Incidence of facial palsy following microsurgical removal of vestibular schwannoma using direct electrical stimulation: a meta-analysis
- Authors: Seliverstova E.G.1, Sinkin M.V.1,2, Grin A.A.1,2
-
Affiliations:
- Sklifosovsky Research Institute of Emergency Medicine
- Pirogov Russian National Research Medical University
- Issue: Vol 19, No 2 (2025)
- Pages: 52-61
- Section: Original articles
- Submitted: 13.11.2024
- Accepted: 12.03.2025
- Published: 26.06.2025
- URL: https://annaly-nevrologii.com/pathID/article/view/1234
- DOI: https://doi.org/10.17816/ACEN.1234
- EDN: https://elibrary.ru/YKGNAQ
- ID: 1234
Cite item
Abstract
Aim. To determine the incidence of facial palsy (FP) following microsurgical removal of vestibular schwannoma using direct electrical stimulation.
Materials and methods. The meta-analysis included 946 publications from PubMed, Google Scholar, Web of Science, and eLIBRARY.RU, of which 9 studies meeting the inclusion and exclusion criteria were selected. The total number of patients was 1875, with 278 having FP after microsurgical removal of vestibular schwannoma. The pooled mean age of patients was 46.9 [44.5; 49.4] years, with a male-to-female ratio of 1 : 1.
Results. The pooled incidence rate of early postoperative FP was 16.1% (6.8–25.3%), and delayed FP was 8.7% (0.5–12.4%). At 12 months postoperatively, patients with delayed FP demonstrated better recovery outcomes of facial muscle function.
Full Text
Introduction
Vestibular schwannoma (VS; acoustic neurinoma, acoustic neuroma, acoustic schwannoma) is a benign tumor arising from the vestibular division of the VIII cranial nerve, accounting for approximately 8% of all intracranial tumors and 80–90% of cerebellopontine angle (CPA) tumors in adults. VS is rarely observed in children, except in patients with neurofibromatosis type 2. The prevalence of VS varies across populations, ranging from 0.36 to 2.66 per 100,000 individuals. The disease occurs equally in men and women, with a median age at diagnosis of 50 years [1].
Despite the initial description of VS in 1777 [2], the first successful surgical intervention was performed over 100 years later [3]. Since the late 19th century, numerous attempts have been made to optimize surgical approaches to prevent brainstem ischemia caused by the damage of the anterior inferior cerebellar artery. Most CPA tumor surgeries performed at that time were associated with extremely high mortality rates, reaching up to 84% [4].
Another significant intraoperative complication was facial palsy (FP) due to its intraoperative injury. To address this issue, attempts were made to perform single-stage cross-plasty using the accessory and hypoglossal nerves, which were not widely adopted at the time.
In 1898, F. Krause et al. introduced a technique for intraoperative localization of the facial nerve (FN) via its electrical stimulation until visible contractions of facial muscles occurred [5]. The main drawbacks of FN stimulation were the lack of quantitative stimulus control and objective recording of the elicited responses. In 1979, T.E. Delgado et al. proposed intraoperative electromyography (EMG) of facial muscles for more precise monitoring of FN function [6]. Experimental studies established that the FN location coincided with the peak M-wave amplitude obtained at minimal current strength. At the end of surgery, stimulation of the FN root near the brainstem and distally in the auditory canal area was performed. Matching M-wave amplitudes during distal and proximal stimulation served as an indicator of preserved FN conductive function. This technique became widely adopted and remains in use in neurosurgical practice to this day [7].
Despite the close anatomical proximity to the vestibulocochlear nerve in the cerebellopontine angle (CPA) region, facial palsy (FP) as a symptom of vestibular schwannoma (VS) occurs in 5–15% of cases [8]. The incidence of postoperative FP ranges from 2% to 40% [9]. Facial nerve dysfunction occurs immediately after surgery, within 48–72 hours, or may be delayed, developing 5–30 days postoperatively (on average, 10–12 days, after the patient’s discharge from the hospital) [10–12].
In patients undergoing VS resection, FP remains a major issue, leading not only to adverse functional outcomes but also to severe psychological consequences [13]. Due to incomplete eyelid closure (lagophthalmos), various corneal injuries may develop, including dryness, erosions, and infection. Patients experience difficulties with speech, food intake, chewing, and emotional expression, which undoubtedly affects their quality of life and provokes anxiety and depressive disorders [14]. The widespread adoption of intraoperative neurophysiological monitoring (IONM) during VS resection since the 1990s has significantly reduced the incidence of FP in the postoperative period [15].
