Metabolic predictors of ischemic stroke in young adults
- Authors: Ponomareva M.S.1,2, Shchepankevich L.A.1,2, Rerikh K.V.1,2, Zatynko A.V.1, Antonova K.V.3, Tanashyan M.М.3
-
Affiliations:
- State Novosibirsk Regional Clinical Hospital
- Novosibirsk State Medical University
- Research Center of Neurology
- Issue: Vol 19, No 1 (2025)
- Pages: 21-29
- Section: Original articles
- Submitted: 22.01.2025
- Accepted: 03.02.2025
- Published: 03.04.2025
- URL: https://annaly-nevrologii.com/pathID/article/view/1274
- DOI: https://doi.org/10.17816/ACEN.1274
- ID: 1274
Cite item
Abstract
Introduction. Ischemic stroke (IS) has a tendency towards younger age of onset among working-age adults, with an increasing role of obesity in IS development. New prognostic markers affecting stroke severity and early outcomes are being sought.
Aim: to investigate etiology and risk factors of cryptogenic IS in working-age patients (18–50 years) and evaluate the significance of metabolic markers of obesity and hemostasis in predicting immediate disease outcomes.
Materials and methods. We retrospectively analyzed 343 medical records of acute stroke patients aged 18–50 years using clinical, laboratory, and imaging findings and calculated risk levels.
Results. Obesity was observed in more than half (51.3%) of the patients. Early atherosclerotic changes in the vessel wall were detected in 62.26% of the cases. Worse immediate stroke outcomes were associated with all obesity parameters: body mass index (r = 0.48), waist circumference (WC) (r = 0.43), waist-to-hip ratio (WHR) (r = 0.52), levels of glucose (r = 0.47), C-reactive protein (r = 0.34), hematocrit (r = 0.41), high-density lipoproteins (r = –0.32), von Willebrand factor (r = 0.58), fibrinogen (r = 0.66), FVIII (r = 0.50), D-dimer (r = 0.50), and ADP-induced platelet aggregation (r = 0.41). Stroke severity was found to correlate with levels of triglycerides (r = 0.57), low-density lipoproteins (r = 0.35), von Willebrand factor (r = 0.55), fibrinogen (r = 0.46), coagulation factor VIII (r = 0.63), D-dimer (r = 0.39), antithrombin III (r = 0.39), and WHR (r = 0.53). Receiver operating characteristic curves revealed triglyceride-glucose index to be a predictor of worse early outcome (area under the curve, 0.66; threshold, 4.7), including in terms of WC (0.68 and 497.6, respectively) or stroke severity (0.63 and 4.7, respectively).
Conclusion. IS in young adults is accompanied by impaired metabolism, affecting the disease outcome. Indices including glucose, triglycerides, and the obesity status can play a role in predicting the stroke severity in young adults, among others.
Keywords
Full Text
Introduction
Stroke is one of the most critical medical and social issues today, resulting in severe disability and mortality among working-age adults in most high-income countries [1]. There is a current trend towards a decreasing number of cerebrovascular accidents in persons aged 65 to 84 years (–28.5%) and those aged 85 years or older (–22.1%); however, this trend contrasts with an increasing number of strokes among people aged 25 to 44 years (+43.8%) [1]. Statistically, adults aged 18 to 50 years account for 10% to 15% of all strokes worldwide. The working-age population accounts for 10% to 20% of all cases of ischemic stroke (IS) [2].
Rare diseases are usually linked to stroke in young adults; however, differential diagnosis and diagnostic workup do not always result in an identifiable cause. In such cases, thorough assessment of traditional risk factors and an increased alarm about risks they might pose are disregarded in favor of searching for unique, rare causes of stroke.
The traditional risk factors for cerebrovascular diseases, such as hypertension, atherosclerosis, dyslipidemia, and type 2 diabetes, are characteristic of patients older than 65 years. Nevertheless, recent studies demonstrated that these risk factors and their combinations tended to contribute to younger age at onset and premature age-related diseases in young adults [3]. Findings of C.A. Stack et al. show that in young patients, the most prevalent risk factors are hyperlipidemia (60%), smoking (44%), and hypertension (39%) [2].
