Нейровизуализационные дифференциально-диагностические маркеры при мультифокальной моторной нейропатии и мультифокальном варианте хронической воспалительной демиелинизирующей полинейропатии
- Авторы: Тумилович Т.А.1, Синькова В.В.1, Гришина Д.А.1, Супонева Н.А.1, Морозова С.Н.1, Кротенкова М.В.1, Мансурова А.В.1, Чечёткин А.О.1
-
Учреждения:
- Научный центр неврологии
- Выпуск: Том 18, № 1 (2024)
- Страницы: 20-32
- Раздел: Оригинальные статьи
- Статья получена: 27.10.2023
- Статья одобрена: 29.11.2023
- Статья опубликована: 05.04.2024
- URL: https://annaly-nevrologii.com/pathID/article/view/1054
- DOI: https://doi.org/10.54101/ACEN.2024.1.3
- ID: 1054
Цитировать
Аннотация
Введение. Одинаковый асимметричный паттерн двигательных нарушений и однонаправленные нейрофизиологические изменения, регистрируемые при мультифокальной моторной нейропатии (ММН) и мультифокальном варианте хронической воспалительной демиелинизирующей полинейропатии (мХВДП), усложняют проведение дифференциального диагноза между этими двумя хроническими дизиммунными нейропатиями, терапевтическая тактика которых существенно различается. Отсутствие отличительных специфических параклинических маркёров зачастую приводит к ошибочному суждению о диагнозе и выбору неэффективной патогенетической терапии. Актуален прицельный поиск внутригрупповых нейровизуализационных различий.
Цель исследования: определить нейровизуализационные дифференциально-диагностические маркеры при ММН и мХВДП.
Материалы и методы. В исследование были включены 65 пациентов: 30 — с диагнозом ММН и 35 — с диагнозом мХВДП, наблюдающиеся в Центре заболеваний периферической нервной системы ФГБНУ «Научный центр неврологии». Проведены ретроспективный анализ клинико-эпидемиологических характеристик пациентов, сонографическое и магнитно-резонансное (МРТ) обследования.
Результаты. У пациентов с мХВДП по сравнению с ММН при УЗИ длинных периферических нервов рук, спинномозговых нервов и стволов плечевых сплетений отмечены значимо бóльшие величины площади поперечного сечения и частота регистрации интраневральных сонографических изменений. С помощью ROC-анализа определены пороговые величины площади поперечного сечения срединного нерва, значимые для дифференциальной диагностики ММН и мХВДП. В 41,4% случаев у пациентов с ММН МРТ-картина исследования плечевых сплетений была сопоставима с нормой, при мХВДП патологические изменения не выявлены в 27,3% случаев. При этом наличие STIR-гиперинтенсивного сигнала от плечевых сплетений наиболее характерно для пациентов с мХВДП и встречалось более чем в 70% случаев.
Заключение. В ходе настоящего исследования впервые в России на большой выборке пациентов проведён детальный сравнительный анализ данных нейровизуализационных методов исследования у пациентов с ММН и мХВДП; определены сонографические дифференциально-диагностические маркеры, показаны преимущества и ограничения ультразвукового и МРТ-исследований плечевых сплетений, спиномозговых и периферических нервов в диагностике мультифокальных хронических дизиммунных нейропатий.
Полный текст
Введение
Одинаковый асимметричный паттерн двигательных нарушений и однонаправленные нейрофизиологические изменения, регистрируемые при мультифокальной моторной нейропатии (ММН) и мультифокальном варианте хронической воспалительной демиелинизирующей полинейропатии (мХВДП), усложняют проведение дифференциального диагноза между этими двумя хроническими дизиммунными нейропатиями (ХДН), терапевтическая тактика которых существенно различается [1, 2]. Несмотря на постоянное совершенствование критериев диагностики ХВДП и ММН, отсутствие отличительных специфических параклинических маркёров зачастую приводит к ошибочному суждению о диагнозе, что в дальнейшем обусловливает выбор неэффективной патогенетической терапии [1–3].
Значимость нейровизуализационных методов исследования периферических нервов и плечевых сплетений (ПС) — ультразвукового исследования (УЗИ) и магнитно-резонансной томографии (МРТ) — в диагностике ХДН к настоящему времени доказана [4–6]. Однако возможности указанных методов диагностики при проведении дифференциального диагноза между ММН и мХВДП и их взаимозаменяемость активно обсуждаются.
Цель исследования: определить нейровизуализационные дифференциально-диагностические маркеры при ММН и мХВДП.
Материалы и методы
В исследование были включены пациенты с диагнозом ММН (n = 30) и мХВДП (n = 35), наблюдающиеся в Центре заболеваний периферической нервной системы ФГБНУ «Научный центр неврологии».
Критерии включения в исследование:
- возраст старше 18 лет;
- соответствие диагностическим критериям ХВДП (European Academy of Neurology/Peripheral Nerve Society (EAN/PNS), 2021);
- соответствие диагностическим критериям ММН (EFNS/ PNS, 2010);
- подписание добровольного информированного согласия на участие в исследовании.
Критерии исключения из исследования:
- возраст менее 18 лет;
- несоответствие диагностическим критериям ММН и ХВДП;
- наличие противопоказаний к проведению сонографического и МРТ- исследования;
- тяжёлые соматические заболевания в стадии декомпенсации;
- отказ от участия в исследовании.
Проведён ретроспективный анализ клинико-эпидемиологических характеристик включённых в исследование пациентов (пол, возраст на момент дебюта заболевания и на момент включения в исследование, длительность заболевания, длительность от дебюта симптоматики до начала патогенетического лечения).
Сонографическое обследование выполняли на приборе «Philips Elite» в В-режиме с использованием линейного датчика с частотой 4–18 МГц. Исследовали длинные периферические нервы верхних конечностей с двух сторон (срединные, локтевые и лучевые нервы) в 23 точках, а также ПС в 7 областях справа и слева. В каждой точке исследования оценивали площадь поперечного сечения нерва (ППС), которую измеряли с помощью функции эллипса или вручную в случае неправильной формы поперечного сечения по внутреннему краю гиперэхогенной границы нерва. За нормативные значения ППС исследуемых структур были взяты показатели, представленные в работах A. Kerasnoudis и соавт. [7] и A. Grimm и соавт. [8]. В каждой точке исследования анализировали также интраневральные изменения, классифицируемые по алгоритму L. Padua и соавт. [9].
МРТ-исследование пациентов проводили на магнитно-резонансном томографе «Magnetom Siemens Prisma» с величиной индукции магнитного поля 3 Т по единому стандартному протоколу. Для оценки толщины и интенсивности МР-сигнала использовали трёхмерную последовательность STIR с высоким разрешением (TR = 3000 мс; TE = 281 мс; TI = 230 мс, размер реконструированного воксела 0,4 × 0,4 × 0,9 мм, FOV = 350 мм, количество срезов 144, длительность сканирования 7 мин 27 с). У каждого испытуемого измеряли толщину передних ветвей спинномозговых нервов на уровне C4–С7 (N5–N7) на равноудалённом расстоянии от соответствующего ганглия с обеих сторон, а также на уровне максимального утолщения; для статистического анализа использовали наибольший показатель. Кроме того, качественно оценивали интенсивность МР-сигнала от ПС на всём видимом уровне. При оценке МРТ-изображений использовали рекомендованные нормативы EAN/РNS (2021), где пороговым показателем нормальной толщины являются 5 мм в коронарном изменении. В данной работе мы представляем оценку данного параметра, опираясь на вышеупомянутый принятый на сегодняшний день единый норматив (утолщены/не утолщены). Кроме того, в режиме STIR качественно оценивали интенсивность МР-сигнала от ПС (повышена/не повышена), опираясь на опыт врача-рентгенолога, без использования количественных методик.