We conducted a systematic literature search and subsequent meta-analysis to determine the incidence of FP following microsurgical resection of VS using direct facial nerve stimulation for its identification and assessment of functional integrity at the end of surgery.
Materials and methods
Paper search and study selection
The literature search and study selection process followed an algorithm developed in accordance with the Preferred Reporting Items for Systematic Reviews and Meta-Analyses (PRISMA) guidelines [16]. We conducted searches in PubMed, Google Scholar, Web of Science, and eLIBRARY.RU using a combination of search queries, keywords, and Boolean operators. To align with the research objectives, conference abstracts, meeting minutes, books, case reports, and case series were excluded. The search strategy utilized the following queries in international databases: “facial palsy”, “vestibular schwannoma surgery”, “acoustic neuroma surgery”; for Russian-language resources: “нейропатия лицевого нерва” (facial palsy), “вестибулярная шваннома” (vestibular schwannoma), “невринома слухового нерва” (acoustic neuroma). Publication dates were restricted to articles published after 1990 (following the widespread implementation of intraoperative neuromonitoring) and before June 15, 2024.
Inclusion and exclusion criteria
The systematic review included studies where patients had no preoperative impairment of facial nerve function (House–Brackmann [HB] grade I), underwent total or subtotal tumor resection, and where publications specified the surgical approach type and timing of postoperative facial palsy (FP) onset. Postoperative FN function was assessed using the HB scale throughout the follow-up period until hospital discharge and within the first postoperative month during active patient consultations. Delayed facial palsy was defined as a de novo deterioration in its function by >1 point on the House-Brackmann (HB) scale occurring later than 24 hours postoperatively.
