 8,6 | 65,2 ± 8,3 | 59,9 ± 6,7 | > 0,05 |
Пол | Sex (n, %)%: | ||||
мужской | male | 41 (60,3%) | 6 (35,3%) | 10 (38,5%) | > 0,05 |
женский | female | 27 (39,7%) | 11 (64,7%) | 16 (61,5%) | |
АГ | HTN (n, %) | 66 (97,1%) | 12 (70,6%) | 12 (46,2%) | 0,000 |
Степень АГ | HTN stage (n, %) | ||||
1 | 4/66 (6,1%) | 5/12 (41,7%) | 7/12 (58,3%) | 0,000 |
2 | 20/66 (30,3%) | 5/12 (41,7%) | 5/12(41,6%) | |
3 | 42/66 (63,6%) | 2/12 (16,7%) | – | |
Сахарный диабет 2-го типа | Type 2 diabetes mellitus (n, %) | 13 (19,1%) | 1 (5,8%) | – | > 0,05* |
Гиперхолестеринемия (уровень холестерина > 6,2 ммоль/л) Hypercholesterolemia (cholesterol > 6.2 mmol/L) (n, %) | 26 (38,2%) | 7 (41,8%) | – | > 0,05* |
Курение | Smoking (n, %) | 24 (35,3%) | 3 (17,6%) | 8 (3,8%) | 0,005 |
Ожирение 1–2 степени | Obesity, class I–II (n, %) | 22 (32,4%) | 1 (5,9%) | 6 (23%) | > 0,05 |
МоСА, баллы | МоСА score | 22 [19; 26] | 19 [12; 22] | 29 [27; 29] | 0,000 |
КР | CIs (n, %) | ||||
деменция | dementia | 27 (39,7%) | 11 (64,7%) | – | 0,028* |
умеренные | moderate | 21 (30,9%) | 6 (35,3%) | – | |
субъективные | subjective | 20 (29,4%) | – | – | |
Тип КР | Types of CIs (n, %) | ||||
преимущественно амнестический predominantly amnestic | 3/48 (6,3%) | 17 (100%) | – | 0,000* |
дизрегуляторный dysregulation | 11/48 (22,9%) | – | – | |
смешанный mixed | 34/48 (70,8%) | – | – | |
ГИБВ, стадии по шкале Fazekas (F) WMHs stages according to the Fazekas scale (n, %) | ||||
F2 | 6 (8,8%) | – | – | 0,000* |
F3 | 62 (91,2%) | – | – | |
Лакуны | Lacunes (n, %) | 56 (82,4%) | – | – | 0,000* |
Микрокровоизлияния | Microbleeds (n, %) | 49 (70,1%) | 2 (11,8%) | – | 0,000* |
Расширенные периваскулярные пространства Enlarged perivascular spaces (n, %) | 68 (100%) | 13 (76,5%) | – | 0,001* |
Примечание. *Значимость между ЦМА и БА.
Note. *Statistical significance between the CSVD and AD groups.
Пациенты с ЦМА по сравнению с БА имели менее выраженные КР — более высокий общий когнитивный уровень по шкале МоСА, меньшую встречаемость деменций.
Пациенты ЦМА с деменцией и умеренными КР характеризовались смешанным (дизрегуляторно-амнестическим) типом КР (70,8%) и изолированным дизрегуляторным типом КР (22,9%). Пациенты с БА имели амнестический тип КР.
Диагностические МРТ-признаки ЦМА в исследуемой группе были представлены ГИБВ стадии F3 (91,2%) и F2 (8,8%), лакунами — у 56 (82,4%), микрокровоизлияния — у 49 (70,1%). Тяжесть ЦМА по МРТ-признакам составила 4 балла у 63,3% пациентов, 3 балла — у 23,5%. При БА ГИБВ и лакуны отсутствовали, у части (11,8%) выявлялись микрокровоизлияния и у значительного числа (76,5%) — расширенные периваскулярные пространства.