Type 2 diabetes, hypertension, and dyslipidemia were found to be one of the most common comorbidities (82.7%) among IS patients younger than 50 years, with dyslipidemia being a potentially progressive risk factor [4, 5].
Risk factors for cardiovascular diseases become more common with each decade of life and are significantly associated with stroke risk by the third decade [6]. Traditional modifiable vascular risk factors can become even more significant due to young people’s lifestyle [7].
The increasing percentage of obesity and overweight as confounding risk factors for cardiovascular diseases, mostly among young adults, is concerning. Over the past decades, obesity has risen to epidemic levels worldwide [3, 8, 9].
Total and visceral obesity were shown to be independent risk factors for cerebrovascular diseases after adjustment for hypertension, dyslipidemia, and hyperglycemia [10]; however, there are few studies highlighting relationships between obesity and IS in young persons [10, 11].
Both body mass index (BMI) and anthropometric measures, indicating central obesity, were found to be risk factors for stroke [12]. Waist circumference (WC), hip circumference (HC), and waist-to-hip ratio (WHR) are more strongly associated with stroke [10]. WC as a marker was found to have a significant association with a 28%–78% increase in the IS risk [13, 14]. The INTERSTROKE study revealed that elevated WHR increases the risk of all stroke types, including IS and hemorrhagic stroke, in young adults [15, 16]. The validity of WHR calculation has been shown in a group of patients with chronic cerebrovascular diseases compared with a control group with no history of these diseases [17].
The triglyceride-glucose index (TyG index) and combined TyG-related parameters (TyG-BMI and TyG-WC) have been suggested as simple and clinically useful surrogate markers for insulin resistance and metabolic health [18, 19, 20].
Combined with obesity indices, the TyG index becomes more informative for assessment of cerebrovascular accident risks and outcomes [21, 22]. The obesity impact on atherosclerosis is mediated by chronic inflammation, hyperlipidemia, and endothelial dysfunction [23]. In obese individuals, procoagulant and hypofibrinolytic factors were observed to predominate in the plasma [24], thus contributing to IS development. Increased prothrombotic state can remain latent for quite a long time and compensated due to the athrombogenic properties of the vessel wall [25].
Along with endothelial dysfunction, platelet activation and hypercoagulability are key processes in the development of a thrombotic cerebrovascular event [26].
Therefore, we hypothesized that obesity aggravates the development, severity, and immediate outcomes of IS, especially in cryptogenic cases.
The aim of the study was to investigate the etiology and risk factors of cryptogenic IS in working-age patients (18–50 years) and evaluate the prognostic significance of markers reflecting the status of obesity, hemostasis and insulin resistance indices on immediate disease outcomes.