Microsurgical VS resection was performed using IONM, which included direct FN stimulation for nerve identification during tumor resection and assessment of its functional integrity at surgery completion via direct stimulation of its root near the brainstem. Favorable surgical outcomes were defined as HB grades I and II.
Studies were excluded from the meta-analysis if patients had preoperative FN deficits, tumor progression (recurrence), or prior VS radiosurgery. Papers involving patients with bilateral tumors associated with neurofibromatosis type 2 were also excluded from the study.
Research Data Extraction and Synthesis
During the initial screening using the aforementioned search queries, 946 publication references were retrieved, of which 33 were duplicates; only unique search results were retained. No Russian-language articles met the inclusion criteria.
Thus, out of the initially identified search results, aggregated quantitative data from 9 (0.95%) articles satisfied the final inclusion criteria for the systematic review and were processed using statistical analysis. All selected publications corresponded to the case-control study type. The selection process is illustrated in Fig. 1.
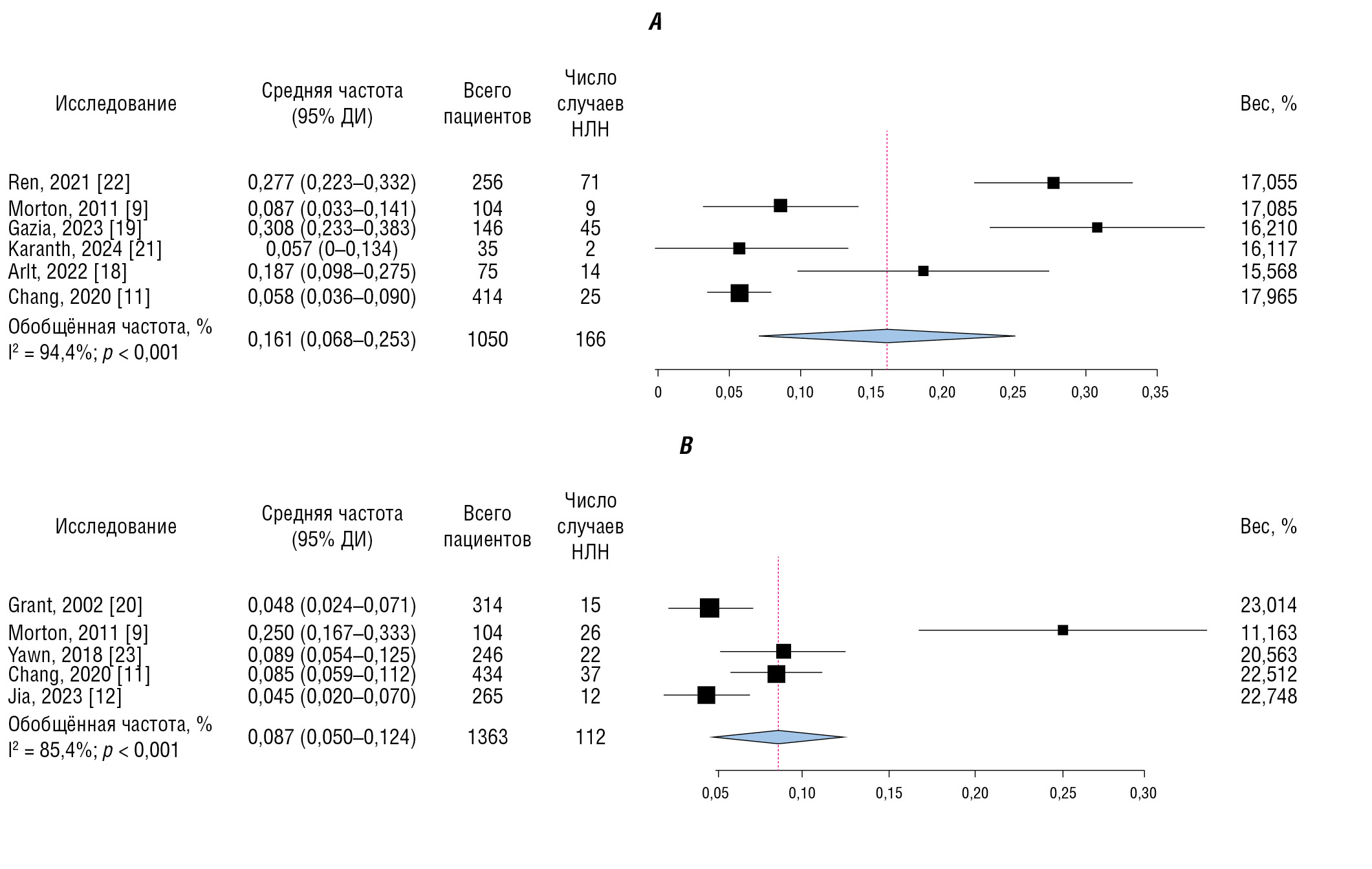
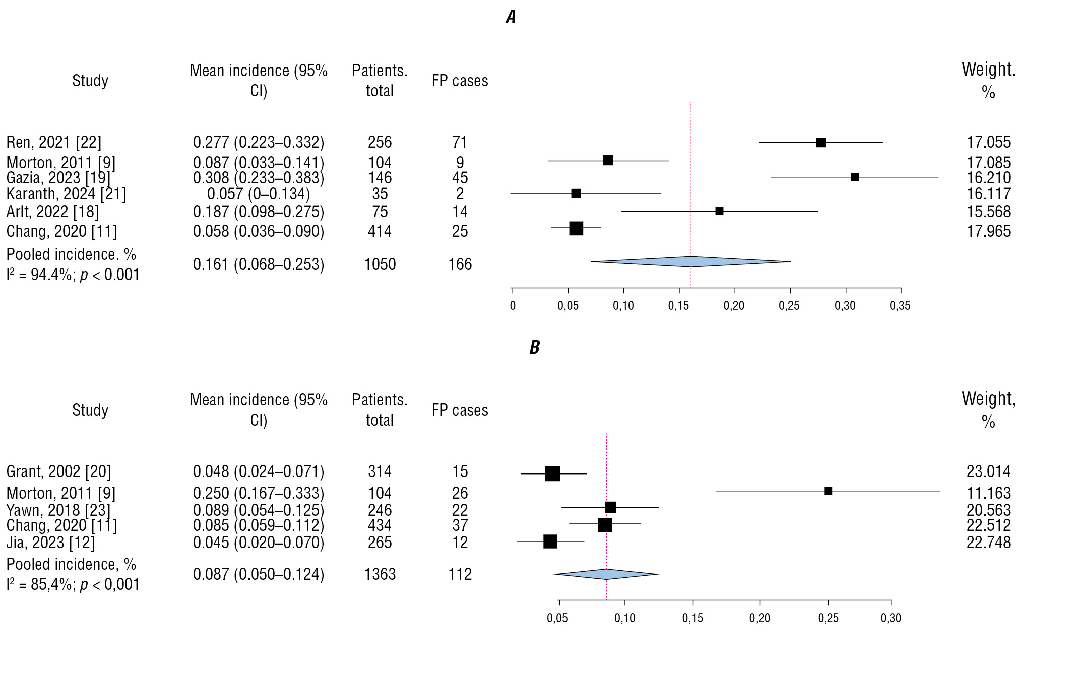
Fig. 1. Flowchart of studies included in the meta-analysis.
In this figure and in Figs. 3 and 4: squares represent the effect size for each study (square size corresponds to study weight); horizontal lines — 95% CIs; diamond — pooled effect size and its 95% CI.