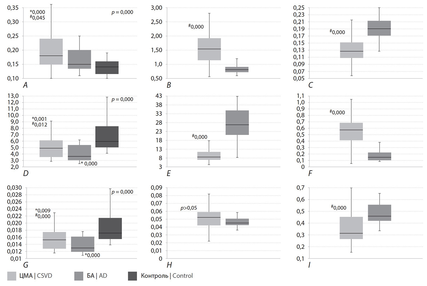
Результаты сравнения уровня GFAP, NSE, NEFL в крови, ЦСЖ и отношение кровь/ЦСЖ в исследуемых группах приведены на рис. 1.
Рис. 1. Сравнение уровня маркеров нейродегенерации у пациентов с ЦМА, БА и контроле.
А — GFAP в крови, нг/мл; В — GFAP в ЦСЖ, нг/мл; С — GFAP кровь/ЦСЖ; D — NSE в крови, мкг/мл; Е — NSE в ЦСЖ, мкг/мл; F — NSE кровь/ЦСЖ; G — NEFL в крови, нг/мл; H — NEFL в ЦСЖ, нг/мл; I — NEFL кровь/ЦСЖ.
*Значимые различия с контролем; #значимые различия с БА.
Fig. 1. The levels of neurodegeneration markers in patients with CSVD/AD and the control group.
А — serum GFAP, ng/ml; В — CSF GFAP, ng/ml; С — serum GFAP/CSF GFAP; D — serum NSE, μg/ml; Е — CSF NSE, μg/ml; F — serum NSE/CSF NSE; G — serum NEFL, ng/ml; H — CSF NEFL, ng/ml; I — serum NEFL/CSF NEFL.
*Significant differences vs the control group; #significant differences vs the AD group.
Уровень GFAP, NSE, NEFL в ЦСЖ был выше такового в крови при ЦМА и БА. GFAP в обеих исследуемых средах был значимо выше при ЦМА по сравнению с БА (рис. 1, А–С).
Пациенты с ЦМА и БА имели значимо более низкий уровень NSE в крови по сравнению с контролем при большем снижении при БА. Уровень NSE в ЦСЖ был значимо выше при БА, чем ЦМА, тогда как коэффициент NSE кровь/ЦСЖ значительнее повышался при ЦМА, чем при БА (рис. 1, D–F).
При ЦМА и БА выявлено повышение NEFL крови по сравнению с контролем, более значительное при БА. Уровень NEFL в ЦСЖ не показал значимых различий между ЦМА и БА (рис. 1, G–I).
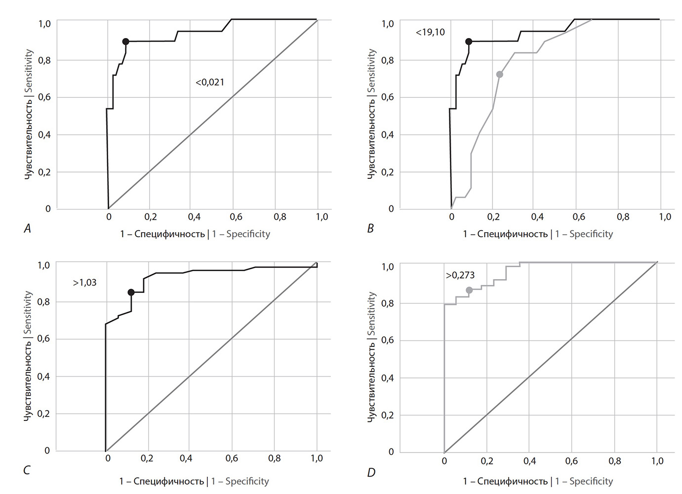
ROC-анализ использовался для уточнения предикторов ЦМА по отношению к контролю и БА. Рассматривались предикторы с площадью под кривой более 0,7, чувствительностью и специфичностью > 70%.
Установлена предиктивная роль GFAP крови в отношении развития ЦМА (рис. 2). Уровень GFAP > 0,155 нг/мл (площадь под кривой 0,82 (95% ДИ 0,73–0,90), чувствительность модели — 74%, специфичность — 70%) позволяет дифференцировать ЦМА от здоровых лиц.
Рис. 2. ROC-кривая GFAP крови у пациентов с ЦМА в отношении контроля.
Fig. 2. ROC curve for serum GFAP in patients with CSVD vs the control group.