Materials and Methods
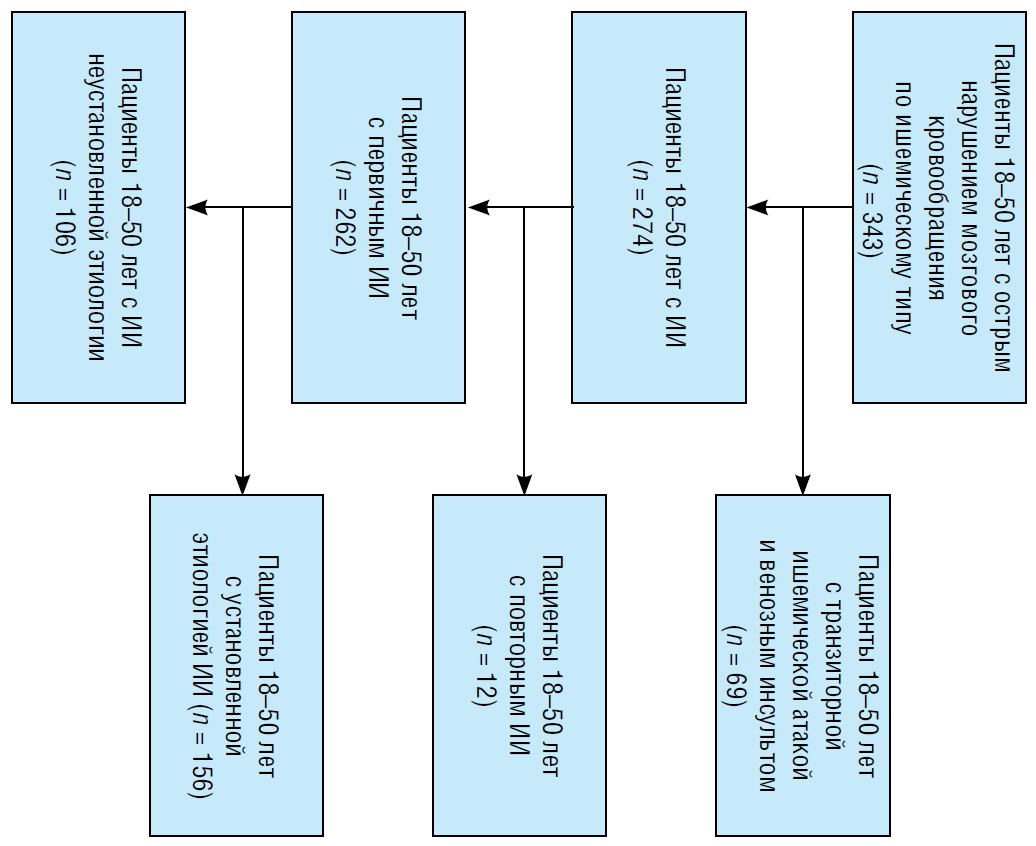
We retrospectively analyzed 343 medical records of patients aged 18–50 (42.18 ± 5.20) years (of them, 180 men and 171 women) with acute IS (IS/transient ischemic attack) treated at the Regional Vascular Center No. 2 in 2021–2024 (Fig. 1).
Fig. 1. Study design.
Inclusion criteria for medical record analysis:
- age at admission (18–50 years);
- established and confirmed IS by clinical data, computed tomography (CT) and/or CT angiography and/or magnetic resonance imaging of the brain (I63.0–I64.9).
Exclusion criteria:
- established and confirmed intracranial hemorrhages of any etiology;
- venous thrombosis;
- age at onset over 50 years;
- established etiology of IS according to TOAST or SSS-TOAST classification.
We analyzed the following risk factors:
- smoking;
- regular alcohol consumption;
- elevated BMI;
- comorbidities: type 2 diabetes, hypertension.
We studied biochemical analytes:
- fasting blood glucose;
- C-reactive protein;
- uric acid;
- total cholesterol;
- low-density lipoproteins;
- high-density lipoproteins;
- triglycerides;
- hemostasis (fibrinogen, ADP-induced platelet aggregation);
- D-dimer;
- Factor VIII;
- von Willebrand factor;
- Antithrombin III activity.
Doppler ultrasonography of brachiocephalic arteries was used to assess signs of atherosclerosis of the common and internal carotid arteries or hemodynamically significant stenosis.
Early outcomes were determined using the modified Rankin Scale (mRS) at discharge or 14 days after the disease onset. The National Institutes of Health Stroke Scale (NIHSS) was used to assess and group patients with neurologic deficits on admission: mild stroke (NIHSS ≤ 4) and moderate-to-severe stroke (NIHSS > 4).
Body weight, height, WC, and HC were measured without shoes and with light clothing.
BMI was calculated as follows:
BMI = weight (kg)/height (m)2.
Data were interpreted according to World Health Organization recommendations:
- BMI ≥ 25, overweight;
- BMI ≥ 30, obesity [16].
Metabolic indices were calculated using the formulas:
TyG index = Ln [(TG (mmol/L) × 88.495575 × FPG (mmol/L) × 18.018018)]/2;
where FPG is fasting plasma glucose;
TyG index-BMI = TyG index × BMI;
TyG index-WC = TyG index × WC.
Statistical analysis was conducted using Prism v. 10 (GraphPad). Data are presented as mean (М) and standard deviation (SD). The Pearson test was used for normally distributed data, and the Spearman rank correlation coefficient was calculated for not normally distributed data. To assess the diagnostic accuracy of the model, a receiver operating characteristic curve (ROC curve) was drawn; the area under the curve (AUC) and standard deviation (SD) were calculated. The likelihood ratio (LR) test values for each point on the curve were also given. The optimal cutoff point (threshold) was selected based on the LR parameter. Additionally, the Youden index (J statistic) was used to validate a threshold.