Статистический анализ проводили с применением программного пакета «SPSS Statistics v. 23.0» («IBM»). Во всех случаях использовали двусторонние варианты статистических критериев. Тип распределения количественных показателей оценивали путём анализа частотных гистограмм. Для описания количественных переменных использовали медиану (Me) и квартили [Q1; Q3], а также среднее и стандартное отклонение (при нормальном распределении), для описания категориальных переменных — частоту и долю (в процентах).
Для сравнения 2 несвязанных групп по количественным переменным с нормальным распределением применяли Т-тест для несвязанных совокупностей, с ненормальным распределением — тест Манна–Уитни; для сравнения 2 несвязанных групп по категориальным переменным использовали тест χ2 Пирсона, а при наличии ограничений к его применению — точный критерий Фишера. Для оценки возможностей использования ППС срединного нерва в качестве диагностического маркёра проводили ROC-анализ. Оптимальные пороговые значения показателей определяли с учетом индекса Йодена, который рассчитывается как сумма чувствительности и специфичности минус 1.
Результаты
В исследование было включено 65 пациентов: 30 пациентов с ММН (1-я группа) — 12 (40%) женщин и 18 (60%) мужчин в возрасте 34–68 лет (Ме = 49,0 [41, 0; 56, 0]) и 35 пациентов с мХВДП (2-я группа) — 9 (25,7%) женщин и 26 (74,3%) мужчин в возрасте 25–78 лет (Ме = 52,0 [40, 0; 61, 0]; табл. 1). Гендерных и возрастных различий в группах не отмечено. Длительность заболевания у пациентов с ММН оказалась статистически значимо большей по сравнению с больными с мХВДП (p = 0,001). Группы состояли из получавших ранее патогенетическое лечение и нативных пациентов: в группе ММН — 24 (80%) и 6 (20%) пациентов, в группе мХВДП — 20 (57%) и 15 (43%) пациентов соответственно.
Таблица 1. Эпидемиологические и клинико-анамнестические данные включённых в исследование пациентов
Table 1. Epidemiological, clinical and medical history data of patients included in the study
Характеристика Characteristic | Пациенты с ММН Patients with MMN | Пациенты с мХВДП Patients with MADSAM | p | |
Число пациентов | Number of participants | 30 | 35 | – | |
Пол | Sex | мужской | male, n (%) | 18 (60,0%) | 26 (74,3%) | 0,290 |
женский | female, n (%) | 12 (40,0%) | 9 (25,7%) | ||
Возраст на момент включения в исследование, лет Enrollment age, years | М ± SD | 49,7 ± 10,1 | 51,5 ± 12,4 | 0,519 |
Me [Q1; Q3] | ||||
Длительность заболевания, лет Disease duration, years | Me [Q1; Q3] | 0,001 | ||
Сравнительная оценка результатов УЗИ длинных периферических нервов верхних конечностей у пациентов с ММН и мХВДП
Сравнительный анализ результатов УЗИ длинных периферических нервов верхних конечностей в 23 точках с каждой стороны показал, что различия между двумя группами пациентов при пороговом уровне значимости менее 0,05 выявляются в 34 (73,9%) точках из 46 возможных. В этой связи пороговый уровень значимости был повышен до 0,005, что позволило сократить количество точек, в которых выявлялись статистически значимые различия между группами, до 12 (26%) (табл. 2).
Таблица 2. Сравнительный анализ сонографических изменений, выявляемых при УЗИ длинных периферических нервов рук у пациентов с ММН и мХВДП, мм2 (Ме [Q1; Q3])
Table 2. Comparative evaluation of USG findings on the long peripheral nerves of the upper extremities in patients with MMN and MADSAM, mm2 (Ме [Q1; Q3])
Нерв и уровень исследования Nerve and assessment level | Нормативные значения ППС Reference CSAs | Сторона Side | Пациенты с ММН Patients with MMN | Пациенты с мХВДП Patients with MADSAM | p | |||
Периферические нервы | Peripheral nerves | Срединный нерв | Median nerve | лучезапястный сустав radiocarpal joint | < 10 | Правая Right | 0,598 | |||
< 10 | Левая Left | 0,298 | ||||||
предплечье antebrachium | нижняя треть lower third | < 10 | Правая Right | 0,120 | ||||
предплечье antebrachium | нижняя треть lower third | < 10 | Левая Left | 0,001 | ||||
предплечье antebrachium | средняя треть middle third | < 10 | Правая Right | 0,011 | ||||
предплечье antebrachium | средняя треть middle third | < 10 | Левая Left | 0,036 | ||||
предплечье antebrachium | верхняя треть upper third | < 10 | Правая Right | < 0,001 | ||||
предплечье antebrachium | верхняя треть upper third | < 10 | Левая Left | 0,039 | ||||
локтевой сгиб antecubital fossa | < 12,5 | Правая Right | 0,006 | |||||
< 12,5 | Левая Left | 0,001 | ||||||
плечо brachium | нижняя треть lower third | < 12 | Правая Right | 0,040 | ||||
плечо brachium | нижняя треть lower third | < 12 | Левая Left | 0,003 | ||||
плечо brachium | средняя треть middle third | < 12 | Правая Right | 0,069 | ||||
плечо brachium | средняя треть middle third | < 12 | Левая Left | 0,006 | ||||
плечо brachium | верхняя треть upper third | < 12 | Правая Right | 0,004 | ||||
плечо brachium | верхняя треть upper third | < 12 | Левая Left | 0,035 | ||||
подмышечная ямка axillary fossa | < 12 | Правая Right | 0,004 | |||||
< 12 | Левая Left | < 0,001 | ||||||
Локтевой нерв | Ulnar nerve | лучезапястный сустав radiocarpal joint | < 6 | Правая Right | 0,693 | ||||
< 6 | Левая Left | 0,053 | ||||||
предплечье antebrachium | нижняя треть lower third | < 8,5 | Правая Right | 0,241 | ||||
предплечье antebrachium | нижняя треть lower third | < 8,5 | Левая Left | 0,015 | ||||
предплечье antebrachium | средняя треть middle third | < 8,5 | Правая Right | 0,047 | ||||
предплечье antebrachium | средняя треть middle third | < 8,5 | Левая Left | 0,033 | ||||
предплечье antebrachium | верхняя треть upper third | < 8,5 | Правая Right | 0,107 | ||||
предплечье antebrachium | верхняя треть upper third | < 8,5 | Левая Left | 0,001 | ||||
Периферические нервы | Peripheral nerves | Локтевой нерв | Ulnar nerve | локтевой сгиб antecubital fossa | < 10 | Правая Right | 0,608 | |||
< 10 | Левая Left | 0,016 | ||||||
плечо brachium | нижняя треть lower third | < 9,5 | Правая Right | 0,024 | ||||
плечо brachium | нижняя треть lower third | < 9,5 | Левая Left | 0,017 | ||||
плечо brachium | средняя треть middle third | < 9,5 | Правая Right | 0,045 | ||||
плечо brachium | средняя треть middle third | < 9,5 | Левая Left | 0,100 | ||||
плечо brachium | верхняя треть upper third | < 9,5 | Правая Right | 0,003 | ||||
плечо brachium | верхняя треть upper third | < 9,5 | Левая Left | 0,007 | ||||
подмышечная ямка axillary fossa | < 9,5 | Правая Right | 0,002 | |||||
< 9,5 | Левая Left | 0,008 | ||||||
Лучевой нерв | Radial nerve | локтевой сгиб antecubital fossa | Правая Right | 0,010 | |||||
Левая Left | 0,041 | |||||||
плечо brachium | нижняя треть lower third | < 3 | Правая Right | 0,111 | ||||
плечо brachium | нижняя треть lower third | < 3 | Левая Left | 0,067 | ||||
плечо brachium | средняя треть middle third | < 3 | Правая Right | 0,039 | ||||
плечо brachium | средняя треть middle third | < 3 | Левая Left | 0,002 | ||||
плечо brachium | верхняя треть upper third | < 3 | Правая Right | 0,004 | ||||
плечо brachium | верхняя треть upper third | < 3 | Левая Left | 0,044 | ||||
подмышечная ямка axillary fossa | Правая Right | 0,031 | ||||||
Левая Left | 0,006 | |||||||
У пациентов с мХВДП по сравнению с пациентами с ММН значения средней величины ППС срединного нерва с одной из сторон оказались значимо выше при исследовании нерва на уровне нижней и верхней третей предплечья, на уровне локтевого сгиба, нижней и верхней третей плеча и с двух сторон в подмышечной области (р < 0,005). При визуализации локтевого нерва подобные изменения наблюдались на уровне верхней трети предплечья, плеча и в подмышечной области с одной из сторон исследования (р < 0,005); при исследовании лучевого нерва — на уровне средней и верхней третей плеча с одной стороны (р < 0,005; табл. 2).