Приоритетностью в диагностике БА в порядке убывания в соответствии с площадью под кривой являются NEFL крови > 0,0185 нг/мл (площадь под кривой 0,95 (95% ДИ 0,88–1,00), чувствительность — 82%, специфичность — 96%; рис. 3, А), NSE крови < 4,95 мкг/мл (площадь под кривой 0,87 (95% ДИ 0,75–0,98), чувствительность модели — 77%, специфичность — 71%; рис. 3, B).
Рис. 3. ROC-кривые NEFL (А) и NSE (B) в крови у пациентов с БА в отношении контроля.
Fig. 3. ROC curves for serum NEFL (А) and serum NSE (B) in patients with AD vs the control group.
Предикторами дифференцирования ЦМА от БА может быть уровень GFAP в ЦСЖ > 1,03 нг/мл (площадь под кривой 0,92 (95% ДИ 0,86–0,98), чувствительность — 84%, специфичность — 88%), NSE в ЦСЖ < 19,10 мкг/мл (площадь под кривой 0,929 (95% ДИ 0,86–1,0), чувствительность — 88%, специфичность — 91%), NEFL в крови < 0,021 нг/мл (площадь под кривой 0,777 (95% ДИ 0,67–0,88), чувствительность — 71%, специфичность — 76%; рис. 4, А, B).
Рис. 4. ROC-кривые NEFL в крови (А), NSE в ЦСЖ (B), GFAP в ЦСЖ (C), NSE кровь/ЦСЖ (D) при дифференцировании ЦМА от БА.
Fig. 4. ROC curves for serum NEFL (А), CSF NSE (B), CSF GFAP(C), serum NSE/CSF NSE (D) in patients with CSVD and AD.
Предиктивность ЦМА по отношению к БА среди коэффициентов кровь/ЦСЖ установлена для NSE > 0,273 нг/мл (площадь под кривой 0,97 (95% ДИ 0,91–1,0), чувствительность модели — 87%, специфичность — 88%) позволяет дифференцировать ЦМА от БА (рис. 4, C).
Обсуждение
В проведённом исследовании оценивали биохимические показатели повреждения ГЭБ и нейродегенерации (GFAP, NSE, NEFL) в крови и ЦСЖ у пациентов с ЦМА, БА и в здоровом контроле для выявления маркеров, дифференцирующих заболевания и позволяющих оценивать вклад нейродегенерации в развитие смешанных сосудисто-дегенеративных форм. Сильной стороной данного исследования является сопоставление заболевания с другим при исключении присутствия взаимоперекрываемых признаков. Проведено обследование пациентов с ЦМА и отсутствием маркеров БА (тау-белка и β-амилоида) и БА — с отсутствием диагностических МРТ-признаков ЦМА. Другой сильной стороной данного исследования является одномоментное определение показателей в двух биологических средах — крови и ЦСЖ, а также то, что выбранные показатели представляют континуум патологических изменений от повреждения ГЭБ до реакции астроглии и повреждения нейронов.
Это позволило нам использовать возможности ROC-анализа по выявлению предиктивных показателей и их пороговых значений для диагностирования ЦМА (при сопоставлении с контролем по крови) и дифференцирования ЦМА от БА (по крови и ЦСЖ). В нашем исследовании значения исследуемых показателей GFAP, NSE, NEFL в ЦСЖ значимо превышали таковые в крови, что совпадает с единственным исследованием данных показателей при ЦМА A. Huss и соавт. [46].
