3,5-диметил-адамантан-1-амин восстанавливает кратковременную синаптическую пластичность посредством изменения функции транспортёров возбуждающих аминокислот у модельных мышей со спиноцеребеллярной атаксией 1 типа
- Авторы: Белозор О.С.1, Васильев А.А.2, Милейко А.Г.3, Мосина Л.Д.3, Михайлов И.Г.3, Шуваев А.Н.3, Шуваев А.Н.1,3
-
Учреждения:
- Красноярский государственный медицинский университет имени профессора В.Ф. Войно-Ясенецкого
- Балтийский федеральный университет имени Иммануила Канта
- Сибирский федеральный университет
- Выпуск: Том 18, № 1 (2024)
- Страницы: 63-71
- Раздел: Оригинальные статьи
- Статья получена: 25.09.2023
- Статья одобрена: 01.12.2023
- Статья опубликована: 05.04.2024
- URL: https://annaly-nevrologii.com/pathID/article/view/1037
- DOI: https://doi.org/10.54101/ACEN.2024.1.7
- ID: 1037
Цитировать
Аннотация
Введение. Мемантин — препарат для лечения деменции альцгеймерского типа, который значительно уменьшает явления нейродегенерации. Потенциально он может замедлить нейродегенеративные изменения в мозжечке и быть средством выбора в лечении спиноцеребеллярной атаксии 1 типа (СЦА1).
Цель работы — исследование молекулярных основ улучшения кратковременной синаптической пластичности при длительном потреблении мемантина модельными СЦА1-мышами.
Материалы и методы. Опыты проведены на 12-недельных мышах линии CD1. Мы создали модель астроглиоза мозжечка мыши после экспрессии мутантного атаксина 1 (ATXN1[Q85]) в глии Бергмана. Для моделирования астроцит-опосредованной нейродегенерации мозжечка данным мышам интракортикально в мозжечок вводили векторную конструкцию LVV GFAP-ATXN1[Q85]-Flag. Часть этих мышей получала мемантин в дозе 0,35 мг/кг в день, растворённой в питьевой воде, в течение 9 нед. Мышам контрольной группы вводили LVV GFAP-ATXN1[Q2]-Flag. Динамику амплитуд возбуждающих постсинаптических токов клеток Пуркинье регистрировали с помощью метода локальной фиксации потенциала. Экспрессию anti-ЕААТ1 в коре мозжечка изучали методом иммуногистохимии.
Результаты. Для реактивной глии коры мозжечка у СЦА1-мышей характерно снижение иммунореактивности анти-ЕААТ1, хроническое потребление мемантина восстанавливает этот показатель. У СЦА1-мышей в синапсах параллельных волокон с клетками Пуркинье время спада амплитуд возбуждающих постсинаптических токов значительно увеличено, что свидетельствует о замедлении обратного захвата глутамата и нарушении функции ЕААТ1. Повышенное продолжительное нахождение нейромедиатора в синаптической щели способствует облегчению активации mGluR1-пути передачи сигналов и восстановлению mGluR1-зависимой синаптической пластичности в клетках Пуркинье СЦА1-мышей.
Заключение. Замедление обратного захвата нейромедиатора при длительном потреблении мемантина оказывает положительное влияние на mGluR1-зависимую кратковременную синаптическую пластичность в клетках Пуркинье СЦА1-мышей. Восстановление синаптической пластичности у данных животных может лежать в основе частичного уменьшения атаксического синдрома.
Полный текст
Введение
Спиноцеребеллярная атаксия 1-го типа (СЦА1) относится к группе полиглутаминовых патологий и возникает в результате увеличения числа нуклеотидных повторов CAG в кодирующей части гена атаксина-1 (ATXN1). Для СЦА1 характерна прогрессирующая мозжечковая атаксия с последующим бульбарным параличом и смертью через 10–15 лет после начала заболевания [1]. Патогенез объясняется токсическим действием продукта мутантного гена ATXN1, образующего агрегаты в клетках [2–4]. Исследования показали, что в различных СЦА1-моделях клетки Пуркинье (КП) мозжечка являются основными мишенями [5–7]. В этих же моделях показано нарушение краткосрочной и долгосрочной синаптической пластичности [8].
Глутамат является преобладающим возбуждающим нейромедиатором в центральной нервной системе. Концентрация глутамата в синаптической щели строго контролируется взаимодействием между его высвобождением и клиренсом. Эту функцию выполняет транспортёр возбуждающих аминокислот EAAT1, который является Na+-зависимым транспортёром глутамата, экспрессирующимся преимущественно в глиальных клетках мозжечка [9]. Астроцитарные ЕААТ играют важную роль в модуляции глутаматергической возбудимости, обеспечивают обратный захват глутамата из синапса и тем самым защищают нейроны [10].
Нарушение этих процессов приводит к накоплению внеклеточного глутамата, что вызывает эксайтотоксичность и повреждение нейронов [11]. Утечка глутамата из синаптической щели может активировать внесинаптические рецепторы N-метил-D-аспартата (NMDA). Избыточный приток Ca2+ через внесинаптические NMDA-рецепторы индуцирует сигнальные каскады, которые запускают запрограммированную клеточную гибель [12].