For each study, the following data were recorded: first author, publication year, study group, number of cases and timing of FP development, surgical approach, degree of FN dysfunction per the House–Brackmann (HB) scale, and potential predictors of unfavorable outcomes.
Bias Risk
The validity and methodological quality assessment of selected non-randomized case-control studies was conducted using the adapted Newcastle-Ottawa Scale (NOS) [17], which accounts for bias risks across 8 domains (D1–D8), divided into 3 categories: patient selection, group comparability, and exposure analysis. For each item, multiple response options are provided. During the assessment, 1 point may be awarded per item within the “patient selection” and “outcome/exposure analysis” domains or 2 points within the “group comparability” domain; the maximum total score is 9 (Table 1).
Table 1. Validity and Methodological Quality Assessment of Selected Studies, Scores
No. | Study | D1 | D2 | D3 | D4 | D5 | D6 | D7 | D8 | Total | Bias risk |
1 | Arlt, 2022 [18] | 1 | 0 | 1 | 0 | 2 | 1 | 1 | 1 | 7 | Medium |
2 | Chang, 2020 [11] | 1 | 1 | 1 | 1 | 2 | 1 | 1 | 1 | 9 | Low |
3 | Gazia, 2023 [19] | 1 | 0 | 1 | 1 | 1 | 1 | 1 | 0 | 6 | Medium |
4 | Grant, 2002 [20] | 1 | 1 | 1 | 0 | 1 | 1 | 1 | 0 | 6 | Medium |
5 | Jia, 2023 [12] | 1 | 1 | 1 | 1 | 2 | 1 | 1 | 1 | 9 | Low |
6 | Karanth, 2024 [21] | 1 | 1 | 1 | 1 | 2 | 1 | 1 | 1 | 9 | Low |
7 | Morton, 2011 [9] | 1 | 1 | 1 | 1 | 2 | 1 | 1 | 1 | 9 | Low |
8 | Ren, 2021 [22] | 0 | 1 | 1 | 0 | 1 | 1 | 1 | 1 | 7 | Medium |
9 | Yawn, 2018 [23] | 1 | 1 | 1 | 1 | 1 | 1 | 1 | 0 | 7 | Medium |
The bias risk assessed using the NOS scale may be categorized as low, moderate, or high. O.Yu. Rebrova et al. [17] propose the following interpretation of bias risk assessment results:
- studies scoring ≤ 5 points (out of 9) have a high risk of systematic bias;
- studies scoring 6-7 points — moderate risk of systematic bias;
- studies scoring 8-9 points — low risk of systematic bias.
Statistical Analysis
Statistical data processing was performed using Review Manager v. 5.4.1 (The Cochrane Collaboration, 2020) and OpenMeta Analyst software. Study heterogeneity was assessed with the Q-test, while the magnitude of heterogeneity was determined using the I² statistic. Statistically significant heterogeneity was considered present at p < 0.1. For the latter, a 95% confidence interval (CI) was also calculated. When pooling data from individual studies, given the substantial statistical heterogeneity across most parameters (I² > 40%), we used the DerSimonian and Laird random-effects model. Publication bias was assessed using funnel plots and Egger’s test; bias was considered significant at p < 0.05.
Results
The total number of patients included in the meta-analysis was 1,875, of whom 278 developed FP following microsurgical VS resection. Delayed onset of postoperative FP was observed in 112 patients.
Two publications lacked information on sex distribution in the study samples; among the remaining 1,365 patients, 696 (51%) were female. In the study by R.J. Yawn et al., delayed FP developed in 22 patients, 15 of whom were female [23]; in the study by X.H. Jia et al., 4 out of 15 patients were female [12]. The follow-up period in the majority of publications (67%) was 12 months.
Fig. 2. Results of the meta-analysis of the pooled mean age of patients.
The study samples included in the meta-analysis were heterogeneous in age (I² = 96.55%; p < 0.001). The youngest patient was 13 years old [9], and the oldest was 87 years old [18]. Three studies included patients under 15 years of age [9, 11, 22]. The pooled mean age of patients was 46.9 (44.5–49.4) years (Fig. 2).
Features of Intraoperative Neurophysiological Monitoring
All selected publications used stimulation at the FN exit zone from the brainstem to predict postoperative FN function. The minimum stimulus intensity required to elicit facial muscle contractions varied across studies. For example, studies by Y. Ren et al. [22] and X.H. Jia et al. [12] used a current intensity of 0.05 mA, while G.A. Grant et al. [20] used 0.1 mA. In the publication by F. Gazia et al., the stimulation protocol started at 0.05 mA, followed by incremental adjustments in 0.01 mA steps until reaching a minimum stimulus of 0.01 mA or a maximum of 5.0 mA [19]. According to V.K.K.S. Karanth et al., a threshold stimulation current of 0.05–0.10 mA during proximal stimulation indicates good functional integrity of the FN, whereas a threshold current of 0.2–1.0 mA may be predictive of its injury and functional impairment [21].