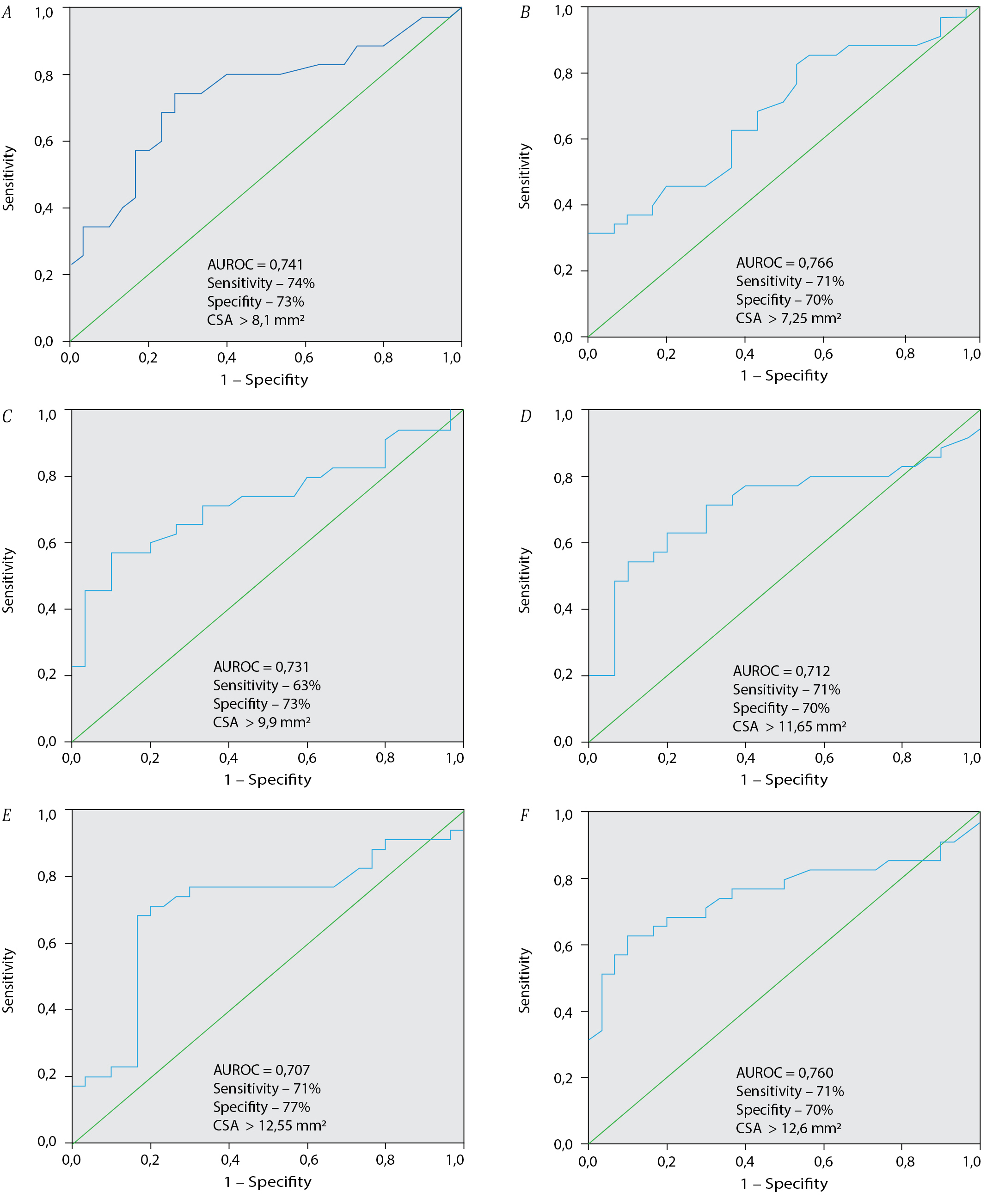
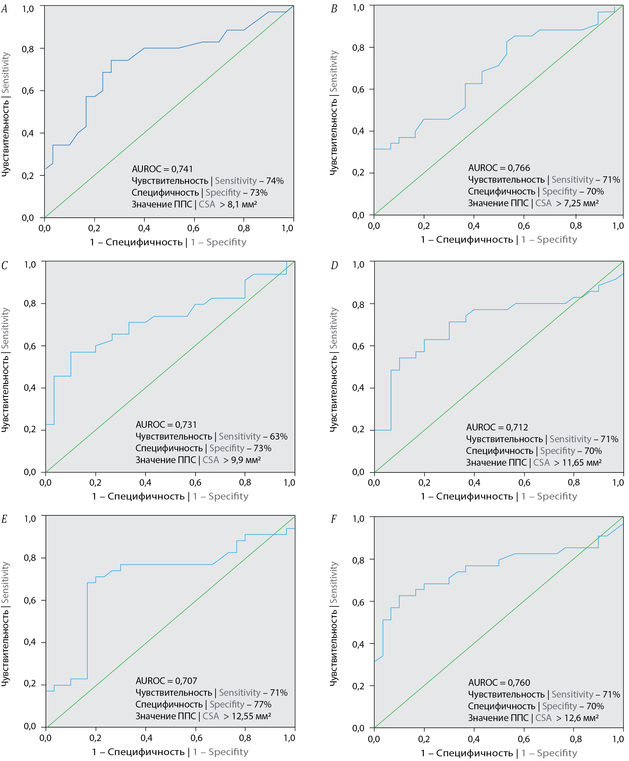
Учитывая, что наиболее часто разница между группами была получена при исследовании срединного нерва на разных уровнях, для оценки возможностей использования значения величины ППС срединного нерва в дифференциальном диагнозе между ММН и мХВДП проведён ROC-анализ. Учитывали модели с площадью под ROC-кривой (AUC) более 0,700. Пороговой величиной ППС срединного нерва, исследованного с одной из сторон, имеющей значимость в дифференциальной диагностике ММН и мХВДП и указывающей в пользу последней, оказалось значение:
- на уровне нижней трети предплечья ≥ 8,10 мм2 (AUC = 0,741; чувствительность 74%; специфичность 73%; рис. 1, А);
- на уровне верхней трети предплечья справа ≥ 7,25 мм2 (AUC = 0,766; чувствительность 71%; специфичность 70%; рис. 1, В);
- на уровне локтевого сгиба ≥ 9,9 мм2 (AUC = 0,731; чувствительность — 63%; специфичность — 73%; рис. 1, С);
- на уровне нижней трети плеча ≥ 11,65 мм2 (AUC = 0,712; чувствительность — 71%; специфичность — 70%; рис. 1, D);
- на уровне верхней трети плеча ≥ 12,55 мм2 (AUC = 0,707; чувствительность — 71%; специфичность — 77%; рис. 1, Е);
- в подмышечной области ≥ 12,6 мм2 (AUC = 0,760; чувствительность — 71%; специфичность — 70%; рис. 1, F).