В исследовании установлено значимое повышение GFAP при ЦМА в крови по отношению к контролю и БА и в ЦСЖ по отношению к БА. Выявленные изменения были подтверждены установленной при ROC-анализе высокой предиктивностью повышения GFAP в крови в развитии ЦМА, а в ЦСЖ — в дифференцировании от БА. Насколько нам известно из доступной литературы, это обнаружено впервые в данном исследовании. Высокая предиктивность GFAP в отношении ЦМА позволяет использовать установленные пороговые значения уровня GFAP в крови для её диагностирования, а в ЦСЖ — для дифференцирования чистой ЦМА от БА и, очевидно, в уточнении коморбидности заболеваний с развитием смешанных форм. Указания на коморбидность могут иметь отклонения от пороговых значений при одновременном наличии признаков двух заболеваний, например, ГИБВ при БА и отклонениям в амилоиде и тау-протеине при ЦМА. В ранее проведённых исследованиях заболеваний с КР повышение GFAP в крови и ЦСЖ рассматривалось как маркер БА и ассоциировалось с патологическим астроглиозом [19–27]. Результаты нашего исследования свидетельствуют о GFAP как маркере ЦМА, что, учитывая определяющее значение в развитии заболевания высокой проницаемости ГЭБ [14], может объясняться реактивностью астроцитов в поддержании гомеостаза ГЭБ. О значении данного маркера для ЦМА и развития смешанных форм свидетельствуют результаты его исследования при БА [27]. Установлены связи более высоких уровней GFAP с наличием МРТ-признаков ЦМА — ГИБВ, микрокровоизлияний, а также с тяжестью заболевания [27]. Последнее согласуется с утверждением о более тяжёлом течении смешанных форм заболевания [3, 48].
Подобно ранее проведённым исследованиям мы подтвердили повышение NSE в ЦСЖ в качестве маркера БА [32–34] и установили его пороговые значения. Однако, в отличие от заключения B. Olsson и соавт. (2016) о низкой специфичности изменений уровня NSE в крови при БА [32], в нашем исследовании установлена его предиктивная роль при снижении уровня в крови ниже порогового уровня для диагностирования БА. Установленные расхождения нуждаются в уточнении на большем количестве пациентов с изолированной БА. Нами не получено подтверждений специфичности изменения уровня NSE в крови для ЦМА или тесно с ней связанной АГ, что не согласуется с результатами ряда исследований [36, 37]. Однако различия в направленности изменений NSE в крови и ЦСЖ при двух патологиях впервые позволили установить предиктивное значение коэффициента NSE (кровь/ЦСЖ) и его пороговые величины в качестве дифференцирующего маркера ЦМА от БА.
Другим исследуемым нами маркером нейродегенерации был NEFL — белок цитоскелетной структуры нейронов, отвечающим за поддержание структуры аксонов [38]. Проведённые ранее исследования показали однонаправленность его изменений в крови и ЦСЖ при БА [39, 40, 45] и ЦМА [35, 41–45]. Кроме того, повышение NEFL включено в биохимические диагностические критерии повышенной проницаемости ГЭБ при болезни Бинсвангера, наряду с коэффициентом альбумина и снижения индекса MMP-2 [46]. В нашем исследовании NEFL в крови и ЦСЖ также показали однонаправленность изменений при ЦМА и БА, однако только в отношении БА были установлены предиктивные возможности по превышению пороговых значений его уровня в крови. Нами впервые была установлена возможность дифференцировать ЦМА от БА по снижению ниже порогового уровня NEFL в крови.
Заключение
Проведённое исследование по уточнению диагностического значения биохимических маркеров проницаемости ГЭБ и нейродегенерации — GFAP, NSE, NEFL в крови и ЦСЖ позволило выделить маркеры диагностирования заболеваний и дифференцирования их друг от друга. Маркерами заболеваний при отклонении их уровня от пороговых величин в крови для ЦМА является повышение GFAP, для БА — снижение NSE и повышение NEFL. Маркерами дифференцирования ЦМА от БА при отклонении их уровня от пороговых величин являются в крови снижение NEFL, в ЦСЖ — повышение GFAP и снижение NSE, а также увеличение коэффициента NSE кровь/ЦСЖ.
Более широкое использование данных маркеров в исследовательской и клинической практике позволит определять ведущие патогенетические механизмы поражения головного мозга, дифференцировать КР вследствие ЦМА и нейродегенеративных заболеваний, а также случаи их коморбидности. Это является крайне важным в разработке патогенетической терапии и оценки её эффективности при ЦМА и БА, прогнозировании течения заболевания.