Results
As per the aim of the study, we analyzed data from the patients with cryptogenic IS in terms of traditional vascular risk factors and obesity status (Table 1, Fig. 2).
Table 1. General characteristics of the patients with cryptogenic IS
Parameter | Value |
Mean age, years (М ± SD) | 42.18 ± 5.20 |
Sex: | |
male, n (%) | 69 (65.09%) |
female, n (%) | 37 (34.9%) |
Weight, kg (М ± SD) (min–max) | 89.8 ± 21.6 (53–180) |
BMI, kg/m2 (М ± SD) (min–max) | 30.19 ± 6.3 (19.00–53.17) |
Normal weight, n (%) | 27 (25.6%) |
Overweight, n (%) | 25 (23.1%) |
Class 1–3 obesity, n (%) | 54 (51.3%) |
WC, cm (M ± SD) | 103.8 ± 19.51 |
WHR (M ± SD) | 1.011 ± 0.11 |
TyG index, M ± SD | 4.76 ± 0.26 |
TyG index-BMI, M ± SD | 140.8 ± 34.72 |
TyG index-WC, M ± SD | 492.7 ± 108.2 |
NIHSS score ≤4 (minor stroke), n (%) | 41 (38.7%) |
NIHSS score > 4 (moderate or severe stroke), n (%) | 65 (61.3%) |
Presence of arterial hypertension, n (%) | 44 (41.5%) |
Type 2 diabetes mellitus, n (%) | 6 (5.7%) |
Tobacco smoking, n (%) | 17 (16.0%) |
Alcohol abuse, n (%) | 9 (8.5%) |
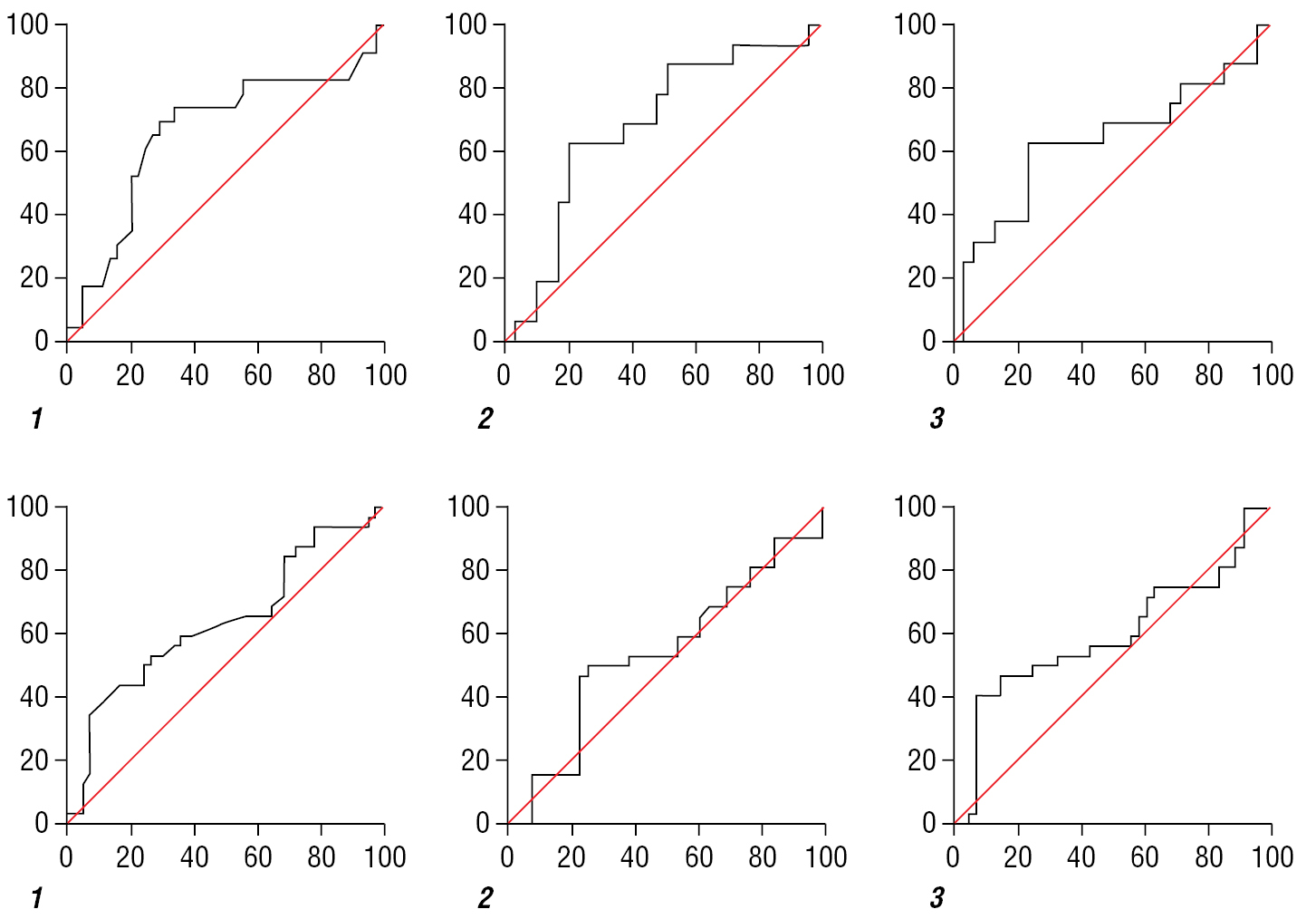
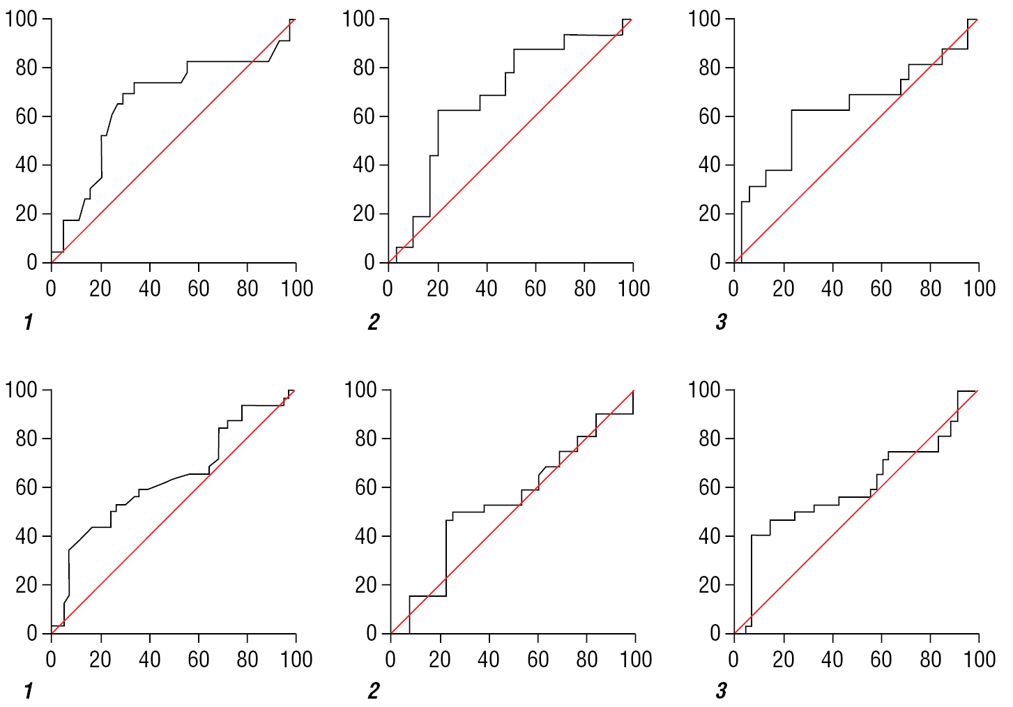
Fig. 2. Correlation between clinical and laboratory parameters.