Перспективным направлением нейропротекторной фармакотерапии различных нейродегенеративных заболеваний является использование антагонистов NMDA-рецепторов [13]. Одним из таких препаратов является 3,5-диметил-адамантан-1-амин (мемантин). Данный препарат одобрен Управлением по контролю качества пищевых продуктов и лекарственных средств США для использования в терапии болезни Альцгеймера [14, 15]. Нейропротекторное действие мемантина изучается и при других патологических процессах: ишемии, мигрени, депрессивноподобном поведении и др. [16–18]. Потенциальные эффекты мемантина при лечении СЦА1 не исследованы. Другим важным аспектом работы NMDA-рецепторов является их участие в формировании синаптической пластичности, лежащей в основе формирования обучения и памяти.
Описанная ранее нами модель, основанная на хронической оптогенетической активации глии Бергмана светочувствительным катионным каналом родопсином-2, продемонстрировала решающую роль нарушения механизма EAAT1 и дальнейшей эксайтотоксичности в патогенезе нейродегенерации мозжечка [6]. Нарушение кратковременной синаптической пластичности в этой модели описано нами ранее [19].
В данной работе мы использовали модель СЦА1 с избирательной экспрессией мутантного атаксина 1 для изучения кратковременной синаптической пластичности при длительном введении животным мемантина.
Цель исследования — изучение молекулярных основ улучшения кратковременной синаптической пластичности при длительном потреблении мемантина модельными СЦА1-мышами.
Материалы и методы
Производство AVV и LVV конструкций
Для достижения большого уровня экспрессии LVV векторов был использован GFAP-промотор [20]. Последовательности непатогенного ATXN1[Q2] (кодирующего человеческий атаксин-1 с 2 повторами глутамина) или патогенного ATXN1[Q85] (с 85 непрерывными повторами глутамина) были совмещены в рамке с последовательностью, кодирующей метку FLAG, на их 5'-концах. Затем конструкции Flag-ATXN1[Q2] и Flag-ATXN1[Q85] переносили в лентивирусный вектор pTYF под контролем усиленного промотора GFAP. Подробная процедура получения вирусного вектора была описана ранее [21]. Титры LVV-GFAP-Flag-ATXN1[Q2] LVV и LVV-GFAP-Flag-ATXN1[Q85] составляли 7 × 109 трансдуцирующих единиц (TU) на 1 мл. LVV хранили при –80ºC и использовали в течение 6 мес.
Моделирование нейродегенерации
Мышей дикого типа (P21) в возрасте 3 нед анестезировали золетилом («Virbac»), 50 мг/кг внутрибрюшинно. Во время хирургических вмешательств мышей согревали с помощью подогреваемой подушки. LVV или фосфатно-солевой раствор (3 мкл) медленно вводили в кору червя мозжечка (долька VI) с помощью шприца Гамильтона на 10 мкл. Стереотаксические координаты относительно брегмы: AP: –2,5 мм, ML: 0 мм, DV: 2 мм. Мышей использовали для дальнейших экспериментов через 9 нед после инъекции, когда экспрессия трансгенного атаксина-1 была выраженной. Часть СЦА1-мышей принимала мемантин в дозе 0,35 мг/кг в день, растворённой в питьевой воде, в течение 9 нед [22].
Иммуногистохимическое исследование
Для иммуногистохимического анализа мышам транскардиально вводили 4% раствор параформальдегида в 0,1 М фосфатном буфере после внутрибрюшинной анестезии золетилом (50 мг/кг). Мозг извлекали и фиксировали в том же растворе в течение ночи. Червь мозжечка нарезали на сагиттальные срезы толщиной 50 мкм. Срезы обрабатывали кроличьими моноклональными антителами против EAAT1 (1 : 500; «Cloud Clone Corp.»), а затем визуализировали с помощью конъюгированного с Alexa Fluor 488 ослиного антикроличьего IgG (1 : 1000; «Life Technologies»). Антитела растворяли в фосфатно-солевом растворе, содержащем 2% нормальной ослиной сыворотки, 0,1% Тритон Х-100 и 0,05% NaN3. Для сравнения были получены конфокальные флуоресцентные изображения срезов мозжечка из соответствующей области с помощью микроскопа «FV10i» («Olympus»). Изображения записывали в виде Z-стеков с использованием объектива ×10 и разрешения 1024 × 1024. Преобразованные в чёрно-белые микрофотографии анализировали с помощью программного обеспечения «ImageJ». Для предотвращения получения ложноположительных результатов мы использовали фильтр отсечения анти-ЕААТ1-сигнала в 30% от максимальной интенсивности свечения. Для измерения ЕААТ1-положительной области выбирали пятна более 30 пикселей.