About the authors
Larisa A. Dobrynina
Research Center of Neurology
Email: dobrla@mail.ru
ORCID iD: 0000-0001-9929-2725
D. Sci. (Med.), chief researcher, Head, 3rd Neurological department, Institute of Clinical and Preventive Neurology, Research Center of Neurology, Moscow, Russia
Russian Federation, MoscowMaria M. Tsypushtanova
Research Center of Neurology
Email: tzipushtanova@mail.ru
ORCID iD: 0000-0002-4231-3895
postgraduate student, neurologist, 3rd Neurological department, Institute of Clinical and Preventive Neurology, Research Center of Neurology, Moscow, Russia
Russian Federation, MoscowАlla A. Shabalina
Research Center of Neurology
Email: ashabalina@yandex.ru
ORCID iD: 0000-0001-9604-7775
D. Sci. (Med.), leading researcher, Head, Department of laboratory diagnostics, Research Center of Neurology, Moscow, Russia
Russian Federation, MoscowKamila V. Shamtieva
Research Center of Neurology
Email: kamila.shamt@gmail.com
ORCID iD: 0000-0002-6995-1352
Cand. Sci. (Med.), researcher, 3rd Neurological department, Institute of Clinical and Preventive Neurology, Research Center of Neurology, Moscow, Russia
Russian Federation, MoscowAngelina G. Makarova
Research Center of Neurology
Email: angelinagm@mail.ru
ORCID iD: 0000-0001-8862-654X
postgraduate student, neurologist, 3rd Neurological department, Institute of Clinical and Preventive Neurology, Research Center of Neurology, Moscow, Russia
Russian Federation, MoscowViktoria V. Trubitsyna
Research Center of Neurology
Email: pobeda-1994@mail.ru
ORCID iD: 0000-0001-7898-6541
postgraduate student, radiologist, Department of radiation diagnostics, Research Center of Neurology, Moscow, Russia
Russian Federation, MoscowElina T. Bitsieva
Research Center of Neurology
Email: elinabitsieva1997@mail.ru
ORCID iD: 0000-0003-1464-0722
postgraduate student, neurologist, 3rd Neurological department, Institute of Clinical and Preventive Neurology, Research Center of Neurology, Moscow, Russia
Russian Federation, MoscowAleksandra A. Byrochkina
Research Center of Neurology
Email: byrochkinasasha@mail.ru
ORCID iD: 0000-0002-2285-2533
postgraduate student, neurologist, 3rd Neurological department, Institute of Clinical and Preventive Neurology, Research Center of Neurology, Moscow, Russia
Russian Federation, MoscowAnastasia A. Geints
Lomonosov Moscow State University
Author for correspondence.
Email: anastasiyatarasova75@gmail.com
ORCID iD: 0009-0001-1836-2515
resident of the 6rd neurological department of the Research Center of Neurology
Russian Federation, MoscowReferences
- Gorelick P.B., Scuteri A., Black S.E. et al. Vascular contributions to cognitive impairment and dementia: a statement for healthcare professionals from the american heart association/american stroke association. Stroke. 2011;42:2672–2713. doi: 10.1161/STR.0b013e3182299496
- Wardlaw J.M., Smith E.E., Biessels G.J. et al. Neuroimaging standards for research into small vessel disease and its contribution to ageing and neurodegeneration. Lancet Neurol. 2013;12(8):822–838. doi: 10.1016/S1474-4422(13)70124-8
- Sachdev P., Kalaria R., O’Brien J. et al. Diagnostic criteria for vascular cognitive disorders: A VASCOG statement. Alzheimer Dis. Assoc. Disord. 2014;28(3):206–218. doi: 10.1097/WAD.0000000000000034
- Albert M.S., Jack C.R. Jr., Knopman D.S. et al. Introduction to the re- commendations from the National Institute on Aging-Alzheimer’s Association workgroups on diagnostic guidelines for Alzheimer’s disease. Alzheimers Dement. 2011;7(3):257–262. doi: 10.1016/j.jalz.2011.03.004
- McKhann G.M., Knopman D.S., Chertkow H. et al. The diagnosis of dementia due to Alzheimer’s disease: recommendations from the National Institute on Aging and the Alzheimer’s Association workgroup. Alzheimers Dement. 2011;7:263–269. doi: 10.1016/j.jalz.2011.03.005.