*p < 0.05.
More than half of the patients had obesity (74.4%) (including obesity in 51.3%); 41.5% of the participants had hypertension. Behavioral factors, such as smoking (16.0%) and alcohol consumption (8.5%), were less common. The proportion of patients with type 2 diabetes was 5.7%.
We correlated the obesity status, blood analytes, and acute stroke severity in the acute period (NIHSS, scores) and early outcome (mRS) by the end of acute IS in the studied group of the patients (Fig. 2). The severity of early functional impairment (mRS) significantly and directly correlated with the levels of glucose (r = 0.47), C-reactive protein (r = 0.34), hematocrit (r = 0.41), whereas an inverse relationship was found with the level of high-density lipoproteins (r = –0.32). Correlations between the IS severity (assessed using NIHSS) and the level of triglycerides (r = 0.57), low-density lipoproteins (r = 0.35) were revealed (Fig. 2).
Atherosclerotic changes in the vessel wall were detected in the majority of patients (62.26%); atherosclerotic plaques in the internal carotid artery ipsilateral to the lesion focus were found in 17.9% of the cases (Table 2).
Table 2. Characteristics of laboratory and imaging findings
Analyte | Value |
Glucose, mmol/L (M ± SD) | 6.4 ± 2.0 |
C-reactive protein, mg/L (M ± SD) | 7.4 ± 2.3 |
Uric acid, mmol/L (M ± SD) | 338.2 ± 110.8 |
Cholesterol, mmol/L (M ± SD) | 6.2 ± 1.4 |
Low-density lipoprotein cholesterol, mmol/L (M ± SD) | 3.70 ± 1.14 |
High-density lipoprotein cholesterol, mmol/L (M ± SD) | 1.18 ± 0.50 |
Triglycerides, mmol/L (M ± SD) | 1.5 ± 0.6 |
Hematocrit, % (M ± SD) | 41.0 ± 4.9 |
Fibrinogen, g/L (M ± SD) | 416.5 ± 117.7 |
ADP-induced platelet aggregation, % (M ± SD) | 82.7 ± 3.7 |
D-dimer, ng/mL (M ± SD) | 262.8 ± 112.5 |
Factor VIII, % (M ± SD) | 114.8 ± 51.6 |
von Willebrand factor, % (M ± SD) | 159.40 ± 20.54 |
Antithrombin III activity, % (M ± SD) | 99.3 ± 8.3 |
Atherosclerosis, primary changes in the vessel wall, % (n) | 62.3% (n = 66) |
Atherosclerosis, <50% brachiocephalic artery stenosis, % (n) | 17.9% (n = 19) |
During assessment of anthropometric measures and hemorheology and hemostasis parameters in the study sample, we found significant correlations between BMI and such parameters as the level of von Willebrand factor (r = 0.51) and fibrinogen (r = 0.71). WC has a significant correlation with fibrinogen levels (r = 0.65). WHR was directly correlated with the levels of factor VIII (r = 0.35), von Willebrand factor (r = 0.36), fibrinogen (r = 0.58), and antithrombin III (r = 0.44) (Fig. 3).
Fig. 3. Correlation between clinical and hemorheologic parameters.
*p < 0.05.
We found significant correlations between the stroke severity (NIHSS score) and the levels of factor VIII, von Willebrand factor, fibrinogen, antithrombin III, and D-dimer (Fig. 3). The mRS results were in direct and statistically significant correlation with the levels of factor VIII, von Willebrand factor, fibrinogen, D-dimer, and ADP-induced platelet aggregation.
The results of early functional impairment were in direct correlation with BMI, WC, and WHR (Fig. 3). Significant correlations of the IS severity were found only with WHR.
The correlation between the stroke severity and early IS outcomes with metabolic indices was assessed. The TyG index as well as its combinations with anthropometric measures (TyG index-BMI, TyG index-WC) were found to be in a strong direct correlation with early outcomes (Fig. 4). Thus, they can be considered as a possible prognostic marker. In the case of the indices’ impact on the IS severity, a direct relationship with TyG index was shown; however, TyG index-BMI and TyG index-WC did not have a strong correlation with the IS severity (Fig. 4).
