Опыт применения транскраниальной электростимуляции постоянным током с целью улучшения исходов нейротрансплантации у крыс с паркинсонизмом, индуцированным 6-гидроксидофамином
- Авторы: Ставровская А.В.1, Воронков Д.Н.1, Потапов И.А.1, Титов Д.С.2, Ольшанский А.С.1, Павлова А.К.1, Лебедева О.С.3, Иллариошкин С.Н.1
-
Учреждения:
- Научный центр неврологии
- Московский государственный технический университет имени Н.Э. Баумана
- Федеральный научно-клинический центр физико-химической медицины имени академика Ю.М. Лопухина
- Выпуск: Том 18, № 4 (2024)
- Страницы: 44-54
- Раздел: Оригинальные статьи
- Статья получена: 29.09.2024
- Статья одобрена: 02.11.2024
- Статья опубликована: 06.12.2024
- URL: https://annaly-nevrologii.com/pathID/article/view/1199
- DOI: https://doi.org/10.17816/ACEN.1199
- ID: 1199
Цитировать
Аннотация
Введение. Неуклонно растущее число пациентов с болезнью Паркинсона диктует необходимость поиска новых терапевтических подходов к её лечению. Одним из перспективных методов представляется сочетание трансплантации нейрональных предшественников, полученных из индуцированных плюрипотентных стволовых клеток, и транскраниальной электростимуляции (ТЭС).
Цель исследования: изучить влияние ТЭС постоянным током на состояние клеточного трансплантата и моторные симптомы паркинсонического синдрома у крыс.
Материалы и методы. Паркинсонический синдром у крыс Вистар моделировали односторонним интранигральным введением 6-гидроксидофамина (6-ГДА; 12 мкг на 3 мкл). Нейротрансплантацию (3 × 105 клеток в 10 мкл) осуществляли в хвостатые ядра мозга животных-моделей на стороне повреждения. ТЭС постоянным током проводили в течение 14 дней. Изменения поведения животных анализировали в тестах «открытое поле» и «сужающаяся дорожка». В морфохимическом исследовании оценивали развитие и морфологические характеристики трансплантата.
Результаты. Нейротрансплантация не оказала значимого влияния на поведение крыс с паркинсонизмом, однако в сочетании с ТЭС привела к увеличению двигательной активности крыс в тесте «открытое поле», по сравнению с группой крыс-моделей (р = 0,0014), и ослаблению у них неврозоподобного состояния (р = 0,048) в тестах через 3 нед после введения трансплантата. В тестах, проведённых через 3 мес, эти эффекты не наблюдались. Морфохимическое исследование выявило бо́льшие размеры трансплантата у животных, подвергнутых ТЭС, по сравнению с контролем, и смещение клеток в краевую зону трансплантата. Показано также, что стимуляция провоцирует деление части клеток, находящихся на ранних стадиях дифференцировки, и способствует активному формированию синаптических контактов.
Заключение. Сочетание нейротрансплантации и ТЭС на 6-ГДА-индуцированной модели паркинсонизма демонстрирует потенциал данной технологии для коррекции как двигательных, так и недвигательных проявлений заболевания. Для успешной трансляции метода в клинику необходимы дальнейшая оптимизация протоколов трансплантации и ТЭС, оценка долгосрочной эффективности и безопасности.
Полный текст
Введение
Болезнь Паркинсона (БП) относится к числу наиболее распространённых нейродегенеративных заболеваний, приводящих со временем к тяжёлой инвалидизации пациента [1]. Патогенез БП до конца не ясен. Известно, что причиной основных моторных проявлений БП является гибель дофаминергических нейронов компактной части чёрной субстанции (кЧС) с последующей дегенерацией нигростриарного пути и развивающимся дефицитом нейромедиатора дофамина в стриатуме. Дегенерацию нигральных нейронов часто связывают с накоплением в их цитоплазме агрегированных форм фосфорилированного белка α-синуклеина, формирующих тельца и нейриты Леви. Помимо аккумуляции α-синуклеина, в поражённых дофаминергических нейронах обнаружены признаки митохондриальной дисфункции [2]. Результаты многочисленных современных исследований на моделях животных и пациентах указывают на ключевую роль нейровоспаления в инициации и прогрессировании нейродегенерации в области кЧС [3], а также на развитие окислительного стресса в поражённой ткани мозга [4, 5].
На настоящий момент не существует эффективной терапии БП, останавливающей её прогрессирование, а современные методы лечения способствуют лишь облегчению многочисленных симптомов БП, которые можно разделить на моторные и немоторные. При этом немоторные проявления заболевания чаще всего возникают задолго до появления двигательных нарушений, и их чёткая диагностика может помочь начать своевременное лечение [6, 7].
Для уточнения причин возникновения БП и поиска новых методов борьбы с этой патологией используется широкий спектр моделей на лабораторных животных. Одним из наиболее распространённых методов моделирования БП является стереотаксическое введение нейротоксинов в определённые структуры мозга, что исключает их системное воздействие на организм [8].
Одностороннее стереотаксическое введение 6-гидроксидофамина (6-ГДА) в кЧС, селективно поражающее дофаминовые нейроны, служит оптимальной моделью для экспериментальной апробации методов нейротрансплантации (НТ) при БП [9]. Трансплантация клеток-предшественников дофаминергических нейронов в хвостатые ядра позволяет восполнить дефицит дофамина в этой структуре, что, в свою очередь, может в какой-то степени влиять на течение нейродегенеративного процесса. Использование для трансплантации индуцированных плюрипотентных стволовых клеток (ИПСК) и их производных, в том числе полученных от самого пациента, позволяет добиться ослабления иммунной реакции организма реципиента, исключает возникновение этических проблем и снимает ограничение на количество трансплантируемых клеток [10]. Важно, что при трансплантации ИПСК возрастает доля клеток-предшественников, переживших адаптацию и дифференцировавшихся в здоровые дофаминергические нейроны. Однако задача выживаемости и полноценного функционирования клеток трансплантата не до конца решена [10–13].