Рис. 1. ROC-анализ значимости величины ППС срединного нерва на разных уровнях исследования в дифференциальной диагностике ММН и мХВДП.
Fig. 1. ROC analysis of the significance of the median nerve CSA at various levels for the differential diagnosis between MMN and MADSAM.
Сонографические изменения в обеих группах ожидаемо носили асимметричный характер, учитывая патофизиологические и клинические особенности рассматриваемых ХДН.
Сравнительный анализ УЗ-паттерна интраневральных сонографических изменений по классификации L. Pauda в точках исследования нервов рук показал, что указанные изменения достоверно чаще выявляются у пациентов в группе мХВДП, в то время как при ММН регистрируются в единичных случаях. Так, статистически значимо чаще интраневральные изменения 1-го или 2-го типа (увеличение ППС, увеличение отдельных фасцикул) выявлялись у пациентов с мХВДП при исследовании срединных нервов на уровне локтевого сгиба (р = 0,003), нижней трети плеча (р = 0,012) и подмышечной области (р = 0,019); при исследовании локтевых нервов — в нижней (справа р = 0,013; слева р = 0,007) и средней (р = 0,008) трети плеча и подмышечной области (р = 0,003), и при исследовании лучевых нервов — на уровне средней (р = 0,013) и верхней (р = 0,017) третей плеча.
Таким образом, у пациентов с мХВДП по сравнению с пациентами с ММН при УЗИ длинных периферических нервов рук отмечены значимо большая величина ППС и частота регистрации интраневральных сонографических изменений. Определены пороговые значения ППС срединных нервов на разных уровнях исследования, имеющие значимость в дифференциальной диагностике ММН и мХВДП.
Сравнительная оценка результатов УЗИ спинномозговых нервов и ПС у пациентов с ММН и мХВДП
Увеличение диаметра спинномозговых нервов и ППС стволов ПС при УЗИ данных структур выявлено у 26 (87%) пациентов с ММН и у 32 (94%) пациентов с мХВДП. При этом исключительно односторонние изменения визуализировались у 6 (23%) из 26 пациентов с ММН и 3 (9%) из 32 пациентов с мХВДП (рис. 2).
Рис. 2. Сонографическое исследование стволов ПС у пациента с мХВДП (катамнез 8 лет, исследование выполнено до начала патогенетической терапии). При поперечном сканировании в межлестничном промежутке визуализируются три первичных ствола с увеличением ППС верхнего до 33,6 мм2 ( А), среднего до 68,9 мм2 ( В) и нижнего до 94,8 мм2 (С) (норма < 8 мм2).
Fig. 2. USG of BP trunks in a patient with MADSAM (8-year follow-up history, pre-therapy assessment). In the cross section, three primary trunks are seen in the scalene part, with enlarged upper (≤ 33.6 mm2; А), middle (≤ 68.9 mm2; В),
and lower (≤ 94.8 mm2; С) primary trunks (reference < 8 mm2).
У пациентов с мХВДП по сравнению с пациентами с ММН значения средней величины диаметра спинномозговых нервов и ППС стволов ПС с одной из сторон оказались статистически значимо больше (табл. 3). Значимая разница среднего значения ППС была отмечена при УЗИ на уровне среднего и нижнего стволов ПС с одной из сторон; а также при поперечном сканировании области надключичной ямки (p < 0,01).
У пациентов с мХВДП по сравнению с пациентами с ММН значения средней величины диаметра спинномозговых нервов и ППС стволов ПС с одной из сторон оказались статистически значимо больше (табл. 3). Значимая разница среднего значения ППС была отмечена при УЗИ на уровне среднего и нижнего стволов ПС с одной из сторон; а также при поперечном сканировании области надключичной ямки (p < 0,01).
Таблица 3. Сравнительный анализ изменений, выявляемых при УЗИ спинномозговых нервов и ПС у пациентов с ММН и мХВДП, Ме [Q1; Q3]
Table 3. Comparative evaluation of USG findings of the spinal nerves and the BPs in patients with MMN and MADSAM, Ме [Q1; Q3]
Уровень исследования Assessed level | Сторона Side | Пациенты с ММН Patients with MMN | Пациенты с мХВДП Patients with MADSAM | p | |
Спинномозговые нервы, мм Spinal nerves, mm | С5 | Правая Right | 0,022 | ||
Спинномозговые нервы, мм Spinal nerves, mm | С5 | Левая Left | 0,171 | ||
Спинномозговые нервы, мм Spinal nerves, mm | С6 | Правая Right | 0,134 | ||
Спинномозговые нервы, мм Spinal nerves, mm | С6 | Левая Left | 0,023 | ||
Спинномозговые нервы, мм Spinal nerves, mm | С7 | Правая Right | 0,040 | ||
Спинномозговые нервы, мм Spinal nerves, mm | С7 | Левая Left | 0,039 | ||
ППС стволов ПС, мм2 BP trunk CSA, mm2 | верхний ствол upper trunk (n < 8) | Правая Right | 0,124 | ||
ППС стволов ПС, мм2 BP trunk CSA, mm2 | верхний ствол upper trunk (n < 8) | Левая Left | 0,069 | ||
ППС стволов ПС, мм2 BP trunk CSA, mm2 | средний ствол middle trunk (n < 8) | Правая Right | 0,040 | ||
ППС стволов ПС, мм2 BP trunk CSA, mm2 | средний ствол middle trunk (n < 8) | Левая Left | 0,009 | ||
ППС стволов ПС, мм2 BP trunk CSA, mm2 | нижний ствол lower trunk (n < 8) | Правая Right | 0,095 | ||
ППС стволов ПС, мм2 BP trunk CSA, mm2 | нижний ствол lower trunk (n < 8) | Левая Left | 0,004 | ||
ППС надключичной области, мм2 Supraclavicular fossa CSA, mm2 | Правая Right | 0,024 | |||
ППС надключичной области, мм2 Supraclavicular fossa CSA, mm2 | Левая Left | 0,002 | |||
Таким образом, у пациентов с мХВДП по сравнению с пациентами с ММН при УЗИ спинномозговых нервов и стволов ПС отмечены значимо бóльшие величины диаметров и ППС соответственно.
Сравнительная оценка результатов МР-исследования ПС у пациентов с ММН и мХВДП
Магнитно-резонансное исследование ПС было выполнено у 29 пациентов с ММН и 33 пациентов с мХВДП. Основная причина отказа пациентов от исследования — страх замкнутого пространства (клаустрофобия). В 41,4% случаев у пациентов с ММН МР-картина исследования ПС была сопоставима с нормой, у пациентов с мХВДП патологические изменения не были выявлены в 27,3% случаев (табл. 4). Частота регистрации увеличения стволов ПС была одинаковой в обеих группах (p > 0,05). При этом наличие STIR-гиперинтенсивного сигнала от ПС наиболее характерно для пациентов с мХВДП и встречалось более чем в 70% случаев.