Метод локальной фиксации потенциала
После достижения глубокой анестезии золетилом мышь декапитировали, мозг извлекали и быстро помещали в ледяной раствор Рингера, насыщенный 95% O2 + 5% CO2. Парасагиттальные срезы (250 мкм) червя мозжечка получали с использованием вибротома «Microtom CU65» («Thermo Scientific»). Срезы нарезали в растворе Рингера (в мМ): 234 сахарозы, 26 NaHCO3, 2,5 KCl, 1,25 NaH2PO4, 11 глюкозы, 10 MgSO4 и 0,5 CaCl2 при 4ºC с постоянной подачей смеси 95% O2 + 5% CO2 [6]. Срезы хранили во внеклеточном растворе, содержащем (в мМ): 125 NaCl, 2,5 KCl, 2 CaCl2, 1 MgCl2, 1,25 NaH2PO4, 26 NaHCO3, 10 D-глюкозы и 0,05–0,10 пикротоксина. Этот раствор непрерывно насыщали смесью 95% O2 и 5% CO2 при комнатной температуре в течение 1 ч до начала электрофизиологических экспериментов.
Для электрофизиологических записей в режиме «whole cell» мы использовали внутриклеточный раствор, содержащий (в мМ): 140 Cs-глюконат, 8 KCl, 10 HEPES, 1 MgCl2, 2 MgATP, 0,4 NaGTP, 0,2 EGTA (pH 7,3). Анализ электрофизиологических данных проводили с использованием программного обеспечения «pClamp10» («Molecular Devices»), «Patchmaster» («HEKA») и «Clampfit 10.5» («Axon Instruments»). Напряжение мембраны КП фиксировали на уровне –70 мВ. Для записи возбуждающих постсинаптических токов (ВПСТ) при раздражении параллельных волокон (ПВ) стимулирующий электрод помещали в молекулярный слой коры мозжечка. Оценку постоянной релаксации ВПСТ (характерное время спада τ) производили в программе «ClampFit» аппроксимацией кривой ВПСТ экспоненциальной функцией от пикового значения (А) до конца записи сигнала.
Для анализа кратковременной синаптической пластичности (синаптически вызванного подавления возбуждения — synaptically evoked suppression of excitation, SSE) напряжение мембраны КП фиксировали на –70 мВ. Запись контрольной ПВ-ВПСТ осуществляли с частотой 0,2 Гц в течение 40 с. Чтобы вызвать SSE, мы применили высокочастотную стимуляцию ПВ (15 импульсов с частотой 100 Гц) для активации mGluR-опосредованного каскада сигналов в КП. Усреднённые амплитуды ПВ-ВПСТ за 10 с нормализовали к их исходным значениям, которые представляли собой средние значения до вызывания SSE. ПВ-ВПСТ далее регистрировали в течение 100 с после стимуляции.
Статистические методы и обработка данных
Данные выражали как средние значения ± стандартная ошибка среднего с доверительным интервалом 95%. Для проведения статистического анализа мы использовали базовые статистические функции бесплатной программы с открытым исходным кодом R. Различия между отдельными группами оценивали с помощью модели ANOVA и критерия Тьюки–Крамера, который применим для корректировки значений p, если выборки имеют неравный размер. Различия считали значимыми при p < 0,05.
Результаты
Длительное применение мемантина влияет на экспрессию EAAT1
Изменения в коре мозжечка при таргетной экспрессии мутантного атаксина 1 в глии Бергмана были подробно описаны нами ранее [23]. В этой работе мы вводили мемантин (0,35 мг/кг) модельным СЦА1 мышам в течение 9 нед начиная с 21-го дня после рождения для купирования нейродегенеративного процесса.
Реактивация глии Бергмана посредством мутантного атаксина 1 существенно влияла на экспрессию EAAT1 у мышей. У мышей ATXN1[Q85] наблюдалось снижение экспрессии: площадь, занимаемая положительным анти-EEAT1-сигналом, относительно общей площади снимка составила 15,2 ± 0,5% (исследованы 9 зон у 3 мышей — area/number (a/n) = 9/3 по сравнению с 17,0 ± 0,3% (a/n = 8/3) у мышей, экспрессирующих ATXN1[Q2] (p = 0,007; рис. 1, А, В). Хроническое введение мемантина увеличивало площадь положительного сигнала анти- ЕААТ1 до 17,5 ± 0,1% (a/n = 11/3) по сравнению с мышами, экспрессирующими ATXN1[Q85], без хронического введения мемантина (p = 0,002).
Более значимым показателем было увеличение количества экспрессируемых анти-ЕААТ1 положительных пятен у СЦА1-мышей после долговременного потребления мемантина — 27,1 ± 1,3 относительно не принимавших мемантин мышей ATXN1[Q85] (21,0 ± 2,1) и ATXN1[Q2] (18,7 ± 1,7; р = 0,02 и р = 0,0001 соответственно; рис. 1, А, С). Эти данные указывают на то, что мемантин изменяет экспрессию ЕААТ1 через увеличение площади и количества транспортёров на мембране глии Бергмана коры мозжечка.
Длительное применение мемантина влияет на синаптическую передачу в синапсах параллельных волокон с клетками Пуркинье
Изменение экспрессии ЕААТ1 изменяет обратный захват глутамата из синаптической щели, что в свою очередь влияет на синаптическую передачу. Для оценки влияния длительного применения мемантина на синаптическую передачу и пластичность мы исследовали электрофизиологические свойства КП.