Транскраниальная электростимуляция (ТЭС) представляет собой неинвазивный и безопасный метод нейромодуляции, успешно применяемый в неврологии для коррекции ряда патологических состояний [14]. Данные литературы подтверждают возможность различных видов электростимуляции ослаблять двигательные и немоторные симптомы БП [15, 16]. Помимо этого, показано, что использование ТЭС благоприятно влияет на дифференцировку и выживаемость клеток нейротрансплантата [15, 16]. Таким образом, комбинирование ТЭС и НТ может стать перспективным направлением в терапии БП.
Расширение спектра экспериментов с ТЭС обозначило необходимость разработки и изготовления многоканального лабораторного электростимулятора для мелких экспериментальных животных. Сотрудниками лаборатории экспериментальной патологии нервной системы и нейрофармакологии Института мозга Научного центра неврологии совместно с инженерами МГТУ им. Н.Э. Баумана был спроектирован и технически реализован образец многоканального аппарата для ТЭС, поддерживающего различные режимы работы.
Целью настоящей работы являлось изучение влияния ТЭС постоянным током на состояние клеточного трансплантата и моторные симптомы 6-ГДА-индуцированного паркинсонического синдрома у крыс, подвергшихся НТ с использованием производных ИПСК человека.
Материалы и методы
Животные
Все эксперименты проводили с соблюдением надлежащих биоэтических норм по работе с лабораторными животными, в том числе с возможным сокращением числа использованных животных. Исследования одобрены этическим комитетом Научного центра неврологии (протокол № 10-7/20 от 27.11.2020).
Работа проведена на самцах крыс Вистар (n = 40), полученных из питомника ФГБУН НЦБМТ ФМБА России (филиал «Столбовая») в возрасте 3,5 мес, с массой тела 300–350 г на начало эксперимента.
Манипуляции с животными осуществляли в соответствии с требованиями European Convention for the Protection of Vertebral Animals Used for Experimental and Other Scientific Purposes (CETS No. 170), Приказом МЗ РФ № 119Н от 01.04.2016 «Об утверждении Правил лабораторной практики», а также руководствуясь «Правилами работы с лабораторными грызунами и кроликами» (ГОСТ 33216-2014). Животные содержались в стандартных условиях вивария со свободным доступом к пище и воде, в режиме 12-часового чередования света и темноты. До начала эксперимента животные находились на 14-дневном карантине.
Хирургические процедуры
Для проведения стереотаксических операций животных помещали на раму лабораторного стереотаксиса («Stoelting Co.», «RWD Life Science Co. Ltd.»), скальп надрезали и с помощью портативной бормашины просверливали в черепе трепанационные отверстия для доступа к определённым структурам мозга. При размещении животных в стереотаксическом аппарате между животным и рабочей поверхностью помещали ватно-марлевый матрас, чтобы избежать переохлаждения во время и после операции.
Для анестезии использовали золетил-100 («Valdepharm»; растворитель — «Delpharm Tours») в дозе 3 мг/100 г и ксилу («Interchemie Werken "De Adelaar" B.V.») в дозе 3 мг/кг, которые вводили внутримышечно. Для премедикации вводили атропин («Дальхимфарм») в дозе 0,04 мг/кг подкожно за 10–15 мин до введения ксилы.
Для получения модели паркинсонического синдрома животным (n = 32) в кЧС справа вводили селективный токсин дофаминергических нейронов 6-ГДА («Sigma») в дозе 12 мкг в 3 мкл 0,05% раствора аскорбиновой кислоты по следующим координатам атласа Paxinos [17]: АР = –4,8; L = 1,9; V = 8,0 (рис. 1). В чёрную субстанцию слева вводили растворитель в том же объёме. Ложнооперированным (контрольным) животным (n = 8) вводили растворитель билатерально в том же объёме.
Рис. 1. Схема, иллюстрирующая моделирование паркинсонического синдрома и последующую НТ.
Fig. 1. Schematic representation of modeling Parkinson's syndrome and subsequent NT.
Через 25 дней после введения 6-ГДА животным (n = 24) была проведена трансплантация клеток — нейрональных предшественников — в хвостатые ядра мозга по следующим координатам атласа Paxinos: AP = 1,5; L = 2,2; V = 4,5. Способ анестезии описан выше. Контрольным животным без введения нейротоксина (группа К1; n = 8) и части животных с введением 6-ГДА клеточный трансплантат не вводили, в хвостатые ядра мозга билатерально инъецировали физиологический раствор в том же объёме (группа К2; n = 8).
Трансплантацию клеток осуществляли унилатерально, на стороне повреждения. В хвостатые ядра через микрошприц «Hamilton» вводили суспензию, содержащую 3 × 105 клеток в 10 мкл физиологического раствора, с постоянной скоростью в течение 5 мин. После инъекции микрошприц оставляли на месте в течение ещё 2 мин, затем медленно извлекали. В хвостатые ядра слева вводили физиологический раствор в том же объёме. За 1 день до операции по трансплантации клеток и далее ежедневно в течение всего эксперимента животные получали циклоспорин в дозе 12 мг/кг.
Клеточные культуры были получены в лаборатории клеточной биологии ФНКЦ физико-химической медицины им. Ю.М. Лопухина. Нейроны были дифференцированы из ИПСК здорового донора (мужчина без неврологических патологий, 60 лет), полученных из фибробластов кожи после процедуры подписания информированного согласия. Использованная линия ИПСК IPSRG4S была охарактеризована согласно общепринятым стандартам [18]. Линия имеет нормальный кариотип. Плюрипотентность линии ИПСК IPSRG4S была подтверждена на молекулярном и функциональном уровнях. ИПСК дифференцировали в нейрональном направлении, затем полученные ранние нейрональные предшественники дифференцировали для получения нейрональных предшественников вентрального среднего мозга (НПВСМ). Для трансплантации были использованы НПВСМ, соответствующие 24-м суткам дифференцировки. Способ дифференцировки ИПСК и состав сред предоставляются по требованию.
Далее крысы с введением 6-ГДА и НТ были разделены на 3 равные группы по 8 животных. Крысам группы Т+ТЭС проводили ТЭС постоянным током, используя созданную новую модель лабораторного электростимулятора, крысы группы Т+С получили ложную стимуляцию с седацией, животным группы Т не проводили ни стимуляцию, ни седацию.