Таблица 4. Сравнительный анализ изменений, выявляемых при МРТ ПС и спинномозговых нервов, у пациентов с ММН и мХВДП, n (%)
Table 4. Comparative evaluation of BP and spinal nerve MRI changes in the patients with MMN and MADSAM, n (%)
Характеристика Characteristic | Сторона Side | Пациенты с ММН Patients with MMN | Пациенты с мХВДП Patients with MADSAM | p | |
Увеличение стволов ПС Enlarged BP trunks | верхний ствол upper trunk | Правая Right | 9 (31,0%) | 16 (48,5%) | 0,200 |
Увеличение стволов ПС Enlarged BP trunks | верхний ствол upper trunk | Левая Left | 8 (27,6%) | 17 (51,5%) | 0,072 |
Увеличение стволов ПС Enlarged BP trunks | средний ствол middle trunk | Правая Right | 13 (44,8%) | 20 (60,6%) | 0,308 |
Увеличение стволов ПС Enlarged BP trunks | средний ствол middle trunk | Левая Left | 13 (44,8%) | 20 (60,6%) | 0,308 |
Увеличение стволов ПС Enlarged BP trunks | нижний ствол lower trunk | Правая Right | 13 (44,8%) | 18 (54,5%) | 0,611 |
Увеличение стволов ПС Enlarged BP trunks | нижний ствол lower trunk | Левая Left | 12 (41,4%) | 17 (51,5%) | 0,456 |
STIR-гиперинтенсивный сигнал от структур ПС (всего) STIR hyperintense BP signal (total) | Правая Right | 16 (55,2%) | 24 (72,7%) | 0,188 | |
STIR-гиперинтенсивный сигнал от структур ПС (всего) STIR hyperintense BP signal (total) | Левая Left | 14 (48,3%) | 27 (81,8%) | 0,007 | |
STIR-гиперинтенсивный сигнал от структур ПС без увеличения стволов ПС STIR hyperintense BP signal without enlarged BP trunks | – | 5 (17,2%) | 6 (18,2%) | 1,000 | |
Отсутствие изменений No changes | – | 12 (41,4%) | 9 (27,3%) | 0,289 | |
При качественном анализе получено несколько вариантов изменённой МР-картины стволов ПС в анализируемой выборке пациентов:
- симметричное выраженное диффузное утолщение ПС с двух сторон: в группе ММН — у 10 (34,5%) пациентов; в группе мХВДП — у 17 (51,5%) (рис. 3);
- асимметричное, диффузное утолщение ПС: в группе ММН — у 3 (10,3%) пациентов; в группе мХВДП — у 2 (6%) (рис. 4);
- локальное утолщение структур ПС: в группе ММН — у 4 (13,8%) пациентов; в группе мХВДП — у 5 (15,2%) (рис. 5);
- изолированное повышение МР-сигнала в режиме STIR без увеличения стволов ПС: в группе ММН — у 5 (17,2%) пациентов; в группе мХВДП — у 6 (18,2%) (рис. 6).
Таким образом, качественный анализ результатов МРТ-исследования ПС продемонстрировал достаточно однонаправленные изменения, которые не позволяют достоверно дифференцировать мХВДП и ММН.
Рис. 3. МРТ ПС пациента с ММН (катамнез 13 лет, проводится поддерживающая терапия внутривенным иммуноглобулином в дозе 1 г/кг 1 раз в 4 нед). В режиме STIR в коронарной проекции отмечается равномерное, симметричное выраженное (до 8 мм) утолщение ПС с двух сторон, сопровождающееся повышением МР-сигнала.
Fig. 3. MRI of BPs in a MMN patient (13-year follow-up history; assessed on maintenance therapy: intravenous immunoglobulin 1 g/kg every 4 weeks). The coronal STIR MRI showed significant (≤ 8 mm) bilateral uniform symmetric BP thickening, with hyperintense signal.
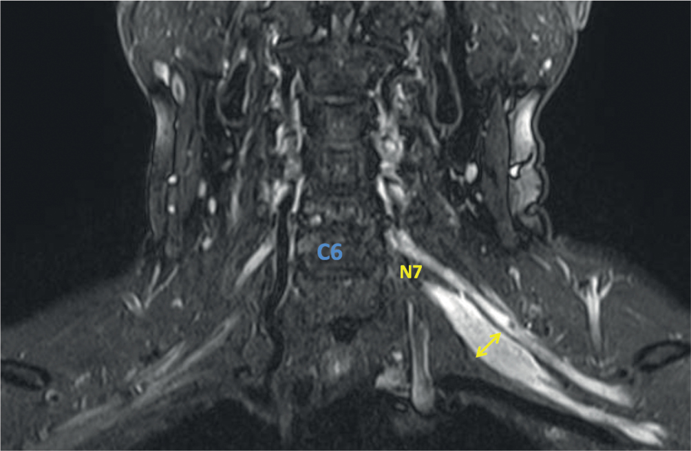
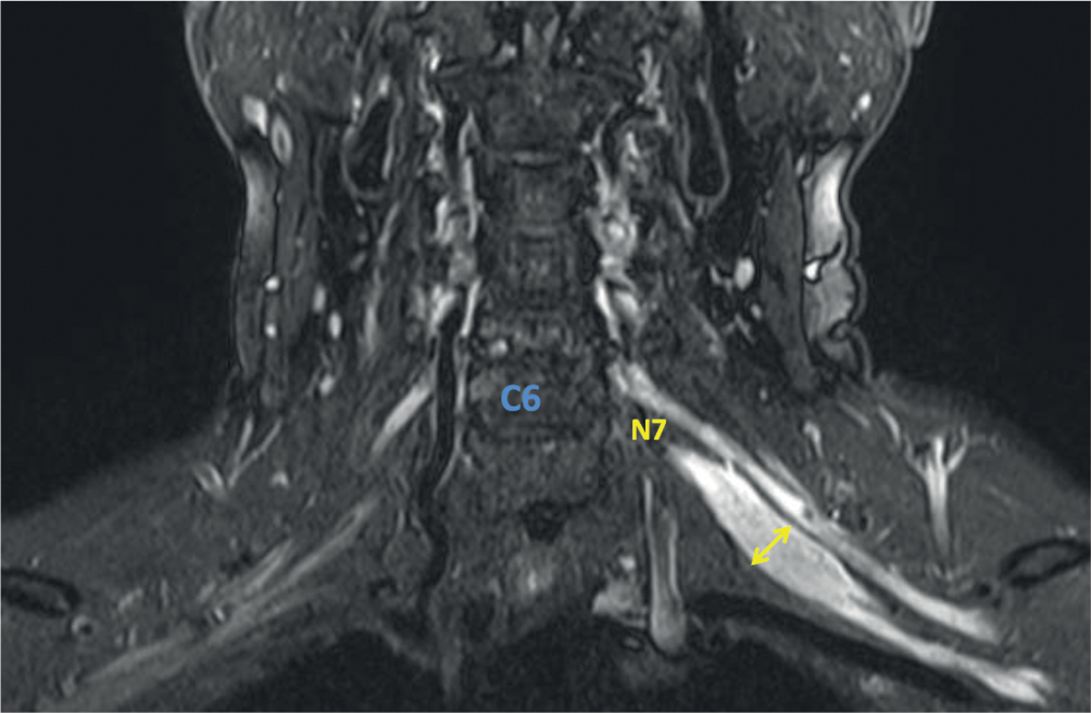
Рис. 4. МРТ ПС пациента с мХВДП (катамнез 6 лет, проводится поддерживающая терапия внутривенным иммуноглобулином в дозе 1 г/кг 1 раз в 12 нед в течение 2 лет). В режиме STIR в коронарной проекции справа определяется диффузное выраженное утолщение N7 до 12 мм, сопровождающие повышением МР-сигнала. Повышение МР-сигнала отмечается и от других элементов ПС справа на всём видимом уровне без изменения толщины. Слева изменений нет.
Fig. 4. MRI of BPs in a MADSAM patient (6-year follow-up history; assessed on maintenance therapy: intravenous immunoglobulin 1 g/kg every 12 weeks for 2 years). The coronal STIR MRI showed right-sided significant (≤ 12 mm)
diffuse N7 thickening, with hyperintense signal. Hyperintense MRI signals from other right-sided BP elements were registered at the entire visible level with unchanged thickness. No changes on the left side.