- Pantoni L. Cerebral small vessel disease: from pathogenesis and clinical characteristics to therapeutic challenges. Lancet Neurol. 2010;9(7):689–701. doi: 10.1016/S1474-4422(10)70104-6
- Holmes C., Boche D., Wilkinson D. et al. Long-term effects of Abeta42 immunisation in Alzheimer’s disease: follow-up of a randomised, placebo-controlled phase I trial. Lancet. 2008;372(9634):216–223. doi: 10.1016/S0140-6736(08)61075-2
- Nicoll J.A.R., Buckland G.R., Harrison C.H. et al. Persistent neuropatholo- gical effects 14 years following amyloid-β immunization in Alzheimer’s disease. Brain. 2019;142(7):2113–2126. doi: 10.1093/brain/awz142.
- Добрынина Л.А., Гаджиева З.Ш., Кремнева Е.И. и др. Выживаемость, изменения когнитивных функций и состояния головного мозга у пациентов с церебральной микроангиопатией (болезнью мелких сосудов): 5-летнее наблюдение. Анналы клинической и экспериментальной неврологии. 2022;16(4):18–28. Dobrynina L.A., Gadzhieva Z.Sh., Kremneva E.I. et al. Survival, cognitive functions, and brain MRI in patients with cSVD: 5-year observation. Annals of clinical and experimental neurology. 2022;16(4):18–28. doi: 10.54101/ACEN.2022.4.3
- Attems J., Jellinger K.A. The overlap between vascular disease and Alzheimer’s disease — lessons from pathology. BMC Med. 2014;12:206. doi: 10.1186/S12916-014-0206-2
- Toledo J.B., Arnold S.E., Raible K. et al. Contribution of cerebrovascular disease in autopsy confirmed neurodegenerative disease cases in the National Alzheimer’s Coordinating Centre. Brain. 2013;36(Pt 9):2697–2706. doi: 10.1093/brain/awt188
- Kapasi A., DeCarli C., Schneider J.A. Impact of multiple pathologies on the threshold for clinically overt dementia. Acta Neuropathol. 2017;134(2):171–186. doi: 10.1007/s00401-017-1717-7
- Wallin A., Kapaki E., Boban M. et al. Biochemical markers in vascular cognitive impairment associated with subcortical small vessel disease — a consensus report. BMC Neurol. 2017;17(1):102. doi: 10.1186/s12883-017-0877-3
- Dobrynina L.A., Shabalina A.A., Zabitova M.R. et al. Tissue plasminogen activator and MRI signs of cerebral small vessel disease. Brain Sci. 2019;9(10):266. doi: 10.3390/brainsci9100266
- Garwood C.J., Ratcliffe L.E., Simpson J.E. et al. Review: astrocytes in Alzheimer’s disease and other age-associated dementias: a supporting player with a central role. Neuropathol. Appl. Neurobiol. 2017;43(4):281–298. doi: 10.1111/nan.12338
- Oeckl P., Halbgebauer S., Anderl-Straub S. et al. Glial fibrillary acidic protein in serum is increased in Alzheimer’s disease and correlates with cognitive impairment. J. Alzheimers Dis. 2019;67(2):481–488. doi: 10.3233/JAD-180325
- Plog B.A., Dashnaw M.L., Hitomi E. et al. Biomarkers of traumatic injury are transported from brain to blood via the glymphatic system. J. Neurosci. 2015;35(2):518–526. doi: 10.1523/JNEUROSCI.3742-14.2015
- Sharquie I.K., Gawwam G.A., Abdullah S.F. Serum glial fibrillary acidic protein: a surrogate marker of the activity of multiple sclerosis. Medeni Med. J. 2020;35(3):212–218. doi: 10.5222/MMJ.2020.48265
- Elahi F.M., Casaletto K.B., La Joie R. et al. Plasma biomarkers of astrocytic and neuronal dysfunction in early- and late-onset Alzheimer’s disease. Alzheimer’s Dement. 2020;16(4):681–695. doi: 10.1016/j.jalz.2019.09.004
- Jesse S., Steinacker P., Cepek L. et al. Glial fibrillary acidic protein and protein S-100B: different concentration pattern of glial proteins in cerebrospinal fluid of patients with Alzheimer’s disease and Creutzfeldt–Jakob disease. J. Alzheimers Dis. 2009;17(3):541–551. doi: 10.3233/JAD-2009-1075