Билатеральная ТЭС постоянным током
ТЭС постоянным током начинали проводить на 5-е сутки после трансплантации НПВСМ в дорсолатеральную область хвостатого ядра.
Созданный нами автономный электростимулятор представляет собой программируемое устройство на базе микропроцессора, которое можно рассматривать как генератор стабильного тока разнообразных форм, используемых для ТЭС у лабораторных животных. Прибор состоит из программируемого задающего генератора, многоканального преобразователя «напряжение–ток», источника питания и органов управления. Задающий генератор на базе микропроцессора выбранной серии с помощью программы генерирует поток данных, описывающих в формате Pulse Code Modulation форму, амплитуду и временные характеристики (частоту и длительность) действующего тока. Все параметры стимуляции задаются с помощью панели управления и отображаются на дисплее.
Передача данных между блоками аппарата и элементами схемы осуществляется через общий для всей системы интерфейс I2C — стандартное промышленное решение, имеющее невысокую стоимость при достаточном быстродействии и надёжности. Далее поток данных через гальваническую развязку на основе микросхем ADuM поступает в цифроаналоговый преобразователь на базе микросхемы MCP4725. Гальваническая развязка необходима для обеспечения электробезопасности устройства и увеличения помехозащищённости.
Цифроаналоговый преобразователь преобразует поток данных в аналоговый сигнал — изменяющееся в соответствии с потоком данных напряжение, использующееся в качестве управляющего сигнала для генератора стабильного тока. Далее сигнал поступает на вход генератора стабильного тока, предназначенного для формирования воздействующего сигнала — изменяющегося во времени тока заданных экспериментатором параметров.
Применение микропроцессора дало возможность гибко изменять параметры тока стимуляции соответственно задачам эксперимента.
Технические характеристики устройства:
- число каналов — до 16;
- диапазон регулировки частоты — от постоянного тока (0 Гц) до 80 Гц;
- диапазон регулировки тока — от 0 до 1 мА;
- форма импульсов — различная, включая прямоугольные, треугольные, синусоидальные и шумоподобные сигналы.
Перед процедурой ТЭС животное иммобилизировали путём внутримышечного введения раствора дексмедетомидина 0,5% («Дексдомитор», «Орион Фарма») в объёме 0,5 мл/кг и помещали на подстилку, обладающую теплоизолирующими свойствами, для предотвращения переохлаждения. На глазные яблоки наносили кератопротекторное средство — 0,5% раствор гипромеллозы («Искусственная слеза», «Фирн М»). Волосяной покров с височных областей головы тщательно удаляли для улучшения адгезии и уменьшения электрического сопротивления, кожу на висках обезжиривали, часть электродов MedTab (23 × 34 мм, «Ceracarta») симметрично устанавливали на височных зонах таким образом, чтобы воображаемая линия, проходящая через их центры, пересекала геометрический центр клеточного трансплантата (рис. 2). Анод устанавливали на контрлатеральной трансплантату стороне, катод — на ипсилатеральной. С помощью стимулирующего устройства на электроды подавали постоянный ток 0,5 мА в течение 20 мин, затем электроды отсоединяли, с височных областей водой удаляли остатки клейкого слоя электродов.
Рис. 2. Проведение ТЭС одновременно 4 крысам.
Fig. 2. Simultaneous tDCS in 4 rats.
Животное возвращали в домашнюю клетку, где через 30 мин ему вводили 0,5% раствор атипамезола («Антиседан», «Orion Corporation») в дозе 0,2 мл/кг внутримышечно для ускорения выхода из седации. Промежуток времени между окончанием сеанса стимуляции и инъекцией атипамезола необходим для предотвращения расчёсывания участков кожи, находившихся под электродами (что, возможно, вызвано парестезией в местах прикрепления электродов и является очень частым побочным эффектом электростимуляции) [19].
Сеансы стимуляции проводили 1 раз в день в одно и то же время на протяжении 14 последовательных дней. Во время первых процедур по стимуляции производили дистанционный контроль температуры электродов и окружающих кожных покровов с помощью лазерного пирометра («Raytek»).
При проведении ложной ТЭС все процедуры проводили аналогично описанным выше, но электрический ток на электроды не подавали.
Поведенческие эффекты
Поведенческие эффекты токсического воздействия, последующей НТ и ТЭС оценивали по изменению двигательной активности экспериментальных крыс в тестах «открытое поле» (ОП) и «сужающаяся дорожка» (СД). Продолжительность теста ОП — 3 мин, тестирование проводили трижды: до введения клеток, через 3 нед и 3 мес спустя. Поведение крыс регистрировали с помощью системы видеонаблюдения «Any-Maze» («Stoelting Inc.»).
В тесте СД экспериментальное животное должно пройти по верхней планке от начала дорожки до укрытия. Учитывали время прохождения и процент соскальзываний конечностей на нижнюю планку от общего числа шагов по СД. В данном эксперименте также была проведена оценка психоэмоционального состояния животных с присвоением баллов по шкале невротизации [20, 21]. Учитывали проявления «нестандартной» поведенческой активности, которые могли быть отнесены к внешним признакам неврозоподобного состояния: навязчивые повороты головы, жевательные движения, активное обнюхивание и лизание установки, повороты вокруг своей оси, пячение, груминг, сокращения диафрагмы, птоз и др. Животных обучали выполнению теста СД в течение 3 дней, по 2 сессии в день с перерывом 1 ч, перед проведением стереотаксических операций на мозге. Максимальное время тестирования — 100 с.
Для определения статистической значимости различий использовали факторный дисперсионный анализ (ANOVA), для сравнения между группами — апостериорный тест Фишера. Различия считали значимыми при p < 0,05. Результаты представлены в виде среднего арифметического ± стандартная ошибка среднего.
Через 3 мес после проведения НТ и по окончании физиологического исследования крыс половину числа животных из каждой группы декапитировали и извлекали головной мозг для последующего иммуногистохимического анализа.