Постоянная времени спада (τ) амплитуды ПВ-ВПСТ в КП СЦА1-мышей, не принимавших мемантин, статистически не отличалась от контроля и составляла 14,5 ± 1,0 мс–1 (исследованы 18 клеток у 4 мышей — cells/number (с/n) = 18/4) при экспрессии ATXN1[Q2] и 15,1 ± 1,5 мс–1 при экспрессии ATXN1[Q85] (c/n = 19/4; p = 0,75; непарный t-критерий). Длительное введение мемантина увеличивало τ амплитуды ПВ-ВПСТ у СЦА1-мышей до 21,0 ± 2,3 мс–1 (c/n = 14/4; p = 0,048; рис. 2).
Экспрессия мутантного атаксина 1 избирательно в глии Бергмана влияет на SSE
Медленный спад ПВ-ВПСТ может свидетельствовать о долгом воздействии глутамата на постсинаптические рецепторы в силу его накопления из-за нарушения обратного захвата. Это может создавать предпосылки к выходу глутамата за пределы синаптической щели и активации перисинаптических рецепторов, таких как mGluR1. В связи с этим мы исследовали определённый тип кратковременной синаптической пластичности, связанный с активацией mGluR1-сигнализации в КП. Тетанус-стимуляция ПВ вызывает активацию mGluR1 и связанное с ним локальное повышение содержания Ca2+ в КП. Это приводит к синтезу эндоканнабиноидов и ведёт к ретроградному подавлению высвобождения глутамата из пресинаптических терминалей ПВ (SSE) [24–27].
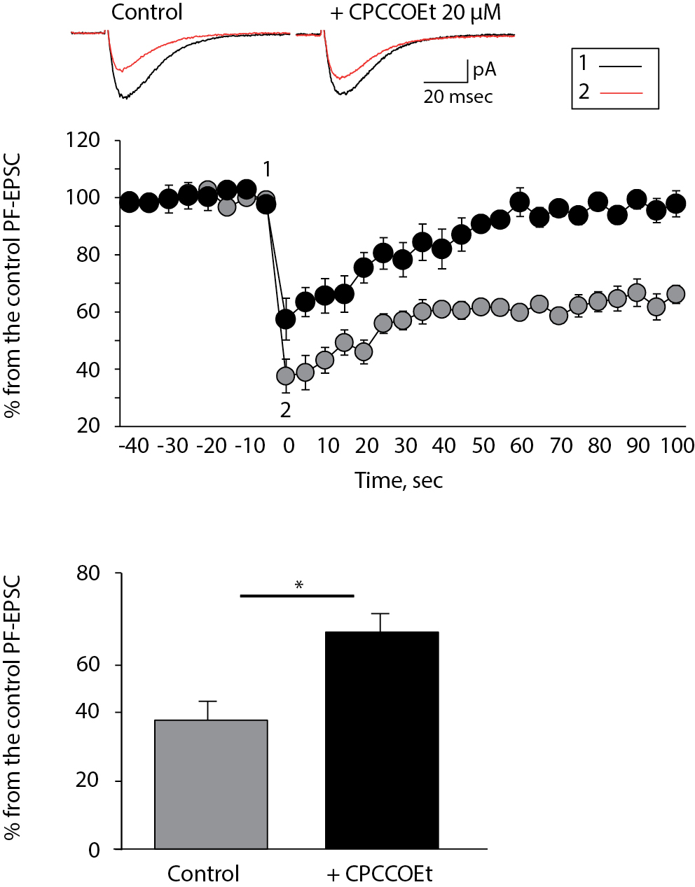
В присутствии блокатора mGluR1, 25 мкМ СРССОЕt сразу после тетанус-стимуляции амплитуда ПВ-ВПСТ увеличивалась с 37,6 ± 5,9 до 63,5 ± 5,0% (с/n = 7/3; р = 0,026, парный t-критерий; рис. 3).
После тетанус-раздражения у мышей, экспрессирующих ATXN1[Q85], амплитуда ПВ-ВПСТ увеличивалась (116,1 ± 8,9% (n = 8/3)). Подавления амплитуды не наблюдалось, тогда как у мышей, экспрессирующих ATXN1[Q2], амплитуда уменьшалась после стимуляции и оставалась уменьшенной в течение всего периода записи (79,1 ± 14,1%; n = 8/3; p < 0,01; рис. 4). Длительное введение мемантина восстановило SSE: амплитуда после стимуляции снизилась (44,9 ± 8,5%; n = 9/3; p < 0,001 по сравнению с мышами, не принимавшими мемантин; динамика восстановления амплитуд была подобна тем, что наблюдалась у мышей, экспрессирующих ATXN1[Q2] (рис. 4).
Обсуждение
Мы использовали СЦА1-модель с таргетной экспрессией LVV GFAP-ATXN1[Q85]-Flag в глии Бергмана [23] для оценки влияния мемантина на процессы, участвующие в формировании кратковременной синаптической пластичности. Мемантин применялся длительно в течение 9 нед в дозе 0,35 мг/кг в сутки.