- Cicognola C., Janelidze S., Hertze J. et al. Plasma glial fibrillary acidic protein detects Alzheimer pathology and predicts future conversion to Alzheimer dementia in patients with mild cognitive impairment. Alzheimer’s Res. Ther. 2021;13(1):1–9. doi: 10.1186/s13195-021-00804-9
- Thijssen E.H., Verberk I.M.W., Stoops E. et al. Amyloid, pTau, NfL, and GFAP as biomarkers for Alzheimer’s disease. Alzheimer’s Dement. 2020;16(S5):38179. doi: 10.1002/alz.038179
- Chatterjee P., Pedrini S., Stoops E. et al. Plasma glial fibrillary acidic protein is elevated in cognitively normal older adults at risk of Alzheimer’s disease. Transl. Psychiatry. 2021;11(1):1–10. doi: 10.1038/s41398-020-01137-1
- Karikari T.K., Hourregue C., Cognat E. et al. Differences between plasma and cerebrospinal fluid glial fibrillary acidic protein levels across the Alzheimer disease continuum. JAMA Neurol. 2021;78(12):1471–1483. doi: 10.1001/jamaneurol.2021.3671
- Pereira J.B., Janelidze S., Smith R. et al. Plasma GFAP is an early marker of amyloid-β but not tau pathology in Alzheimer’s disease. Brain. 2021;144(11):3505–3516. doi: 10.1093/brain/awab223
- Verberk I.M.W., Laarhuis M.B., van den Bosch K.A. et al. Serum markers glial fibrillary acidic protein and neurofilament light for prognosis and monitoring in cognitively normal older people: a prospective memory clinic-based cohort study. Lancet Healthy Longev. 2021;2(2):E87–E95. doi: 10.1016/S2666-7568(20)30061-1
- Shir D., Graff-Radford J., Hofrenning E.I. et al. Association of plasma glial fibrillary acidic protein (GFAP) with neuroimaging of Alzheimer’s disease and vascular pathology. Alzheimers Dement. (Amst). 2022;14(1):e12291. doi: 10.1002/dad2.12291
- Amalia L. Glial fibrillary acidic protein (GFAP): Neuroinflammation biomarker in acute ischemic stroke. J. Inflamm. Res. 2021;14:7501–7506. doi: 10.2147/JIR.S342097
- Puspitasari V., Gunawan P.Y., Wiradarma H.D. et al. Glial fibrillary acidic protein serum level as a predictor of clinical outcome in ischemic stroke. Open Access Maced J Med Sci. 2019;7(9):1471–1474. doi: 10.3889/oamjms.2019.326
- Huss A., Abdelhak A., Mayer B. et al. Association of serum GFAP with functional and neurocognitive outcome in sporadic small vessel disease. Biomedicines. 2022;10(8):1869. doi: 10.3390/biomedicines10081869
- Katayama T., Sawada J., Takahashi K. et al. Meta-analysis of cerebrospinal fluid neuron-specific enolase levels in Alzheimer’s disease, Parkinson’s disease, dementia with Lewy bodies, and multiple system atrophy. Alzheimers Res. Therapy. 2021;13(1):163. doi: 10.1186/s13195-021-00907-3
- Olsson B., Lautner R., Andreasson U. et al. CSF and blood biomarkers for the diagnosis of Alzheimer’s disease: a systematic review and meta-analysis. Lancet Neurol. 2016;15(7):673–684. doi: 10.1016/S1474-4422(16)00070-3
- Schmidt F.M., Mergl R., Stach B. et al. Elevated levels of cerebrospinal fluid neuron-specific enolase (NSE) in Alzheimer’s disease. Neurosci. Lett. 2014;570:81–85. doi: 10.1016/j.neulet.2014.04.007
- Palumbo B., Siepi D., Sabalich I. et al. Cerebrospinal fluid neuron-speci- fic enolase: a further marker of Alzheimer’s disease? Funct. Neurol. 2008;23(2): 93–96.
- Wallin A., Blennow K., Rosengren L. Cerebrospinal fluid markers of pathogenetic processes in vascular dementia, with special reference to the subcortical subtype. Alzheimer Dis. Assoc. Disord. 1999;13(Suppl 3):S102–S105.