In the study by F. Arlt et al., the reported stimulation intensity was 0.76 (0.70±0.29) V [18].
The majority (80%) of publications were retrospective case-control studies. General characteristics of the studies included in the meta-analysis are presented in Table 2.
Table 2. General characteristics of the studies included in the meta-analysis
Study | Country | Surgeon's expertise | Design | n | Mean age, years (М±SD) | FP cases | Translabyrinthine approach | Retrosigmoid approach | Middle fossa approach |
Early postoperative FP | |||||||||
Morton, 2011 [9] | US | Neurosurgery, otorhinolaryngology | Retrospective | 104* | 39.6±11.5 | 9 | 43 | 49 | 3 |
Chang, 2020 [11] | Canada | Neurosurgery, otorhinolaryngology | Retrospective | 434* | 48.9±11.4 | 25 | 36 | 372 | 17 |
Ren, 2021 [22] | US | Otorhinolaryngology | Prospective | 256 | 47.7±13.0 | 71 | 130 | 64 | 62 |
Arlt, 2022 [18] | Germany | Neurosurgery | Retrospective | 75 | 55.4±14.6 | 14 | 0 | 75 | 0 |
Gazia, 2023 [19] | Italy, Spain | Otorhinolaryngology | Retrospective | 146 | 51.9±13.1 | 45 | 146 | 0 | 0 |
Karanth, 2024 [21] | India | Neurosurgery | Prospective | 35 | 41.0±10.5 | 2 | 0 | 35 | 0 |
Delayed onset of postoperative FP | |||||||||
Grant, 2002 [20] | US | Neurosurgery, otorhinolaryngology | Retrospective | 314 | 48.1±8.2 | 15 | # | # | 0 |
Morton, 2011 [9] | US | Neurosurgery, otorhinolaryngology | Retrospective | 104* | 39.6±11.5 | 26 | 43 | 49 | 3 |
Yawn, 2018 [23] | US | Neurosurgery, otorhinolaryngology | Retrospective | 246 | 47.2±8.9 | 22 | 19** | 3** | 0 |
Chang, 2020 [11] | Canada | Neurosurgery, otorhinolaryngology | Retrospective | 434* | 48.9±11.4 | 37 | 36 | 372 | 17 |
Jia, 2023 [12] | China | Otorhinolaryngology | Retrospective | 265 | 42.6±6.4 | 12 | 0 | 265 | 0 |
Note. #The surgical approaches used are listed without specifying their quantity. *In the “case” group, we noted the development of immediate and delayed FP. **The study indicates the number of only those approaches where FP was observed.
The presented publications lack a unified approach to classifying FP based on the timing of its onset in the postoperative period. Such significant variability complicates the comparison of results. According to R.J. Yawn et al., early postoperative FP develops within the first 24 hours after VS resection. S. Chang et al. consider FP occurring within the first 48 hours postoperatively as immediate [11]. According to G.A. Grant et al., this period is 72 hours, while X.H. Jia et al. report up to 5 days [12].
L.P. Carlstrom et al. defined delayed FP as a deterioration of FN function by at least 2 points on the House-Brackmann scale between the 5th and 30th postoperative days. S. Chang et al. described two subgroups of delayed FP [11]. The early-onset FP group included patients with normal FN function immediately upon awakening in the intensive care unit but developing facial muscle weakness within the first 48 hours after surgery. The late-onset FP group comprised patients if FN dysfunction occurred more than 48 hours postoperatively. These examples highlight the need for consensus on defining assessment timelines for immediate and delayed FP in future clinical studies.
The incidence of immediate FP varied across studies from 5.7% [21] to 27.7% [22], with significant heterogeneity (I² = 94.4%; p < 0.001). The pooled estimate was 16.1% (6.8–25.3%) (Fig. 3, A). The incidence of delayed FP ranged from 4.5% [12] to 25.0% [9], also demonstrating substantial variability (I² = 85.4%; p < 0.001). The pooled estimate was 8.7% (0.5–12.4%) (Fig. 3, B).
Fig. 3. Results of the meta-analysis of early (A) and delayed (B) postoperative FP incidence following microsurgical resection of vestibular schwannoma.