Иммуногистохимия и морфометрия
В иммуноморфологическом исследовании были использованы образцы мозга от 4 крыс из каждой группы. Для морфологической оценки состояния трансплантата через 3 мес после введения клеток животных декапитировали. Мозг фиксировали 24 ч в 10% формалине. Для исследования использовали замороженные фронтальные срезы (10 мкм толщиной). Демаскирование антигенов проводили нагреванием в цитратном буфере (0,01 M, pH 6,0), срезы инкубировали с первичными антителами 18 ч при комнатной температуре, для выявления связывания использовали соответствующие вторичные антитела, меченные флуорохромами Atto 488 или Atto 555 («Invitrogen»). Срезы докрашивали DAPI. Для выявления клеток трансплантата применяли антитела к Human nuclear antigen (HNA) и видоспецифичные антитела к нейрональной енолазе (NSE) человека. Помимо этого, для оценки интеграции трансплантата использовали антитела к синаптическому белку синаптофизину (SYP). Подробнее результаты трансплантации были охарактеризованы ранее с помощью расширенной панели нейрональных и глиальных маркерных белков [13].
На фронтальных срезах, используя объектив ×4, оценивали площадь сечения трансплантата в стриатуме животных по результатам выявления NSE. Выбирали не менее 3 срезов, на которых выявляли трек иглы на всю глубину введения. Для подсчёта площади на изображениях использовали программу «NIS-Elements».
Результаты представлены в виде медианы, нижнего и верхнего квартилей. Для сравнения групп использовали тест Манна–Уитни.
Результаты
Все животные хорошо перенесли хирургические процедуры и ТЭС и на протяжении всего исследования находились в удовлетворительном состоянии. Регулярные ежедневные осмотры ветеринарным врачом не выявили у крыс изменений физиологических отправлений, наличия порфириновых выделений из глаз и носа, поредения волосяного покрова. При вскрытии тел животных после декапитации новообразований не обнаружено.
Тестирование поведения экспериментальных животных проводили до введения НПВСМ (соответственно, через 25 дней после введения 6-ГДА в кЧС — тест 1), по окончании курса ТЭС (3 нед после НТ — тест 2) и спустя 3 мес после НТ НПВСМ (тест 3).
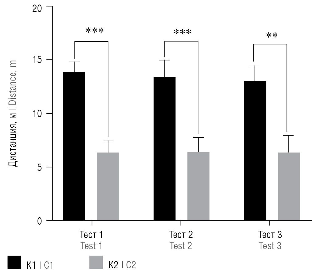
На рис. 3 показана величина пройденной дистанции в ОП крысами контрольных групп К1 и К2, без введения клеточного трансплантата. Введение 6-ГДА приводило к статистически значимому снижению двигательной активности животных, которое сохранялось во всех проведённых тестах: в тесте 1 — 13,990 ± 0,881 и 6,387 ± 1,112 (ANOVA, p (pА) = 0,0005), в тесте 2 — 13,469 ± 1,572 и 6,439 ± 1,406 (pА = 0,0007), в тесте 3 — 13,076 ± 1,406 и 6,404 ± 1,575 (pА = 0,0013) в группах К1 и К2 соответственно.
Рис. 3. Оценка двигательной активности крыс в тесте ОП.
*pА < 0,05 по сравнению с группой К2.
Fig. 3. Motor activity assessment by the OF test in the rats.
*pА < 0.05 compared with group C2.
Изменения двигательной активности модельных животных после трансплантации нейрональных предшественников в дорсолатеральную область хвостатого ядра представлены на рис. 4. Следует напомнить, что к моменту проведения теста 2 части крыс (группа Т+ТЭС) был проведён курс ТЭС постоянным током. Из рис. 4 видно, что у крыс группы Т+С, получавших дексдомитор для проведения ложной ТЭС, двигательная активность осталась на уровне, зафиксированном до введения клеток, — 5,946 ± 1,011 и 5,233 ± 1,229 (pА = 0,9436), в отличие от достоверно снизившейся у крыс без седации — 3,006 ± 0,601 и 6,996 ± 1,178 (pА = 0,0227). У крыс на фоне ТЭС дистанция, пройденная в ОП, увеличилась более чем вдвое: 14,069 ± 1,094 и 5,635 ± 1,511 (pА = 0,0014). При тестировании двигательной активности через 3 мес после НТ ни в одной из групп крыс с трансплантатом не выявлялось её изменение по сравнению с тестом 1.
Рис. 4. Дистанция, пройденная в ОП модельными животными с НТ. *pА < 0,05 по сравнению с тестом 1.
Fig. 4. Distance traveled in the OF test by the model animals after NT. *pА < 0.05 compared with test 1.
В тесте СД через 3 нед после НТ также выявлены значимые различия между группами К1 и К2, большей частью это выражалось в отказе крыс с введением 6-ГДА в кЧС продвигаться по дорожке, а также отчётливыми (pА = 0,01) признаками неврозоподобного состояния (рис. 5, А). В связи с этим численные значения количества оступаний статистическими методами обработать не представилось возможным. Введение НПВСМ и курс ТЭС не оказали влияния на движение экспериментальных крыс по установке СД. Однако, если у крыс групп Т и Т+С наблюдалось неврозоподобное состояние, показатели которого значимо отличались по сравнению с группой К1 (8,00 и 7,83 балла против 2,67 балла соответственно при pА = 0,0005 и pА = 0,001), то у крыс группы Т+ТЭС этот показатель был существенно ниже и не имел статистически достоверных различий с группой К1 (4,71 и 2,67; pА = 0,139). Также он значительно различался по сравнению с группами Т и Т+С (pА = 0,017 и pА = 0,029 соответственно). В тесте через 3 мес после НТ разница этих показателей между группами нивелировалась, что согласуется с данными теста ОП (рис. 5, В).
Рис. 5. Показатель неврозоподобного состояния в тестах СД через 3 нед (А) и 3 мес (В) после НТ.
*pА < 0,05 по сравнению с группой К1; #pА < 0,05 по сравнению с группой Т+ТЭС.
Fig. 5. Anxiety-related behavior score in the BW tests at 3 weeks (A) and 3 months (B) after NT.
*pА < 0.05 compared with group C1; #pА < 0.05 compared with group T+tDCS.