Fig. 4. Correlation of obesity status parameters and metabolic indices with early outcomes and cryptogenic IS.
*p < 0.05.
The ROC analysis was performed to evaluate the prognostic role of the metabolic indices in relation to the stroke severity and outcomes (Table 4, Fig. 5).
Table 4. Characteristics of the ROC curve parameters
Model | mRS | NIHSS score | ||||
TyG index | TyG index-WC | TyG index-BMI | TyG index | TyG index-WC | TyG index-BMI | |
AUC | 0.66 | 0.68 | 0.62 | 0.63 | 0.53 | 0.59 |
SD | 0.075 | 0.06 | 0.095 | 0.065 | 0.095 | 0.09 |
95% CI | 0.5165–0.8110 | 0.5641–0.7959 | 0.4383–0.8117 | 0.5016–0.7568 | 0.3483–0.7214 | 0.4102–0.7628 |
Threshold | 4.7 | 497.6 | 144.8 | 4.7 | 489.4 | 138.6 |
Sensitivity, % | 73.9 | 68.75 | 62.5 | 50 | 50.0 | 53.1 |
Specificity, % | 64.4 | 62.07 | 75.9 | 73.08 | 76.9 | 69.2 |
LR | 2.079 | 2.589 | 2.589 | 1.857 | 2.167 | 1.727 |
Youden index | 0.38 | 0.31 | 0.38 | 0.23 | 0.27 | 0.22 |
Р | 0.03 | 0.05 | 0.17 | 0.04 | 0.7 | 0.36 |
Fig. 5. ROC curves for TyG index, TyG index-WC, and TyG index-BMI as predictors of early outcomes (assessed using mRS) and IS severity (assessed using NIHSS).
А — early outcomes assessed using mRS; В — severity assessed using NIHSS.
x axes, 1 – specificity; y axes, sensitivity.
1 — TyG index; 2 — TyG index-WC; 3 — TyG index-BMI.
According to the ROC curve analysis, AUCs over 0.5 were observed in relation to early neurological outcomes of IS (assessed using mRS) for all 3 indices, but only TyG index and TyG index-WC were statistically significant. TyG index >4.7 and TyG index-WC >497.6 can be considered predictors of more unfavorable outcomes in IS. TyG index-BMI with an AUC <0.8 and nonsignificant P value indicates its failure as a predictor of IS early outcomes. A predictor of more severe IS (assessed using NIHSS) is a TyG index >4.7.
Discussion
Stroke in working-age young adults is a serious medical and social issue.
In the context of age, obesity is associated with an increased risk of stroke in all periods of life, but to the greatest extent in young patients [26].
The concept of cerebral metabolic health, concerning the unfavorable mutual influence of cerebrovascular disease and symptoms of metabolic syndrome, lays the foundation for consideration and differentiation of factors of cerebrovascular disease progression to prevent and target them [26–32].
Central obesity combined with metabolic disorders are considered markers of metabolic disorders: elevated WC in addition to hypertension, dyslipidemia, and hyperglycemia [17].
Our study in working-age individuals with an unspecified pathogenetic subtype of IS evidenced that more severe early disease outcomes had a strong association with BMI, WC, WHR, TyG index and its combinations with anthropometric measures. Furthermore, high levels of glucose, C-reactive protein, high-density lipoprotein, and hematocrit were statistically significant factors influencing early outcomes.
Systemic inflammation, including the one associated with obesity, triggers hemostasis system disorders: endothelial dysfunction and platelet hyperaggregation. Changes in the levels of markers of platelet activity and endothelial function (ADP-induced platelet aggregation, von Willebrand factor, factor VIII, fibrinogen, D-dimer) lead to increased blood thrombogenicity, aggravating cerebral ischemia, and consequently resulting in a more severe stroke and disability of the young patient [33].
In our study, the study sample was not homogeneous in terms of body weight and BMI. However, overweight and obesity in >70% of the IS patients, the obesity status values and their correlation with the hemostasis assessment results allow us to draw a conclusion about the significance of metabolic disorders associated with the adipose tissue accumulation in working-age individuals, which may elucidate the prothrombotic state of the blood. In turn, endothelial dysfunction predetermines the occurrence of structural changes in cerebral vessels and mediates the processes of atherogenesis: initial changes in the vessel wall and the development of atherosclerotic plaques.