In the study by R.P. Morton et al., patients with a history of herpes infection were prophylactically prescribed the antiviral agent acyclovir during the postoperative period [9]. Four out of nine studies utilized parenteral dexamethasone administration to prevent swelling of the FN [11, 12, 20, 21]. Alongside glucocorticoid therapy, the study by S. Chang et al. also implemented medications to prevent edema and antibiotic therapy [11]. In the study by V.K.K.S. Karanth et al., intraoperative use of papaverine solution as a vasodilator and nimodipine was employed when decreased motor response amplitudes from FN-innervated muscles were observed; the authors suggested nimodipine promoted axonal growth and remyelination processes [21]. Other publications lacked data on pharmacological interventions.
Facial Nerve Function 12 Months After Surgery
A meta-analysis of FN functional recovery outcomes 12 months post-surgery, conducted using a random-effects model, revealed a more favorable disease course in patients with delayed FP (Fig. 4). The odds of mimetic muscle function recovery were twice as low in patients with early postoperative FP (OR = 4.13 [2.03–5.92]) compared to those with FN dysfunction occurring > 48 hours after surgery (OR = 8.07 [4.70–13.84]).
Рис. 4. Результаты метаанализа оценки функции ЛН через 12 мес после операции у пациентов с ранней (А) и отсроченной (В) послеоперационной НЛН после микрохирургического удаления ВШ.
Discussion
The main treatment methods for VS include microsurgical resection, radiotherapy (stereotactic radiosurgery, gamma knife, cyberknife), and observational strategy (typically for asymptomatic cases) [24, 25]. Total or subtotal tumor resection traditionally employs retrosigmoid, translabyrinthine, or middle fossa approaches [26]. Data regarding surgical approach characteristics as risk factors for FP remain controversial [27]. Likely intraoperative damaging factors leading to FN dysfunction include nerve traction, compression, coagulation, or aspiration injury [28].
The gold standard in VS surgery involves IONM to ensure anatomical identification, protect against potential damaging events, and predict postoperative FN function. However, direct nerve stimulation technique cannot be used for continuous FN monitoring, serving rather as a tool for nerve identification at specific operative stages when accessible to the neurosurgeon. In addition to assessing distal and proximal FN stimulation amplitudes, intraoperative evaluation of maximum M-wave amplitude during direct nerve stimulation with 2 mA current at specific tumor resection stages is feasible. An M-wave amplitude < 1200 μV and latency increase > 8 ms prior to VS resection were identified as potential markers of adhesion and FN involvement in the tumor capsule. Conversely, an M-wave amplitude > 3500 μV enabled complete VS resection [29].
In this meta-analysis, we studied the FP incidence following VS microsurgical resection using IONM. According to our data, the incidence of early postoperative FP is 16.1%, while that of delayed FP is 8.7%. These results highlight the high risks of complications associated with surgical treatment of VS and confirm the necessity of using state-of-the-art monitoring methods to reduce their likelihood.
One of the most important findings of the meta-analysis is that patients with delayed neuropathy demonstrated better recovery of FN function at 12 months compared to those with early postoperative FP. We can assume that the later onset of symptoms is likely associated with less traumatic FN injury or the activation of compensatory recovery mechanisms following surgery.
High heterogeneity was observed across the included studies, potentially reflecting differences in surgical approaches, IONM use, and patient follow-up protocols. For instance, the incidence of early postoperative FP ranged from 5.7% to 27.7%, underscoring the need for stricter standardization in defining and classifying FP in clinical practice.
In current VS surgery, multimodal IONM — incorporating resting electromyography, direct nerve stimulation, and transcranial electrical stimulation with recording of motor evoked potentials from facial muscles — is gaining increasing traction. Further studies should evaluate the incidence of postoperative FP with different combinations of these IONM techniques.
Conclusion
This meta-analysis confirms that even with IONM, the incidence of FP following microsurgical VS resection remains 16.1% for early-onset and 8.7% for delayed-onset cases. The findings underscore the importance of IONM use to minimize intraoperative complication risks. Future research should focus on standardizing the classification of postoperative FP by timing of onset and improving IONM protocols in VS surgery.
About the authors
Ekaterina G. Seliverstova
Sklifosovsky Research Institute of Emergency Medicine
Author for correspondence.