- González-Quevedo A., García S.G., Concepción O.F. et al. Increased serum S-100B and neuron specific enolase — Potential markers of early nervous system involvement in essential hypertension. Clin. Biochem. 2011;44(2–3):154–159. doi: 10.1016/j.clinbiochem.2010.11.006
- Polyakova M., Mueller K., Arelin K. et al. Increased serum NSE and S100B indicate neuronal and glial alterations in subjects under 71 Years with mild neurocognitive disorder/mild cognitive impairment. Front. Cell Neurosci. 2022;16:788150. doi: 10.3389/fncel.2022.788150
- Perrot R., Berges R., Bocquet A. et al. Review of the multiple aspects of neurofilament functions, and their possible contribution to neurodegeneration. Mol. Neurobiol. 2008;38(1):27–65. doi: 10.1007/s12035-008-8033-0
- Mattsson N., Andreasson U., Zetterberg H. et al. Association of plasma neurofilament light with neurodegeneration in patients with Alzheimer disease. JAMA Neurol. 2017;74(5):557–566. doi: 10.1001/jamaneurol.2016.6117
- de Wolf F., Ghanbari M., Licher S. et al. Plasma tau, neurofilament light chain and amyloid-β levels and risk of dementia; a population-based cohort study. Brain. 2020;143(4):1220–1232. doi: 10.1093/brain/awaa054
- Egle M., Loubiere L., Maceski A. et al. Neurofilament light chain predicts future dementia risk in cerebral small vessel disease. J. Neurol. Neurosurg. Psychiatry. 2021;92(6):582–589. doi: 10.1136/jnnp-2020-325681
- Ma W., Zhang J., Xu J. et al. Elevated levels of serum neurofilament light chain associated with cognitive impairment in vascular dementia. Dis. Markers. 2020;2020:6612871. doi: 10.1155/2020/6612871
- Jonsson M., Zetterberg H., van Straaten E. et al. Cerebrospinal fluid biomarkers of white matter lesions — cross-sectional results from the LADIS study. Eur. J. Neurol. 2010;17(3):377–382. doi: 10.1111/j.1468-1331.2009.02808.x
- Bjerke M., Zetterberg H., Edman Å. et al. Cerebrospinal fluid matrix metalloproteinases and tissue inhibitor of metalloproteinases in combination with subcortical and cortical biomarkers in vascular dementia and Alzheimer’s disease. J. Alzheimers Dis. 2011;27(3):665–676. doi: 10.3233/JAD-2011-110566
- Skillback T., Farahmand B., Bartlett J.W. et al. CSF neurofilament light differs in neurodegenerative diseases and predicts severity and survival. Neurology. 2014.83(21):1945–1953. doi: 10.1212/wnl.00000000000010
- Rosenberg G.A., Wallin A., Wardlaw J.M. et al. Consensus statement for diagnosis of subcortical small vessel disease. J. Cereb. Blood Flow Metab. 2016;36(1):6–25. doi: 10.1038/jcbfm.2015.172
- Nasreddine Z.S., Phillips N.A., Bédirian V. et al. The Montreal Cognitive Assessment, MoCA: a brief screening tool for mild cognitive impairment. J. Am. Geriatr. Soc. 2005;53(4):695–699. doi: 10.1111/j.1532-5415.2005.53221.x
- Добрынина Л.А., Гаджиева З.Ш., Калашникова Л.А. и др. Нейропсихологический профиль и факторы сосудистого риска у больных с церебральной микроангиопатией. Анналы клинической и экспериментальной неврологии. 2018;12(4):5–15. Dobrynina L.A., Gadzhieva Z.Sh., Kalashnikova L.A. et al. Neuropsychological profile and vascular risk factors in patients with cerebral microangiopathy. Annals of clinical and experimental neurology. 2018;12(4):5–15. doi: 10.25692/ACEN.2018.4.1
- Zigmond A.S., Snaith R.P. The hospital anxiety and depression scale. Acta Psychiatr. Scand. 1983;67(6):361–370. doi: 10.1111/j.1600-0447.1983.tb09716.x