В предыдущих морфологических исследованиях трансплантатов было показано снижение окрашивания на тирозингидроксилазу на стороне введения 6-ГДА [12, 13], свидетельствующее о повреждении нейронов кЧС. Также к 3-му месяцу в трансплантате выявляли 3–5% дофаминергических нейронов, а миграция клеток, экспрессирующих маркеры зрелых нейронов, за пределы области трансплантации не установлена.
У животных, подвергнутых ТЭС постоянным током, размеры трансплантата были больше по сравнению с контролем (рис. 6). Ранее нами показана зональная структура трансплантатов у животных без воздействия ТЭС [13] с преимущественной локализацией NSE+-клеток (зрелых нейронов) в центральной зоне и формированием глиального чехла вокруг трансплантата. Под влиянием ТЭС морфология трансплантата изменялась: после стимуляции наблюдалось смещение NSE-окрашивания в краевую зону трансплантата, причём расположенную кнаружи. Размеры трансплантата в стриатуме были значимо выше (p = 0,002, тест Манна–Уитни) после воздействия ТЭС. В контрольной группе медианная площадь NSE+-окрашивания составила 1,695 [1, 45; 1, 89] мм2, а под действием ТЭС — 4,04 [3, 08; 6, 03] мм2. Центральные области в группе животных после воздействия ТЭС состояли из HNA+-клеток с низким уровнем экспрессии NSE. Вероятно, стимуляция могла провоцировать деление части клеток, находящихся на ранних стадиях дифференцировки, что требует дальнейшего изучения. Выявление синаптофизина может свидетельствовать о развитии синаптогенеза в трансплантате к 3-му месяцу. Ранее нами было показано нарастание экспрессии синаптофизина по мере созревания нейронов [13]. Более выраженное окрашивание на синаптофизин и перекрытие с NSE+-структурами может отражать влияние ТЭС на формирование синаптических контактов с трансплантированными нейронами.
Рис. 6. Локализация трансплантированных нейронов в контрольной группе (24 сут дифференцировки) и после воздействия ТЭС через 3 мес после трансплантации.
А — смещение NSE+-клеток (показано красным) в краевую зону трансплантата (стрелки), центральная зона обозначена звездочками; В — размеры трансплантата; С — увеличение областей колокализации синаптофизина (показано зелёным) и NSE (показано красным) под действием TЭС (стрелки). Ядра клеток докрашены DAPI (показано синим).
Fig. 6. Localization of transplanted neurons in the control group (day 24 of differentiation) and after tDCS at 3 months following the transplantation.
A — shift of NSE+ cells (shown in red) to the marginal zone of the graft (arrows), the central zone is indicated by asterisks; B — graft size; C — increase in SYP (shown in green) and NSE (shown in red) colocalization areas caused by tDCS (arrows). Cell nuclei were counterstained with DAPI (shown in blue).
Таким образом, морфологическое исследование показало влияние ТЭС на развитие и морфологические характеристики трансплантата и миграцию клеток в пределах области трансплантации. Патологических изменений в окружающих трансплантат структурах не выявили. По-видимому, ТЭС оказывала влияние как на дифференцировку и миграцию, так и на интеграцию нейронов трансплантата, что требует дальнейшего исследования.
Обсуждение
НТ представляется одним из перспективных методов лечения БП. Уменьшение выраженности моторных симптомов БП является основным ожидаемым поведенческим эффектом НТ. Большей частью такой эффект был показан в работах по НТ эмбриональных дофаминергических нейронов вентрального среднего мозга [22, 23], однако введение таких клеток вызывало, кроме этических проблем, тяжёлые трансплантат-индуцированные дискинезии. Другим источником клеточных трансплантатов, содержащих аутологичные дофаминергические нейроны, являются ИПСК, полученные в результате репрограммирования фибробластов с помощью экспрессии в них пептидных факторов плюрипотентности [24], после чего по различным протоколам осуществляется дифференцировка ИПСК in vitro в нейрональном направлении [11]. Критериями морфофункционального соответствия дофаминергических нейронов, дифференцированных из ИПСК, нативным дофаминергическим нейронам служат следующие показатели: выживаемость трансплантированных нейронов, интенсивность нейритного роста из трансплантата, формирование в стриатуме диффузной сети дофаминергических терминалей, высвобождение из них дофамина, параметры их биоэлектрической активности, а также восстановление утраченных моторных функций у животных с моделью БП [25]. В наших исследованиях при аналогичном протоколе дифференцировки ранее было показано развитие дофаминовых нейронов и формирование их отростков в трансплантате к 3–6 мес [12, 13]. Трансплантация нейрональных предшественников у животных с моделями БП показала определённые преимущества перед трансплантацией фетальных клеток, однако достигнутые позитивные результаты пока являются недостаточно хорошо воспроизводимыми [25, 26]. Это связано с рядом факторов: типом и качеством трансплантируемых клеток, используемой моделью БП, индивидуальными особенностями животных-реципиентов. Оптимизация этих факторов позволит повысить эффективность лечения и стабильность поведенческих эффектов.
Самостоятельным перспективным терапевтическим подходом при нейродегенеративных заболеваниях является применение неинвазивных методов нейромодуляции [14, 27]. Они включают различные формы ТЭС низкой интенсивности — такая стимуляция постоянным током является наиболее изученной, а её влияние на нейропластичность в моторной коре зависит от полярности. В настоящей работе мы сосредоточились на катодной полярности, при которой потенциал покоя мембраны гиперполяризуется (в отличие от анодной, когда потенциал покоя мембраны деполяризуется) [28]. Катодная ТЭС постоянным током по стандартным протоколам снижает возбудимость коры и может вызывать гомосинаптическую долговременную депрессию при достаточно большой длительности стимуляции. Кроме длительности и интенсивности, очень важна частота повторения стимуляции как фактор эффективности катодной стимуляции, от которого зависит продолжительность нейропластического эффекта. Механизмы, лежащие в основе благотворного воздействия ТЭС, пока не до конца изучены; для полного их понимания, проверки безопасности метода и оптимизации параметров стимуляции используются модели на животных, в частности, грызунах [29–31]. При выборе параметров стимуляции для нашего исследования мы руководствовались данными, полученными из литературных источников, поскольку ранее такие работы нами не проводились [15, 16, 32]
Показано, что использование ТЭС благоприятно влияет на дифференцировку и выживаемость клеток нейротрансплантата [15, 16]. В исследованиях, проведённых нами ранее [12, 13], установлено, что после трансплантации происходит функциональное созревание нейронов транспланантата в сроки до 3 мес, причём наибольшие изменения экспрессии белков дифференцировки клеток наблюдаются в срок до 1 мес и продолжаются до 3 мес после трансплантации, что определяет возможные временные рамки воздействия на трансплантат при помощи ТЭС постоянным током для улучшения созревания нейронов. Следует отметить, что в ряде проведённых экспериментов [12] трансплантат содержал смешанную глионейрональную культуру, и часть клеток давала начало популяции астроцитов. Обсуждаются возможные механизмы влияния ТЭС постоянным током на астроциты [33], которые могут оказывать существенный эффект как на ответ астроглии хозяина при трансплантации, так и на астроциты донора при использовании смешанных культур. Таким образом, комбинирование ТЭС и НТ может стать перспективным направлением в терапии БП.