Email: e.seliverstova.md@gmail.com
ORCID iD: 0000-0001-9652-1457
SPIN-code: 2305-7580
Cand. Sci. (Med.), senior researcher, Emergency neurosurgery department
Russian Federation, 3, Bolshaya Sukharevskaya sq., Moscow, 129010Mikhail V. Sinkin
Sklifosovsky Research Institute of Emergency Medicine; Pirogov Russian National Research Medical University
Email: e.seliverstova.md@gmail.com
ORCID iD: 0000-0001-5026-0060
Dr. Sci. (Med.), Head, Clinical neurophysiology laboratory, Emergency neurosurgery department, Acting Head, Medical neurotechnology department, Institute of Neuroscience and Neurotechnologies
Russian Federation, 3, Bolshaya Sukharevskaya sq., Moscow, 129010; 1 st. Ostrovityanova, 117997 MoscowAndrey A. Grin
Sklifosovsky Research Institute of Emergency Medicine; Pirogov Russian National Research Medical University
Email: e.seliverstova.md@gmail.com
ORCID iD: 0000-0003-3515-8329
Dr. Sci. (Med.), Corr. Member of the Russian Academy of Sciences, Head, Emergency neurosurgery department, Professor, Fundamental neurosurgery department
Russian Federation, 3, Bolshaya Sukharevskaya sq., Moscow, 129010; 1 st. Ostrovityanova, 117997 MoscowReferences
- Propp JM, McCarthy BJ, Davis FG, Preston-Martin S. Descriptive epidemiology of vestibular schwannomas. Neuro Oncol. 2006;8(1):1–11. doi: 10.1215/S1522851704001097
- Ahn MS, Jackler RK, Lustig LR. The early history of the neurofibromatoses. Evolution of the concept of neurofibromatosis type 2. Arch Otolaryngol Head Neck Surg. 1996; 122(11):1240–1249. doi: 10.1001/archotol.1996.01890230086016
- Ballance CA. Some points in the surgery of the brain and its membranes. 2nd ed. London; 1907.
- Koerbel A, Gharabaghi A, Safavi-Abbasi S, et al. Evolution of vestibular schwannoma surgery: the long journey to current success. Neurosurg Focus. 2005;18(4):e10. doi: 10.3171/foc.2005.18.4.11
- Krause F, Haubold A, Thorek M. Surgery of the brain and spinal cord, based on personal experiences. New York; 1912.
- Delgado TE, Buchheit WA, Rosenholtz HR, Chrissian S. Intraoperative monitoring of facial muscle evoked responses obtained by intracranial stimulation of the facial nerve: a more accurate technique for facial nerve dissection. Neurosurgery. 1979;4(5):418–421. doi: 10.1227/00006123-197905000-00007
- Machetanz K, Roegele M, Liebsch M, et al. Predictive value of facial motor-evoked potential and electromyography for facial motor function in vestibular schwannoma surgery. Acta Neurochir (Wien). 2024;166(1):23. doi: 10.1007/s00701-024-05927-0
- Arnoldner C, Mick P, Pirouzmand F, et al. Facial nerve prognostication in vestibular schwannoma surgery: the concept of percent maximum and its predictability. Laryngoscope. 2013;123(10):2533–2538. doi: 10.1002/lary.24083
- Morton RP, Ackerman PD, Pisansky MT, et al. Prognostic factors for the incidence and recovery of delayed facial nerve palsy after vestibular schwannoma resection. J Neurosurg. 2011;114(2):375–380. doi: 10.3171/2010.5.JNS091854
- Carlstrom LP, Copeland WR 3rd, Neff BA, et al. Incidence and risk factors of delayed facial palsy after vestibular schwannoma resection. Neurosurgery. 2016;78(2):251–255. doi: 10.1227/NEU.0000000000001015
- Chang S, Makarenko S, Despot I, et al. Differential recovery in early- and late-onset delayed facial palsy following vestibular schwannoma resection. Oper Neurosurg (Hagerstown). 2020;18(1):34–40. doi: 10.1093/ons/opz083
- Jia XH, Gao Z, Lin NE, et al. Delayed facial nerve paralysis after vestibular schwannoma resection. World Neurosurg. 2023;170:e431–e435. doi: 10.1016/j.wneu.2022.11.036
- Kheirkhah M, Brodoehl S, Leistritz L, et al. Abnormal emotional processing and emotional experience in patients with peripheral facial nerve paralysis: an MEG study. Brain Sci. 2020;10(3):147. doi: 10.3390/brainsci10030147
- Coulson SE, O’dwyer NJ, Adams RD, Croxson GR. Expression of emotion and quality of life after facial nerve paralysis. Otol Neurotol. 2004;25(6):1014–1019. doi: 10.1097/00129492-200411000-00026
- Nabhan A, Ahlhelm F, Reith W, et al. Function of the facial nerve after operative treatment of acoustic neurinomas. Influence of intraoperative monitoring. Nervenarzt. 2005;76(2):170–174. doi: 10.1007/s00115-004-1778-4
- Moher D, Liberati A, Tetzlaff J, et al. Preferred reporting items for systematic reviews and meta-analyses: the PRISMA statement. PLoS Med. 2009; 6(7):e1000097. doi: 10.1371/journal.pmed.1000097
- Реброва О.Ю., Федяева В.К. Вопросник для оценки риска систематических ошибок в нерандомизированных сравнительных исследованиях: русскоязычная версия шкалы Ньюкасл–Оттава. Медицинские технологии. Оценка и выбор. 2016;3(25):14–19.