Ранее нами показано уменьшение экспрессии и функции транспортёров возбуждающих аминокислот EAAT1 в оптогенетической модели нейродегенерации мозжечка [6]. Данные изменения связаны с нарушением обратного захвата глутамата астроцитами из синаптической щели и хорошо документированы при различных нейродегенеративных состояниях [13, 14, 16].
В нашей СЦА1-модели наблюдался схожий эффект — уменьшение экспрессии ЕААТ1 в коре мозжечка. Мемантин восстанавливал уровень экспрессии до контрольных значений в обеих моделях нейродегенерации ([6]; рис. 1, А, В). Имеются данные о том, что экспрессия белка EAAT1 активируется экзогенным глутаматом [10, 28]. S. Duan и соавт. обнаружили, что механизм этого опосредованного глутаматом увеличения функции EAAT1 обусловлен индукцией поверхностной экспрессии EAAT1 в культурах астроцитов мыши без изменения экспрессии общего белка-транспортёра [29]. Вполне вероятно, что такой механизм повышения ЕААТ1 обеспечивает защиту нейронов от чрезмерного количества глутамата. Мы заметили увеличение количества EAAT1-положительных пятен у животных, получавших мемантин (рис. 1, А, С). Это может указывать на изменение кластеризации или транспорта этих переносчиков к мембране в зависимости от присутствия глутамата в синаптической щели. Последующие исследования важны для подтверждения этой гипотезы.
Рис. 1. Экспрессия ЕААТ1 у животных, получавших и не получавших мемантин (mem). А — флуоресцентные микрофотографии срезов коры мозжечка, меченные анти-EAAT1 (слева) и обработанные с помощью программы «ImageJ» (справа). Мерные шкалы — 50 и 5 мкм соответственно; В — доля области, занимаемой анти-ЕААТ1-положительным сигналом; С — количество анти-EAAT1-положительных пятен. а/n — количество исследованных зон/животных. **p < 0,01.
Fig. 1. EAAT1 expression in animals receiving and not receiving memantine. A — fluorescent microphotographs of the cerebellar cortex slices labeled with anti-EAAT1 (left panel). The images processed with ImageJ software (right panel). Chart scales are 50 and 5 μm respectively. B — proportion of anti-EAAT1 positive signal area. C — total amount of anti-EAAT1 positive spots. а/n — number of examined areas/animals. **p < 0.01.
В то же время исследования показали, что введение мемантина снижает активность захвата глутамата как в лобно-теменной коре, так и в гиппокампе, не влияя на экспрессию переносчиков возбуждающих аминокислот [30].
Возможно, наблюдаемое увеличение экспрессии EAAT1 является компенсаторным механизмом и может быть объяснено ухудшением функции данного переносчика. Нарушение функции EAAT1 также подтверждает наблюдаемое нами увеличение τ ПВ-ВПСТ у СЦА1-мышей при длительном введении мемантина (рис. 2).
Рис. 2. Мемантин (mem) увеличивает постоянную времен спа- да (τ) амплитуды ПВ-ВПСТ в КП СЦА1-мышей. Представлена сводная диаграмма среднего времени спада ПВ- ВПСТ. Справа от графика расположены репрезентативные кривые. c/n — количество клеток/животных. *p < 0,05.
Fig. 2. Memantine increases the constant decay time (τ) of PF-EPSC amplitude in the PC of SCA1 mice. Summary diagram of the PF-EPSCs mean constant decay time (τ). Representative curves are presented on the right panel. c/n is the
number of cells/animals (*p < 0.05).
Одним из проявлений изменения экспрессии генов и результатом реактивации астроглии при СЦА1 является нарушение передачи сигналов глутамата. Отмечается снижение количества mGluR1 на мембранах КП, а также симпортёров глутамата EAAT4 и транспортёра глутамата и аспартата EAAT1 в глии Бергмана [31–34]. В результате нарушается ряд электрофизиологических функций КП, что влияет на процессы двигательного обучения и синаптической пластичности [33, 34].
Наиболее исследованными видами синаптической пластичности в синапсах ПВ с клетками Пуркинье являются облегчение парных импульсов, подавление импульса после деполяризации, SSE и долговременная депрессия (LTD). Среди них mGluR-зависимыми являются SSE и LTD, однако LTD вызывается сочетанным триггером: раздражением ПВ (активацией mGluR) и деполяризацией клетки Пуркинье [35]. Тем самым исследование данного типа синаптической пластичности не позволяет точно выявить облегчение mGluR-сигнализации в клетках Пуркинье из-за обязательного второго компонента раздражителя (деполяризации мембраны). LTD не вызывается не только в присутствии блокаторов mGluR, но и в отсутствие деполяризации мембраны [36]. Поэтому была исследована SSE как процесс, всецело зависящий от активации mGluR [25]. Ранжирование усиления mGluR-сигнализации можно косвенно, но точно определить с помощью восстановления кривой ПВ-ВПСТ после тетанус-стимуляции. При длительном применении мемантина увеличение количества нейромедиатора в синаптической щели позволяет глутамату накапливаться и активировать mGluR1, что способствует восстановлению SSE (рис. 4).