Установленные в нашей работе увеличение размеров трансплантата и изменение его морфологии могут свидетельствовать о влиянии ТЭС непосредственно на трансплантированные клетки, их созревание и интеграцию в стриатум реципиента. Вместе с тем эффекты ТЭС на поведение и развитие трансплантата могут быть обусловлены рядом факторов, в том числе воздействием на нейроны стриатума, неокортекса и других структур мозга, вовлечённых в регуляцию двигательной активности животных, меняющим баланс возбуждающих и тормозных влияний [34], влиянием на глиальные клетки, включающим противовоспалительные эффекты [35] и увеличение экспрессии BDNF [36], участвующего в пластических изменениях в нервной системе.
Хотя модели на животных предоставляют собой мощный инструмент для выявления нейробиологических механизмов действия ТЭС, найти генератор тока, который прост в использовании и позволяет применять широкий диапазон параметров стимуляции, может быть сложно и/или дорого [37]. В большинстве случаев при изучении эффектов ТЭС отечественные экспериментаторы используют импортные приборы, к примеру, «Alpha-Stim» («Electromedical Products International, Inc.»). Подобные устройства предназначены для процедур ТЭС при лечении тревоги, бессонницы, депрессии и боли, они эффективны, безопасны, просты в использовании и имеют необходимые разрешения от регуляторов. Однако они имеют ряд конструктивных особенностей, ограничивающих их применение в лабораторной практике. Это касается формы генерируемых импульсов, диапазона частот, диапазона установки тока, длительности импульсов.
Условия экспериментов при изучении ТЭС требуют значительно более широкого диапазона регулирования параметров стимулирующего тока — к примеру, требуется ток в виде импульсов с синусоидальным наполнением и постоянной составляющей или шумоподобным сигналом. Технические ограничения аппаратуры ТЭС продиктовали необходимость разработки оригинального аппарата, предназначенного в первую очередь для лабораторного использования и свободного от недостатков существующих и коммерчески доступных устройств. Такой стимулятор был разработан и изготовлен с помощью специалистов МГТУ им. Н.Э. Баумана в виде опытного образца. Аппарат «Бета-Стим» представляет собой программируемый генератор стабильного тока в диапазоне частот от постоянного тока до 80 Гц при произвольной (задаваемой экспериментатором) форме сигнала и диапазоне величин тока от 1 мкА до 1 мА. Он разрабатывался для применения в экспериментах на мелких грызунах. Прибор прост в эксплуатации, изготовлен с широким применением отечественных свободно доступных комплектующих, свободен от лицензионных и патентных ограничений.
В настоящей работе крысам Вистар было осуществлено моделирование 6-ГДА-индуцированного паркинсонического синдрома. Эта модель наиболее удобна для изучения потенциала НТ предшественников дофаминергических нейронов в хвостатые ядра мозга крыс. Известно, что НТ может вызывать временное ухудшение симптомов в раннем послеоперационном периоде [38], чем, по-видимому, объясняется снижение двигательной активности у крыс группы Т, выявленное через 3 нед после повторной операции. Позднее двигательная активность вернулась к дооперационному уровню. Сохранившийся уровень двигательной активности у крыс группы Т+С, вероятно, связан с противовоспалительным действием дексдомитора, использовавшегося для седации. В совокупности с НТ был проведён курс ТЭС постоянным током. Были показаны положительные эффекты ТЭС на двигательную активность и эмоциональное состояние экспериментальных животных группы Т+ТЭС. У крыс группы Т+С наблюдались признаки неврозоподобного состояния, как и у животных групп К2 и Т, что позволяет исключить вероятность эффекта дексдомитора на этот показатель. Тестирование поведения через 3 мес после НТ не выявило каких-либо различий между группами модельных крыс, что может свидетельствовать о краткосрочности эффектов ТЭС, проведённой в выбранном нами режиме.
Заключение
Проведение ТЭС у крыс-биомоделей БП с трансплантированными предшественниками дофаминергических нейронов с помощью разработанного специализированного лабораторного стимулятора хорошо переносилось животными.
Результаты физиологического и морфохимического исследований свидетельствуют о влиянии ТЭС на развитие и структуру трансплантата, а также на изменение моторных и немоторных симптомов у крыс после НТ.
Таким образом, сочетание НТ и ТЭС на моделях БП, в частности, на модели, индуцированной введением нейротоксина 6-ГДА в кЧС, демонстрирует потенциал для коррекции не только двигательных, но и недвигательных проявлений заболевания. Однако для успешной трансляции метода в клинику необходимы дальнейшая оптимизация протоколов трансплантации, транскраниальной стимуляции и оценка долгосрочной эффективности и безопасности.