- Rebrova OYu, Fediaeva VK. The Questionnaire to assess the risk of systematic bias in non-randomized comparative studies: the Russian-language version of the Newcastle–Ottawa scale. Medical technologies. Evaluation and selection. 2016;3(25):14–19.
- Arlt F, Kasper J, Winkler D, et al. Facial nerve function after microsurgical resection in vestibular schwannoma under neurophysiological monitoring. Front. Neurol. 2022; 13:850326. doi: 10.3389/fneur.2022.850326
- Gazia F, Callejo À, Pérez-Grau M, et al. Pre- and intra-operative prognostic factors of facial nerve function in cerebellopontine angle surgery. Eur Arch Otorhinolaryngol. 2023;280(3):1055–1062. doi: 10.1007/s00405-022-07556-8
- Grant GA, Rostomily RR, Kim DK, et al. Delayed facial palsy after resection of vestibular schwannoma. J Neurosurg. 2002;97(1):93–96. doi: 10.3171/jns.2002.97.1.0093
- Karanth VKKS, Yerragunta T, Sampath N, et al. Multimodal intraoperative neurophysiological monitoring with special emphasis on facial MEPs for facial nerve preservation in vestibular schwannoma surgeries: Surgical nuances and outcome predictability. Indian J Physiol Pharmacol. 2024;68(2):118–125. doi: 10.25259/ijpp_77_2024
- Ren Y, MacDonald BV, Tawfik KO, et al. Clinical predictors of facial nerve outcomes after surgical resection of vestibular schwannoma. Otolaryngol Head Neck Surg. 2021;164(5):1085–1093. doi: 10.1177/0194599820961389
- Yawn RJ, Dedmon MM, Xie D, et al. Delayed facial nerve paralysis after vestibular schwannoma resection. J Neurol Surg B Skull Base. 2018;80(3):283–286. doi: 10.1055/s-0038-1669941
- Starnoni D, Giammattei L, Cossu G, et al. Surgical management for large vestibular schwannomas: a systematic review, meta-analysis, and consensus statement on behalf of the EANS skull base section. Acta Neurochir (Wien). 2020;162(11):2595–2617. doi: 10.1007/s00701-020-04491-7
- Prasad SC, Patnaik U, Grinblat G, et al. Decision making in the wait-and-scan approach for vestibular schwannomas: is there a price to pay in terms of hearing, facial nerve, and overall оutcomes? Neurosurgery. 2018;83(5):858–870. doi: 10.1093/neuros/nyx568
- Palavani LB, Batista S, Andreão FF, et al. Retrosigmoid versus middle fossa approach for hearing and facial nerve preservation in vestibular schwannoma surgery: a systematic review and comparative meta-analysis. J Clin Neurosci. 2024;124:1–14. doi: 10.1016/j.jocn.2024.04.007
- Акулов М.А., Таняшин С.В., Шиманский В.Н. и др. Эффективность ботулинотерапии в лечении отсроченной нейропатии лицевого нерва после удаления невриномы слухового нерва. Журнал «Вопросы нейрохирургии» им. Н.Н. Бурденко. 2018;82(5):81–87. Akulov MA, Taniashin SV, Shimanskii VN, et al. The efficacy of botulinum therapy in treatment of delayed facial palsy after resection of vestibular schwannoma. Burdenko’s Journal of Neurosurgery. 2018;82(5):81–87. doi: 10.17116/neiro20188205181
- Tos M, Youssef M, Thomsen J, Turgut S. Causes of facial nerve paresis after translabyrinthine surgery for acoustic neuroma. Ann Otol Rhinol Laryngol. 1992;101(10):821–826. doi: 10.1177/000348949210101004
- Henz GD, Gonçalves RF, Nogueira GN, Isolan GR. Latest advances in facial nerve intraoperative monitoring for vestibular schwannoma — up to date 2024. Contemporary J. 2024;4(8):1–19. doi: 10.56083/RCV4N8-126