Рис. 5. МРТ ПС пациента с ММН (катамнез 10 лет, исследование выполнено до начала патогенетической терапии). В режиме STIR в коронарной проекции отмечается локальное утолщение N7 слева на уровне первичного ствола до 11 мм, сопровождающиеся повышением МР-сигнала. Толщина других элементов ПС не изменена, однако МР-сигнал от них повышен с двух сторон.
Fig. 5. BP MRI in a MMN patient (10-year follow-up history, pre-therapy assessment). The coronal STIR MRI showed left-sided local N7 (≤ 11 mm) primary trunk thickening, with hyperintense signal. Thickness of other BP elements remained unchanged; however, hyperintense MRI signal was registered bilaterally.
Рис. 6. МРТ ПС пациента с мХВДП (катамнез 6 лет, исследование выполнено на фоне терапии глюкокортикостероидами в течение 2 лет). Отмечается повышение МР-сигнала в режиме STIR на всем видимом уровне с двух сторон без утолщения стволов ПС.
Fig. 6. MRI of BPs in a MADSAM patient (6-year follow-up history; assessed during 2-year glucocorticosteroid therapy). Hyperintense STIR MRI signal bilaterally at the entire visible level without any thickened BP trunks.
Обсуждение
Первое описание ультразвуковой картины при ХВДП представлено в работе N. Taniguchi и соавт. [10]. Утолщение периферических нервов и проксимальных отделов ПС было обнаружено при рутинном УЗИ щитовидной железы у пациентки с трёхлетним катамнезом заболевания ХВДП [10]. Доступность и отсутствие инвазивного воздействия УЗИ инициировало дальнейшее изучение сонографической картины периферических нервов на когорте пациентов с полинейропатиями различного генеза.
Первые работы были проведены на ограниченных выборках пациентов. В 2004 г. N. Matsuoka и соавт. обследовали 13 пациентов с ХВДП и зафиксировали увеличение в размере шейных спинномозговых нервов в 69% случаев [11], а в 2009 г. C. Zaidman и соавт. обследовали 36 человек с ХВДП и выявили более чем двукратное диффузное увеличение срединных и локтевых нервов в сравнении с контрольной группой, установили прямую корреляцию между сонографической картиной и длительностью заболевания, обратную корреляцию — между ППС исследуемых периферических нервов и скоростью проведения по моторным волокнам [12]. Ещё несколько работ ограничивались описанием небольшой серии клинических случаев с идеей соотнести увеличение ППС периферических нервов с тяжестью клинических проявлений ХВДП и ММН, наличием по данным электронейромиографического исследования блоков проведения и ответом на патогенетическую терапию [13–18]. Достоверных доказательств корреляции изменений при УЗИ и электронейромиографии с распределением и тяжестью неврологического дефицита получено не было [19, 20]. В ряде исследований показано, что при рецидивирующем течении заболевания ППС периферических нервов меньше, чем при прогрессирующем течении [16]. С другой стороны, было отмечено, что пациенты с ППС периферических нервов более нормативных значений и гипоэхогенным УЗ-сигналом лучше реагируют на патогенетическое лечение, чем пациенты без увеличения ППС и с гиперинтенсивным УЗ-сигналом [9, 21].
L. Padua и соавт., кроме установления увеличения ППС, описали 3 типа интраневральных сонографических изменений при ХВДП: утолщение нерва с гипоэхогенными фасцикулами (класс 1); утолщение нерва с гипо- и гиперэхогенными фасцикулами (класс 2); нормальное значение ППС нерва с гипоэхогенным сигналом (класс 3) [9].
Последующие работы были нацелены на создание УЗ-протоколов, предназначенных для проведения дифференциального диагноза между полинейропатиями различного генеза с оценкой динамики заболевания [17, 22–25]. Так протокол представленный S. Goedee и соавт., показал, что увеличение ППС срединного нерва на уровне предплечья > 13 мм2 и на уровне плеча > 10 мм2, наряду с увеличением ППС любого из пучков ПС > 8 мм2, обладает 99% специфичностью в диагностике ХВДП [4].
Интерес представляют данные, полученные Д.С. Дружининым и соавт. при УЗИ периферических нервов у пациентов с ММН (n = 13) и ХВДП (n = 7) [26]. Авторы показали, что увеличение ППС ПС и периферических нервов выявляется при обоих ХДН и не имеет различий, при этом асимметрия сонографических изменений более характерна для ММН, тогда как при ХВДП отмечаются симметричные и диффузные изменения.
По результатам 20-летнего ретроспективного анализа накопленных данных в 2021 г. УЗИ периферических нервов признано EAN и PNS значимым дополнительным методом диагностики ХВДП [1]. В критериях ММН, напротив, сонографическая методика на момент написания статьи ещё отсутствует [2].
История МР-нейрографии начинается в начале 1990-х гг. В первых опубликованных работах был сделан акцент на МР-исследовании конского хвоста [27–29]. В 1997 г. врачи из Нидерландов впервые продемонстрировали диагностические возможности применения МРТ ПС при дизиммунных нейропатиях [30].
В 1999 г. опубликовано исследование, в которое включили 14 пациентов с диагнозом ХВДП [31]. МРТ плечевых и поясничных сплетений показала, что увеличение в размере ПС обнаружено у 8 (57%) пациентов, а поясничных сплетений — у 6 (43%). Дополнительное МР-исследование на фоне контрастного усиления зафиксировало повышение МР-сигнала у 5 пациентов с гипертрофией сплетений и у 1 пациента без признаков гипертрофии, исходя из чего исследователями было сделано предположение, что накопление контрастного препарата напрямую зависит от активности заболевания [31].
На сегодняшний день использование внутривенного контрастного вещества при МР-нейрографии потеряло свою диагностическую ценность при ХДН и требуется только при ограниченном ряде патологий периферических нер-вов (первичные объёмные поражения, метастатические изменения) [32]. На первое место в оценке изменений периферических нервов вышли последовательности с подавлением сигнала от жировой ткани (в частности, STIR), которые при условиях хорошего соотношения сигнала/шума (SNR), оптимальной контрастности и достаточного пространственного разрешения, достигаемого посредством современных высокопольных томографов (≥ 1,5 Т), позволяют получить качественное селективное изображение столь мелких, имеющих сложных ход структур, минимизировать артефакты от дыхания и прилежащих сосудистых и мышечных структур и приближают нас к возможности качественной оценки ПС и дифференциальной диагностики различных форм дизиммунных нейропатий [33].
Таким образом, к настоящему времени получено достаточно доказательств высокой информативности УЗИ и МРТ в диагностике ХДН, однако актуальность проведения прицельного поиска внутригрупповых нейровизуализационных различий сохраняется. Так, до сих является проблемой проведение дифференциальной диагностики двух мультифокальных ХДН — ММН и мХВДП.
В отличие от работы Д.С. Дружинина и соавт. [26] мы усложнили задачу, проведя сравнительный анализ ММН с мультифокальным (не типичным) вариантом ХВДП, увеличив количество пациентов и дополнив исследование данными МРТ.
Нами показано, что средние значения ППС по всем исследуемым нервам в группе пациентов с мХВДП значимо выше, чем при ММН. В основе выявленных сонографических особенностей, вероятно, лежат разные патофизио-логические механизмы развития указанных ХДН: при мХВДП — демиелинизация и, как следствие, более выраженный отёк периферических нервов, при ММН — поражение нодальных и паранодальных зон нервных стволов и меньшая степень их отёка.