Об авторах
Алла Вадимовна Ставровская
Научный центр неврологии
Email: alla_stav@mail.ru
ORCID iD: 0000-0002-8689-0934
в. н. с. лаб. экспериментальной патологии нервной системы и нейрофармакологии Института мозга
Россия, МоскваДмитрий Николаевич Воронков
Научный центр неврологии
Email: alla_stav@mail.ru
ORCID iD: 0000-0001-5222-5322
к.м.н., с.н.с. лаб. нейроморфологии Института мозга Научного центра неврологии
Россия, МоскваИван Александрович Потапов
Научный центр неврологии
Email: alla_stav@mail.ru
ORCID iD: 0000-0002-7471-3738
м. н. с. лаб. экспериментальной патологии нервной системы и нейрофармакологии Института мозга
Россия, МоскваДаниил Сергеевич Титов
Московский государственный технический университет имени Н.Э. Баумана
Email: alla_stav@mail.ru
ORCID iD: 0000-0002-3290-0367
аспирант
Россия, МоскваАртем Сергеевич Ольшанский
Научный центр неврологии
Email: alla_stav@mail.ru
ORCID iD: 0000-0002-5696-8032
с. н. с. лаб. экспериментальной патологии нервной системы и нейрофармакологии Института мозга
Россия, МоскваАнастасия Кирилловна Павлова
Научный центр неврологии
Email: alla_stav@mail.ru
ORCID iD: 0009-0006-5653-5524
лаборант-исследователь лаб. экспериментальной патологии нервной системы и нейрофармакологии Института мозга
Россия, МоскваОльга Сергеевна Лебедева
Федеральный научно-клинический центр физико-химической медицины имени академика Ю.М. Лопухина
Email: alla_stav@mail.ru
ORCID iD: 0000-0003-0767-5265
с. н. с. лаб. клеточной биологии
Россия, МоскваСергей Николаевич Иллариошкин
Научный центр неврологии
Автор, ответственный за переписку.
Email: alla_stav@mail.ru
ORCID iD: 0000-0002-2704-6282
д. м. н. профессор, академик РАН, зам. директора Научного центра неврологии по научной работе, директор Института мозга
Россия, МоскваСписок литературы
- Ou Z., Pan J., Tang S. et al. Global trends in the incidence, prevalence, and years lived with disability of Parkinson’s disease in 204 countries/territories from 1990 to 2019. Front. Public Health. 2021;9:776847. doi: 10.3389/fpubh.2021.776847
- Earls R.H., Menees K.B., Chung J. et al. Intrastriatal injection of preformed alpha-synuclein fibrils alters central and peripheral immune cell profiles in non-transgenic mice. J. Neuroinflammation. 2019;16(1):250. doi: 10.1186/s12974-019-1636-8
- Araújo B., Caridade-Silva R., Soares-Guedes C. et al. Neuroinflammation and Parkinson’s disease — from neurodegeneration to therapeutic opportunities. Cells. 2022;11(18):2908. doi: 10.3390/cells11182908
- MacMahon Copas A.N., McComish S.F., Fletcher J.M., Caldwell M.A. The pathogenesis of Parkinson’s disease: a complex interplay between astrocytes, microglia, and T lymphocytes? Front. Neurol. 2021;12:666737. doi: 10.3389/fneur.2021.666737
- Puspita L., Chung S. Y. , Shim J.-W. Oxidative stress and cellular pathologies in Parkinson’s disease. Mol. Brain. 2017;10(1):53. doi: 10.1186/s13041-017-0340-9
- Santiago R.M., Barbieiro J., Lima M.M.S. et al. Depressive-like behaviors alterations in-duced by intranigral MPTP, 6-OHDA, LPS and rotenone models of Parkinson’s disease are predominantly associated with serotonin and dopamine. Prog. Neuropsychopharmacol. Biol. Psychiatry. 2010;34(6):1104–1114 doi: 10.1016/j.pnpbp.2010.06.004
- Milber J.M., Noorigian J.V., Morley J.F. et al. Lewy pathology is not the first sign of degeneration in vulnerable neurons in Parkinson disease. Neurology. 2012;79(24):2307–2314. doi: 10.1212/WNL.0b013e318278fe32
- Pingale T., Gupta G.L. Classic and evolving animal models in Parkinson’s disease. Pharmacol. Biochem. Behav. 2020;199:173060. doi: 10.1016/j.pbb.2020.173060
- Stavrovskaya A.V., Berezhnoy D.S., Voronkov D. N. et al. Classical model of 6-hydroxydopamine-induced Parkinsonism in rats is characterized by unilateral lesion of brain mesolimbic system. Neurochem. J. 2020;14(3):303–309. doi: 10.1134/S1819712420030101
- Kim T.W., Koo S.Y., Studer L. Pluripotent stem cell therapies for Parkinson disease: present challenges and future opportunities. Front. Cell Dev. Biol. 2020;8:729. doi: 10.3389/fcell.2020.00729
- Lebedeva O.S., Lagarkova M.A. Pluripotent stem cells for modelling and cell therapy of Parkinson’s disease. Biochemistry (Mosc.). 2018;83(9):1046–1056. doi: 10.1134/S0006297918090067
- Voronkov D.N., Stavrovskaya A.V., Guschina A.S. et al. Morphological characterization of astrocytes in a xenograft of human iPSC-derived neural precursor cells. Acta Naturae. 2022;14(3):100–108. doi: 10.32607/actanaturae.11710
- Воронков Д.Н., Ставровская А.В., Лебедева О.С. и др. Морфологические изменения нейрональных предшественников, полученных из индуцированных плюрипотентных стволовых клеток человека и трансплантированных в стриатум крыс с моделью болезни Паркинсона. Анналы клинической и экспериментальной неврологии. 2023;17(2):43–50. Voronkov D.N., Stavrovskaya A.V., Lebedeva O.S. et al. Morphological changes in neural progenitors derived from human induced pluripotent stem cells and transplanted into the striatum of a Parkinson’s disease rat model. Annals of Clinical and Experimental Neurology. 2023;17(2):43–50. doi: 10.54101/ACEN.2023.2.6
- Lefaucheur J.-P., Antal A., Ayache S.S. et al. Evidence-based guidelines on the therapeutic use of transcranial direct current stimulation (tDCS). Clin. Neurophysiol. 2017;128(1):56–92. doi: 10.1016/j.clinph.2016.10.087
- Broeder S., Nackaerts E., Heremans E. et al. Transcranial direct current stimulation in Parkinson’s disease: neurophysiological mechanisms and behavioral effects. Neurosci. Biobehav. Rev. 2015;57:105–117. doi: 10.1016/j.neubiorev.2015.08.010
- Ni R., Yuan Y., Yang L. et al. Novel non-invasive transcranial electrical stimulation for Parkinson’s disease. Front. Aging Neurosci. 2022;14:880897. doi: 10.3389/fnagi.2022.880897
- Paxinos G., Watson Ch. The rat brain in stereotaxic coordinates. San Diego; 2006.