Рис. 3. Нарушение SSE после подавления mGluR1-зависимого пути передачи сигнала в присутствии СРССОЕt. А — динамика амплитуд ПВ-ВПСТ после тетанус-стимуляции ПВ. Над графиком представлены репрезентативные кривые токов непосредственно до стимуляции (точка 1, время –10 с на графике) и сразу после стимуляции (точка 2, время 0 с на графике). В — нормированные к достимуляционному уровню амплитуды непосредственно после стимуляции (в точке 2). с/n — количество клеток/животных. *p < 0,05.
Fig. 3. The SSE impairment after the inhibition of mGluR1-dependent signaling pathway in the presence of СРССОЕt. A — changes of PF-EPSC amplitudes after tetanic PF stimulation. Representative PF-EPSC curves above the chart: recorded immediately before the stimulation (point 1, 10 sec on the time axis) and after the stimulation (point 2, 0 sec on the time axis). B — amplitudes normalized to the pre-stimulation level immediately after the stimulation (point 2). с/n is the number of cells/animals. *p < 0.05.
Рис. 4. Восстановление SSE у СЦА1-мышей после длительного применения мемантина (mem). А — динамика амплитуд ВПСТ после тетанус-стимуляции ПВ. Над графиком представлены репрезентативные кривые токов непосредственно до стимуляции (точка 1, время –10 с на графике) и сразу после стимуляции (точка 2, время 0 с на графике). В — нормированные к достимуляционному уровню амплитуды непосредственно после стимуляции (в точке 2). с/n — количество клеток/животных. **p < 0,01; ***p < 0,001.
Fig. 4. SSE restoration in SCA1 mice after long-term memantine administration (mem). A — changes of PF-EPSC amplitudes after tetanic PF stimulation. Representative PF-EPSC curves above the chart: recorded immediately before the stimulation (point 1, 10 s on the time axis) and after the stimulation (point 2, 0 s on the time axis). B — amplitudes normalized to the pre-stimulation level immediately after the stimulation (point 2). с/n is the number of cells/animals.
**p < 0.01; ***p < 0.001.
Данный механизм в виде уменьшения обратного захвата глутамата из синаптической щели ПВ с клетками Пуркинье обусловлен долговременным эффектом мемантина. Это не приводит к нейродегенерации, поскольку NMDA-рецепторы остаются заблокированными мемантином. Однако увеличение содержания глутамата в синаптической щели позволяет ему достигать перисинаптических mGluR1 и индуцировать синаптическую пластичность, такую как SSE (рис. 4). Понимание этого процесса позволит назначать препараты с осознанием того, как они могут влиять на глутаматергическую систему.
Достижение баланса высвобождения и использования глутамата может стать ключом к лечению многих нейродегенеративных заболеваний. Понимание этих механизмов имеет решающее значение для планирования будущих клинических исследований.
Заключение
При нейродегенеративных заболеваниях мозжечка, в частности СЦА1, нарушение кратковременной синаптической пластичности, такой как SSE, в синапсах КП связано с деградацией mGluR на шипиках дендритов. В этой работе мы показали, что мемантин уменьшает обратный захват нейромедиатора посредством модуляции работы ЕААТ1 и усиливает mGluR-сигнализацию внутри КП. Наши исследования дополняют картину нарушений механизмов развития синаптической пластичности в нейронах мозжечка, понимание которых является необходимым элементом стратегии терапии нейродегенеративных состояний разного генеза.
Об авторах
Ольга Сергеевна Белозор
Красноярский государственный медицинский университет имени профессора В.Ф. Войно-Ясенецкого
Email: shuvaevan@krasgmu.ru
ORCID iD: 0000-0001-8384-5962
ассистент каф. биологической химии с курсами медицинской, фармацевтической и токсикологической химии
Россия, КрасноярскАлександр Александрович Васильев
Балтийский федеральный университет имени Иммануила Канта
Email: shuvaevan@krasgmu.ru
ORCID iD: 0000-0001-9288-842X
н.с. Научного и образовательного кластера МЕДБИО
Россия, КалининградАлександра Геннадьевна Милейко
Сибирский федеральный университет
Email: shuvaevan@krasgmu.ru
ORCID iD: 0009-0003-2623-0074
студент биологического факультета
Россия, КрасноярскЛюдмила Дмитриевна Мосина
Сибирский федеральный университет
Email: shuvaevan@krasgmu.ru
ORCID iD: 0009-0001-2839-6161
студент биологического факультета
Россия, КрасноярскИлья Геннадьевич Михайлов
Сибирский федеральный университет
Email: shuvaevan@krasgmu.ru
ORCID iD: 0009-0004-0022-1898
студент биологического факультета
Россия, КрасноярскАндрей Николаевич Шуваев
Сибирский федеральный университет
Email: shuvaevan@krasgmu.ru
ORCID iD: 0000-0002-3887-1413
к.ф.-м.н., зав. каф. медико-биологических систем и комплексов
Россия, КрасноярскАнтон Николаевич Шуваев
Красноярский государственный медицинский университет имени профессора В.Ф. Войно-Ясенецкого; Сибирский федеральный университет
Автор, ответственный за переписку.