Как и в работе H.S. Goedee и соавт. [4], мы выявили, что из 3 длинных периферических нервов верхних конечностей (срединного, локтевого, лучевого) наибольшей диагностической информативностью обладает срединный нерв, а именно его проксимальный сегмент (выше локтевого сгиба). Мы впервые провели ROC-анализ и определили значения величин ППС срединного нерва на разных уровнях исследования, которые можно использовать в дифференциальной диагностике рассматриваемых ХДН. Следует обратить внимание на то, что чувствительность и специфичность полученных в нашем исследовании пороговых значений ППС варьировала в зависимости от исследуемых точек и стороны. Так, AUC [95% доверительный интервал] в ROC-моделях оценки ППС срединного нерва на уровне средней трети предплечья и плеча составила менее 0,7. Однако именно эти точки исследования входят в основу протоколов Ultrasound Pattern Sum Score [22] и короткого ультразвукового протокола [4], которые широко используются в диагностике дизиммунных нейропатий. В этой связи, учитывая полученные нами данные, при проведении дифференциальной диагностики ММН и мХВДП мы рекомендуем не ограничиваться указанными протоколами исследования, а расширять объём обследования с включением в анализ нижних и верхних сегментов предплечья и плеча.
Обследуя пациентов с мХВДП, мы чаще выявляли утолщение периферических нервов на всём протяжении, тогда как при ММН характерным было сегментарное и преимущественно ассиметричное изменение ультразвуковой картины. Подобный факт был описан ранее [26, 34, 35].
МРТ спинномозговых нервов и ПС в нашей работе не продемонстрировала существенных различий у пациентов с ММН и мХВДП. Кроме того, качественные характеристики оценки ПС при МРТ (утолщены/не утолщены; повышен/не повышен МР-сигнал в режиме STIR) обладают достаточно низкой диагностической ценностью у пациентов с ХДН, особенно если изменения выражены незначительно. Качественный анализ данных при МРТ проигрывает УЗИ, при котором возможно количественно оценить изменения (оценка величин диаметра и ППС) и которое является менее дорогостоящим исследованием. В этой связи актуальным остаётся определение в последующих исследованиях количественных МР-параметров и анализ их значимости в дифференциальной диагностике мультифокальных ХДН.
В ранее опубликованных работах показано, что комбинация УЗИ и МРТ повышает диагностическую ценность обоих исследований до 83% при обследовании пациентов с ХВДП, при этом авторы указывают, что оба метода могут быть взаимозаменяемы [4]. В нашем исследовании мы показали, что пациенты с нормальными значениями ППС по данным УЗИ периферических нервов могут иметь исключительно изолированное повышение МР-сигнала от стволов ПС в режиме STIR (в группе ММН — 2/29 (6,9%); в группе мХВДП — 1/33 (3,0%), что будет косвенно указывать на наличие у пациента ХДН.
Заключение
В ходе настоящего исследования впервые в России на большой выборке пациентов проведён детальный сравнительный анализ данных нейровизуализационных методов исследования у пациентов с ММН и мХВДП; определены сонографические дифференциально-диагностические маркеры, показаны преимущества и ограничения УЗИ и МРТ ПС, спиномозговых и периферических нервов в диагностике мультифокальных ХДН.
Об авторах
Таисия Александровна Тумилович
Научный центр неврологии
Автор, ответственный за переписку.
Email: tumilovich.taisiya@bk.ru
ORCID iD: 0000-0002-9538-9690
врач-невролог Центра заболеваний периферической нервной системы Института клинической и профилактической неврологии
Россия, МоскваВиктория Викторовна Синькова
Научный центр неврологии
Email: tumilovich.taisiya@bk.ru
ORCID iD: 0000-0003-2285-2725
врач-рентгенолог отдела лучевой диагностики Института клинической и профилактической неврологии
Россия, МоскваДарья Александровна Гришина
Научный центр неврологии
Email: tumilovich.taisiya@bk.ru
ORCID iD: 0000-0002-7924-3405
к.м.н., руководитель Центра заболеваний периферической нервной системы Института клинической и профилактической неврологии
Россия, МоскваНаталья Александровна Супонева
Научный центр неврологии
Email: tumilovich.taisiya@bk.ru
ORCID iD: 0000-0003-3956-6362
д.м.н., член-корреспондент РАН, профессор, директор Института нейрореабилитации и восстановительной медицины
Россия, МоскваСофья Николаевна Морозова
Научный центр неврологии
Email: tumilovich.taisiya@bk.ru
ORCID iD: 0000-0002-9093-344X
к.м.н., н.с. отдела лучевой диагностики Института клинической и профилактической неврологии
Россия, МоскваМарина Викторовна Кротенкова
Научный центр неврологии
Email: tumilovich.taisiya@bk.ru
ORCID iD: 0000-0003-3820-4554
д.м.н., г.н.с., руководитель отдела лучевой диагностики Института клинической и профилактической неврологии
Россия, МоскваАнна Викторовна Мансурова
Научный центр неврологии
Email: tumilovich.taisiya@bk.ru
ORCID iD: 0000-0003-4547-1263
врач ультразвуковой диагностики лаборатории ультразвуковых методов исследования Института клинической и профилактической неврологии
Россия, МоскваАндрей Олегович Чечёткин
Научный центр неврологии
Email: tumilovich.taisiya@bk.ru
ORCID iD: 0000-0002-8726-8928
д.м.н., руководитель лаб. ультразвуковых методов исследования Института клинической и профилактической неврологии
Россия, МоскваСписок литературы
- Van den Bergh P.Y.K., van Doorn P.A., Hadden R.D.M. et al. European Academy of Neurology/Peripheral Nerve Society guideline on diagnosis and treatment of chronic inflammatory demyelinating polyradiculoneuro- pathy: Report of a joint Task Force-Second revision. J. Peripher. Nerv. Syst. 2021;26(3):242–268. doi: 10.1111/jns.12455
- Joint Task Force of the Efns and the Pns. European Federation of Neurological Societies/Peripheral Nerve Society guideline on management of multifocal motor neuropathy: Report of a joint task force of the European Federation of Neurological Societies and the Peripheral Nerve Society — first revision. J. Peripher. Nerv. Syst. 2010;15(4):295–301. doi: 10.1111/j.1529-8027.2010.00290.x
- Al-Zuhairy A., Sindrup S.H., Andersen H., Jakobsen J. A population-based study of long-term outcome in treated chronic inflammatory demyelinating polyneuropathy. Muscle Nerve. 2020;61(3):316–324. doi: 10.1002/mus.26772
- Goedee H.S., Jongbloed B.A., van Asseldonk J.H. et al. A comparative study of brachial plexus sonography and magnetic resonance imaging in chronic inflammatory demyelinating neuropathy and multifocal motor neuropathy. Eur. J. Neurol. 2017;24(10):1307–1313. doi: 10.1111/ene.13380
- Морозова С.Н., Синькова В.В., Гришина Д.А. и др. Основы стандартной визуализации периферической нервной системы: МР-нейрография. Digital Diagnostics. 2023;4(3):356–368. Morozova S.N., Sinkova V.V., Grishina D.A. et al. Conventional magnetic resonance imaging of peripheral nerves: MR-neurography. Digital Diagnostics. 2023;4(3):356–368. doi: 10.17816/DD430292