- Holmqvist S., Lehtonen Š., Chumarina M. et al. Creation of a library of induced pluripotent stem cells from Parkinsonian patients. NPJ Parkinsons Dis. 2016;2:16009. doi: 10.1038/npjparkd.2016.9
- Matsumoto H., Ugawa Y. Adverse events of tDCS and tACS: a review. Clin. Neurophysiol. Pract. 2016;2:19–25. doi: 10.1016/j.cnp.2016.12.003
- Болотова В.Ц., Крауз В.А., Шустов Е.Б. Биологическая модель экспериментального невроза у лабораторных животных. Биомедицина. 2015;(1):66–80. Bolotova V.Ts., Krauz V.A., Shustov E.B. Biological model of experimental neurosis in laboratory animals. Biomedicine. 2015;(1):66–80.
- Sweis B.M., Bachour S.P., Brekke J.A. et al. A modified beam-walking apparatus for assessment of anxiety in a rodent model of blast traumatic brain injury. Behav. Brain Res. 2016;296:149–156. doi: 10.1016/j.bbr.2015.09.015
- Bjorklund A., Stenevi U. Reconstruction of the nigrostriatal dopamine pathway by intracerebral nigral transplants. Brain Res. 1979;177(3):555–560. doi: 10.1016/0006-8993(79)90472-4
- Freed C.R., Greene P.E., Breeze R.E. et al. Transplantation of embryonic dopamine neurons for severe Parkinson’s disease. N. Engl. J. Med. 2001; 344(10):710–719. doi: 10.1056/NEJM200103083441002
- Takahashi K., Yamanaka S. Induction of pluripotent stem cells from mouse embryonic and adult fibroblast cultures by defined factors. Cell. 2006;126(4):663–676. doi: 10.1016/j.cell.2006.07.024
- Иллариошкин С.Н., Хаспеков Л.Г., Гривенников И.А. Моделирование болезни Паркинсона c использованием индуцированных плюрипотентных стволовых клеток. М.; 2016. Illarioshkin S.N., Khaspekov L.G., Grivennikov I.A. Modeling of Parkinson's disease using induced pluripotent stem cells. Moscow; 2016.
- Ставровская А.В., Новосадова Е.В., Ольшанский А.С. и др. Влияние геномного редактирования клеток на результаты нейротрансплантации при экспериментальном паркинсонизме. Современные технологии в медицине. 2017;9(4):7–14. Stavrovskaya A.V., Novosadova E.V., Olshansky A.S. et al. Effect of cell genome editing on the outcome of neurotransplantation in experimental parkinsonism. Modern Tehnologies in Medicine. 2017;9(4):7–14. doi: 10.17691/stm2017.9.4.01
- Pellicciari M.C., Miniussi C. Transcranial direct current stimulation in neurodegenerative disorders. J. ECT. 2018;34(3):193–202. doi: 10.1097/YCT.0000000000000539
- Salehinejad M.A., Ghanavati E. Complexity of cathodal tDCS: relevance of stimulation repetition, interval, and intensity. J. Physiol. 2020;598(6):1127–1129. doi: 10.1113/JP279409
- Pedron S., Beverley J., Haffen E. et al. Transcranial direct current stimulation produces long-lasting attenuation of cocaine-induced behavioral responses and gene regulation in corticostriatal circuits. Addict. Biol. 2017;22(5):1267–1278. doi: 10.1111/adb.12415
- Jackson M.P., Rahman A., Lafon B. et al. Animal models of transcranial direct current stimulation: methods and mechanisms. Clin. Neurophysiol. 2016;127(11):3425–3454. doi: 10.1016/j.clinph.2016.08.016
- Liebetanz D., Koch R., Mayenfels S. et al. Safety limits of cathodal transcranial direct current stimulation in rats. Clin. Neurophysiol. 2009;120(6):1161–1167. doi: 10.1016/j.clinph.2009.01.022
- Feng X.J., Huang Y.T., Huang Y.Z. et al. Early transcranial direct current stimulation treatment exerts neuroprotective effects on 6-OHDA-induced Parkinsonism in rats. Brain Stimul. 2020;13(3):655–663. doi: 10.1016/j.brs.2020.02.002
- Monai H., Hirase H. Astrocytes as a target of transcranial direct current stimulation (tDCS) to treat depression. Neurosci. Res. 2018;126:15–21. doi: 10.1016/j.neures.2017.08.012
- Yamada Y., Sumiyoshi T. Neurobiological mechanisms of transcranial direct current stimulation for psychiatric disorders; neurophysiological, chemical, and anatomical considerations. Front. Hum. Neurosci. 2021;15:631838. doi: 10.3389/fnhum.2021.631838
- Ethridge V.T., Gargas N.M., Sonner M.J. et al. Effects of transcranial direct current stimulation on brain cytokine levels in rats. Front Neurosci. 2022;16:1069484. doi: 10.3389/fnins.2022.1069484
- Yu T.H., Wu Y.J., Chien M.E. et al. Transcranial direct current stimulation induces hippocampal metaplasticity mediated by brain-derived neurotrophic factor. Neuropharmacology. 2019;144:358–367. doi: 10.1016/j.neuropharm.2018.11.012
- Pedron S., Dumontoy S., Dimauro J. et al. Open-tES: an open-source stimulator for transcranial electrical stimulation designed for rodent research. PLoS One. 2020;15(7):e0236061. doi: 10.1371/journal.pone.0236061
- Иллариошкин С.Н. Нейротрансплантация: настало ли время? Анналы клинической и экспериментальной неврологии. 2018;12(5C):16–24. Illarioshkin S.N. Neurotransplantation: has the time come? Annals of clinical and experimental neurology. 2018;12(5S):16–24. doi: 10.25692/ACEN.2018.5.2