Email: shuvaevan@krasgmu.ru
ORCID iD: 0000-0003-0078-4733
к.м.н., руководитель НИИ молекулярной медицины и патобиохимии
Россия, Красноярск; КрасноярскСписок литературы
- Opal P., Ashizawa T. Spinocerebellar Ataxia Type 1. In: M.P. Adam (ed.) GeneReviews. Seattle; 1998. doi: 10.1016/j.nbd.2021.105340
- Colleen A.S., La Spada A.R. The CAG-polyglutaminerepeat diseases: a clini- cal, molecular, genetic, and pathophysiologic nosology. Handbook of Clinical Neurology. 2018;147:143–170. doi: 10.1016/B978-0-444-63233-3.00011-7
- Paulson H.L., Shakkottai V.G., Clark H.B., Orr H.T. Polyglutamine spinocerebellar ataxias — from genes to potential treatments. Nat. Rev. Neurosci. 2017;18(10):613–626. doi: 10.1038/nrn.2017.92
- Lam Y.C., Bowman A.B., Jafar-Nejad P. et al. ATAXIN-1 interacts with the repressor capicua in its native complex to cause SCA1 neuropathology. Cell. 2006;127(7):1335–1347. doi: 10.1016/j.cell.2006.11.038
- Burright E.N., Clark H.B., Servadio A. et al. SCA1 transgenic mice: a model for neurodegeneration caused by an expanded CAG trinucleotide repeat. Cell. 1995;82(6):937–948. doi: 10.1016/0092-8674(95)90273-2
- Shuvaev A.N., Belozor O.S., Mozhei O., et al. Chronic optogenetic stimulation of Bergman glia leads to dysfunction of EAAT1 and Purkinje cell death, mimicking the events caused by expression of pathogenic ataxin-1.Neurobiol.Disease. 2021;154:105340. doi: 10.1016/j.nbd.2021.105340
- Shuvaev A.N., Hosoi N., Sato Y., el al. Progressive impairment of cerebellar mGluR signalling and its therapeutic potential for cerebellar ataxia in spino- cerebellar ataxia type 1 model mice. J. Physiol. 2017;595(1):141–164. doi: 10.1113/JP272950
- Matilla A., Roberson E.D., Banfi S. et al. Mice lacking ataxin-1 display learning deficits and decreased hippocampal paired-pulse facilitation. J. Neurosci. 1998;18(14):5508–5516. doi: 10.1523/JNEUROSCI.18-14-05508.1998
- Schmitt A., Asan E., Püschel B, Kugler P. Cellular and regional distribution of the GLAST glutamate transporter in the rat CNS: non-radioactive in situ hybridization and comparative immunocytochemistry. J. Neurosci.1997;17:1–10. doi: 10.1523/JNEUROSCI.17-01-00001.1997
- Todd A.C., Hardingham G.E. The regulation of astrocytic glutamate transporters in health and neurodegenerative diseases. Int. J. Mol. Sci. 2020; 21(24):9607. doi: 10.3390/ijms21249607
- Choi D.W. Excitotoxic cell death. J. Neurobiol. 1992;23(9):1261–1276. doi: 10.1002/neu.480230915
- Hardingham G.E., Bading H. Synaptic versus extrasynaptic NMDA receptor signalling: Implications for neurodegenerative disorders. Nat. Rev. Neurosci. 2010;11:682–696. doi: 10.1038/nrn2911
- Heidrich A., Rösler M., Riederer P. Pharmakotherapiebei Alzheimer-Demenz: Therapiekognitiver Symptomeneue Studienresultate Fortschr. Neurol. Psychiatr. 1997;65(3):108–121. doi: 10.1055/s-2007-996315
- Aljuwaiser M., Alayadhi N., Ozidu V. et al. Clinical indications of memantine in psychiatry-science or art? Psychopharmacol. Bull. 2023;53(1):30–38.