- Telleman J.A., Herraets I.J.T., Goedee H.S. et al. Nerve ultrasound: a reproducible diagnostic tool in peripheral neuropathy. Neurology. 2019;92(5):e443–e450. doi: 10.1212/WNL.0000000000006856
- Kerasnoudis A., Pitarokoili K., Behrendt V. et al. Cross sectional area reference values for sonography of peripheral nerves and brachial plexus. Clin. Neurophysiol. 2013;124(9):1881–1888. doi: 10.1016/j.clinph.2013.03.007
- Grimm A., Axer H., Heiling B., Winter N. Nerve ultrasound normal values – Readjustment of the ultrasound pattern sum score UPSS. Clin. Neurophysiol. 2018;129(7):1403–1409. doi: 10.1016/j.clinph.2018.03.036
- Padua L., Granata G., Sabatelli M. et al. Heterogeneity of root and nerve ultrasound pattern in CIDP patients. Clin. Neurophysiol. 2014;125(1):160–165. doi: 10.1016/j.clinph.2013.07.023
- Taniguchi N., Itoh K., Wang Y. et al. Sonographic detection of diffuse peripheral nerve hypertrophy in chronic inflammatory demyelinating polyradiculoneuropathy. J. Clin. Ultrasound. 2000;28(9):488–491. doi: 10.1002/1097-0096(200011/12)28:9<488::aid-jcu7>3.0.co;2-7
- Matsuoka N., Kohriyama T., Ochi K. et al. Detection of cervical nerve root hypertrophy by ultrasonography in chronic inflammatory demyelinating polyradiculoneuropathy. J. Neurol. Sci. 2004;219(1-2):15–21. doi: 10.1016/j.jns.2003.11.011
- Zaidman C.M., Al-Lozi M., Pestronk A. Peripheral nerve size in normals and patients with polyneuropathy: an ultrasound study. Muscle Nerve. 2009;40(6):960–966. doi: 10.1002/mus.21431
- Granata G., Pazzaglia C., Calandro P. et al. Ultrasound visualization of nerve morphological alteration at the site of conduction block. Muscle Nerve. 2009;40(6):1068–1070. doi: 10.1002/mus.21449
- Imamura K., Tajiri Y., Kowa H., Nakashima K. Peripheral nerve hypertrophy in chronic inflammatory demyelinating polyradiculoneuropathy detec- ted by ultrasonography. Intern. Med. 2009;48(7):581–582. doi: 10.2169/internalmedicine.48.1924
- Padua L., Martinoli C., Pazzaglia C. et al. Intra- and internerve cross- sectional area variability: new ultrasound measures. Muscle Nerve. 2012; 45(5):730–733. doi: 10.1002/mus.23252
- Di Pasquale A., Morino S., Loreti S. et al. Peripheral nerve ultrasound changes in CIDP and correlations with nerve conduction velocity. Neurology. 2015;84(8):803–809. doi: 10.1212/WNL.0000000000001291
- Décard B.F., Pham M., Grimm A. Ultrasound and MRI of nerves for monitoring disease activity and treatment effects in chronic dysimmune neuropathies — current concepts and future directions. Clin. Neurophysiol. 2018;129(1):155–167. doi: 10.1016/j.clinph.2017.10.028
- Taylor B.V., Dyck P.J., Engelstad J. et al. Multifocal motor neuropathy: pathologic alterations at the site of conduction block. J. Neuropathol. Exp. Neurol. 2004;63(2):129–137. doi: 10.1093/jnen/63.2.129
- Grimm A., Vittore D., Schubert V. et al. Ultrasound pattern sum score, homogeneity score and regional nerve enlargement index for differentiation of demyelinating inflammatory and hereditary neuropathies. Clin. Neurophysiol. 2016;127(7):2618–2624. doi: 10.1016/j.clinph.2016.04.009
- Kerasnoudis A., Pitarokoili K., Behrendt V. et al. Bochum ultrasound score versus clinical and electrophysiological parameters in distinguishing acute-onset chronic from acute inflammatory demyelinating polyneuropathy. Muscle Nerve. 2015;51(6):846–852. doi: 10.1002/mus.24484
- Grimm A., Vittore D., Schubert V. et al. Ultrasound aspects in therapy-naive CIDP compared to long-term treated CIDP. J. Neurol. 2016;263(6):1074–1082. doi: 10.1007/s00415-016-8100-9
- Grimm A., Décard B.F., Axer H., Fuhr P. The Ultrasound pattern sum score - UPSS. A new method to differentiate acute and subacute neuropathies using ultrasound of the peripheral nerves. Clin. Neurophysiol. 2015;126(11):2216–2225. doi: 10.1016/j.clinph.2015.01.011
- Grimm A., Rattay T.W., Winter N., Axer H. Peripheral nerve ultrasound scoring systems: benchmarking and comparative analysis. J. Neurol. 2017;264(2):243–253. doi: 10.1007/s00415-016-8305-y
- Herraets I.J.T., Goedee H.S., Telleman J.A. et al. Nerve ultrasound for diagnosing chronic inflammatory neuropathy: a multicenter validation study. Neurology. 2020;95(12):e1745–e1753. doi: 10.1212/WNL.0000000000010369
- Kerasnoudis A., Pitarokoili K., Behrendt V. et al. Nerve ultrasound score in distinguishing chronic from acute inflammatory demyelinating polyneuropathy. Clin. Neurophysiol. 2014;125(3):635–641. doi: 10.1016/j.clinph.2013.08.014
- Дружинин Д.С., Наумова Е.С., Никитин С.С. Ультразвуковая визуализация периферических нервов при мультифокальной моторной нейропатии и хронической воспалительной демиелинизирующей полинейропатии. Нервно-мышечные болезни. 2016;6(1):63–73. Druzhinin D.S., Naumova E.S., Nikitin S.S. Nerve sonography in multifocal motor neuropathy and chronic inflammatory demyelinating polyneuropathy. Neuromuscular Diseases. 2016;6(1):63–73. doi: 10.17650/2222-8721-2016-6-1-63-73
- Kuwabara S., Nakajima M., Matsuda S., Hattori T. Magnetic resonance imaging at the demyelinative foci in chronic inflammatory demyelinating polyneuropathy. Neurology. 1997;48(4):874–877. doi: 10.1212/wnl.48.4.874
- Schady W., Goulding P.J., Lecky B.R. et al. Massive nerve root enlargement in chronic inflammatory demyelinating polyneuropathy. J. Neurol. Neurosurg. Psychiatry. 1996;61(6):636–640. doi: 10.1136/jnnp.61.6.636
- Midroni G., de Tilly L.N., Gray B., Vajsar J. MRI of the cauda equina in CIDP: clinical correlations. J. Neurol. Sci. 1999;170(1):36–44. doi: 10.1016/s0022-510x(99)00195-1
- Van Es H.W., Van den Berg L.H., Franssen H. et al. Magnetic resonance imaging of the brachial plexus in patients with multifocal motor neuropathy. Neurology. 1997;48(5):1218–1224. doi: 10.1212/wnl.48.5.1218
- Duggins A.J., McLeod J.G., Pollard J.D. et al. Spinal root and plexus hypertrophy in chronic inflammatory demyelinating polyneuropathy. Brain. 1999;122(Pt 7):1383–1390. doi: 10.1093/brain/122.7.1383
- Mikityansky I., Zager E.L., Yousem D.M., Loevner L.A. MR Imaging of the brachial plexus. Magn. Reson. Imaging Clin. N. Am. 2012;20(4):791–826. doi: 10.1016/j.mric.2012.08.003
- Jongbloed B.A., Bos J.W., Rutgers D. et al. Brachial plexus magnetic resonance imaging differentiates between inflammatory neuropathies and does not predict disease course. Brain Behav. 2017;7(5):e00632. doi: 10.1002/brb3.632
- Zaidman C.M., Pestronk A. Nerve size in chronic inflammatory demyelinating neuropathy varies with disease activity and therapy response over time: a retrospective ultrasound study. Muscle Nerve. 2014;50(5):733–738. doi: 10.1002/mus.24227
- Merola A., Rosso M., Romagnolo A. et al. Peripheral nerve ultrasonography in chronic inflammatory demyelinating polyradiculoneuropathy and multifocal motor neuropathy: correlations with clinical and neurophysiological data. Neurol. Res. Int. 2016;2016:9478593. doi: 10.1155/2016/9478593