- Cummings C.J., Reinstein E., Sun Y. et al. Mutation of the E6-AP ubiquitin ligase reduces nuclear inclusion frequency while accelerating polyglutamine-induced pathology in SCA1 mice. Neuron. 1999;24(4):879–892. doi: 10.1016/s0896-6273(00)81035-1
- Pichardo-Rojas D., Pichardo-Rojas P.S., Cornejo-Bravo J.M., Serrano-Medina A. Memantine as a neuroprotective agent in ischemic stroke: preclinical and clinical analysis. Front. Neurosci. 2023;17:1096372. doi: 10.3389/fnins.2023.1096372
- Podkowa K., Czarnacki K., Borończyk A. et al. The NMDA receptor anta- gonists memantine and ketamine as anti-migraine agents. Naunyn Schmiedebergs Arch. Pharmacol. 2023;396(7):1371–1398. doi: 10.1007/s00210-023-02444-2
- Alzarea S., Abbas M., Ronan P.J. et al. The effect of an α-7 nicotinic allosteric modulator PNU120596 and NMDA receptor antagonist memantine on depressive-like behavior induced by LPS in mice: the involvement of brain microglia. Brain Sci. 2022;12(11):1493. doi: 10.3390/brainsci12111493
- Шуваев А.Н., Белозор О.С., Можей О.И. и др. Влияние реактивной глии Бергмана на кратковременную синаптическую пластичность в моделях мозжечковой нейродегенерации, вызванной хронической активацией ChR2 и экспрессией мутантного атаксина 1. Анналы клинической и экспериментальной неврологии. 2021;15(1):51–58. Shuvaev А.N., Belozor О.S., Mozjei O.I. et al. The effect of reactive Bergmann glia on short-term synaptic plasticity in cerebellar neurodegenerative models, caused by chronic activation of ChR2 and expression of the mutant ataxin-1. Annals of clinical and experimental neurology.2021;15(1):51–58.doi: 10.25692/ACEN.2021.1.6
- Liu B., Paton J.F., Kasparov S. Viral vectors based on bidirectional cell-specific mammalian promoters and transcriptional amplification strategy for use in vitro and in vivo. BMC Biotechnol. 2008;8:49. doi: 10.1186/1472-6750-8-49
- Hewinson J., Paton J.F., Kasparov S. Viral gene delivery: optimized protocol for production of high titer lentiviral vectors. Methods Mol. Biol. 2013;998:65–75. doi: 10.1007/978-1-62703-351-0_5
- Bachmanov A.A., Reed D.R., Beauchamp G.K., Tordoff M.G. Food intake, water intake, and drinking spout side preference of 28 mouse strains. Behav. Genet. 2002;32(6):435–443. doi: 10.1023/A:1020884312053
- Shuvaev A.N., Belozor O.S., Mozheiet O.I. et al. Indirect negative effect of mutant ataxin-1 on short- and long-term synaptic plasticity in mouse models of spinocerebellar ataxia type 1. Cells. 2022;11(14):2247. doi: 10.3390/cells11142247
- Maejima T., Hashimoto K., Yoshida T. et al. Presynaptic inhibition caused by retrograde signal from metabotropic glutamate to cannabinoid receptors. Neuron. 2001;31:463–475. doi: 10.1016/s0896-6273(01)00375-0
- Brown S.P., Brenowitz S.D., Regehr W.G. Brief presynaptic bursts evoke synapse-specific retrograde inhibition mediated by endogenous cannabinoids. Nat. Neurosci. 2003;6:1048–1057. doi: 10.1038/nn1126
- Marcaggi P., Attwell D. Endocannabinoid signaling depends on the spatial pattern of synapse activation. Nat. Neurosci. 2005;8(6):776–781. doi: 10.1038/nn1458
- Marcaggi P., Attwell D. Short- and long-term depression of rat cerebellar parallel fibre synaptic transmission mediated by synaptic crosstalk. J. Physiol. 2007;578:545–550. doi: 10.1113/jphysiol.2006.115014
- Parkin G.M., Udawela M., Gibbons A., Dean B. Glutamate transporters, EAAT1 and EAAT2, are potentially important in the pathophysiology and treatment of schizophrenia and affective disorders. World J. Psychiatry. 2018;8(2):51–63. doi: 10.5498/wjp.v8.i2.51.
- Duan S., Anderson C.M., Stein B.A., Swanson R.A. Glutamate induces ra- pid upregulation of astrocyte glutamate transport and cell-surface expression of GLAST. J. Neurosci. 1999;19:10193–10200. doi: 10.1523/JNEUROSCI.19-23-10193.1999
- Zimmer E.R., Torrez V.R., Kalinine E. et al. Long-term NMDAR antagonism correlates reduced astrocytic glutamate uptake with anxiety-like phenotype. Front. Cell. Neurosci. 2015;3:219. doi: 10.3389/fncel.2015.00219
- Serra H.G., Byam C.E., Lande J.D. et al. Gene profiling links SCA1 pathophysiology to glutamate signaling in Purkinje cells of transgenic mice. Hum. Mol. Genet. 2004;13(20):2535–2543. doi: 10.1093/hmg/ddh268
- Notartomaso S., Zapulla C., Biagioni F. et al. Pharmacological enhancement of mGlu1 metabotropic glutamate receptors causes a prolonged symptomatic benefit in a mouse model of spinocerebellar ataxia type 1. Mol. Brain. 2013;6:48. doi: 10.1186/1756-6606-6-48
- Power E.M., Morales A., Empson R.M. Prolonged type 1 metabotropic glutamate receptor dependent synaptic signaling contributes to spino-cerebellar ataxia type 1. J. Neurosci. 2016;36(1):4910–4916. doi: 10.1523/jneurosci.3953-15.2016
- Cvetanovic M. Decreased expression of glutamate transporter GLAST in Bergmann glia is associated with the loss of Purkinje neurons in the spino- cerebellar ataxia type 1. Cerebellum. 2014;14(1):8–11. doi: 10.1007/s12311-014-0605-0
- Tabata T., Kano M. In: Handbook of Neurochemistry and Molecular Neurobiology. N.Y.; 2009:63–86.
- Jin Y., Kim S.J., Kim J. et al. Long-term depression of mGluR1 signaling. Neuron. 2007;55(2):277–287. doi: 10.1016/j.neuron.2007.06.035