Conclusion
Studies of various aspects of cerebral metabolic health show its significant contribution to changing the landscape of cerebrovascular disease and its age of onset. Metabolic indices can play a role in predicting the stroke severity in young adults, among others.
About the authors
Maria S. Ponomareva
State Novosibirsk Regional Clinical Hospital; Novosibirsk State Medical University
Author for correspondence.
Email: marisponn@yandex.ru
ORCID iD: 0000-0001-5141-3292
neurologist, Neurology and neurosurgery center, State Novosibirsk Regional Clinical Hospital; laboratory assistant, Neurology department, Novosibirsk State Medical University
Russian Federation, Novosibirsk; 52 Krasny ave, Novosibirsk, 630091Larisa A. Shchepankevich
State Novosibirsk Regional Clinical Hospital; Novosibirsk State Medical University
Email: marisponn@yandex.ru
ORCID iD: 0000-0001-6951-2205
Dr. Sci. (Med.), Head, Neurology department, Novosibirsk State Medical University; Head, Neurology and neurosurgery center, State Novosibirsk Regional Clinical Hospital
Russian Federation, Novosibirsk; 52 Krasny ave, Novosibirsk, 630091Ksenya V. Rerikh
State Novosibirsk Regional Clinical Hospital; Novosibirsk State Medical University
Email: marisponn@yandex.ru
ORCID iD: 0000-0002-4141-9161
postgraduate student, Neurology department, Novosibirsk State Medical University; neurologist, Regional Vascular Center No. 2, State Novosibirsk Regional Clinical Hospital
Russian Federation, Novosibirsk; 52 Krasny ave, Novosibirsk, 630091Andrey V. Zatynko
State Novosibirsk Regional Clinical Hospital
Email: marisponn@yandex.ru
ORCID iD: 0009-0000-3737-3431
Head, Stroke unit, Regional Vascular Center No. 2
Russian Federation, NovosibirskKsenia V. Antonova
Research Center of Neurology
Email: marisponn@yandex.ru
ORCID iD: 0000-0003-2373-2231
Dr. Sci. (Med.), leading researcher, 1st Neurological department, Institute of Clinical and Preventive Neurology
Russian Federation, MoscowMarine М. Tanashyan
Research Center of Neurology
Email: marisponn@yandex.ru
ORCID iD: 0000-0002-5883-8119
Dr. Sci. (Med.), Professor, Corr. Member of the Russian Academy of Sciences, Deputy Director for research, Head, 1st Neurological department, Institute of Clinical and Preventive Neurology
Russian Federation, MoscowReferences
- Инсульт: инновационные технологии в лечении и профилактике: руководство для врачей / под ред. М.А. Пирадова, М.М. Танашян, М.Ю. Максимовой. М.; 2024. Piradov MA, Tanashyan MM, Maximova MYu (eds.) Stroke: innovative technologies in treatment and prevention: a guide for doctors. Moscow; 2024.
- Stack CA, Cole JW. The clinical approach to stroke in young adults. In: Dehkharghani S (ed.) Stroke. Brisbane; 2021;3. doi: 10.36255/exonpublications.stroke.adultstroke.2021
- Jacob MA, Ekker MS, Allach Y, et al. Global differences in risk factors, etiology, and outcome of ischemic stroke in young adults — a worldwide meta-analysis: the GOAL initiative. Neurology. 2022;98(6):e573-e588. doi: 10.1212/WNL.0000000000013195
- Alkutbi A, Binmahfooz S, Saidlani R, et al. Clinical characteristics of ischemic stroke patients < 50 years old at a university hospital: a retrospective descriptive study. Cureus. 2023;15(8):e43752. doi: 10.7759/cureus.43752
- Гусев В.В., Ковтун О.П., Львова О.А. и др. Анамнестические, клинические и лабораторные особенности течения острого периода ишемического инсульта у пациентов молодого возраст. Неврология, нейропсихиатрия, психосоматика. 2022;14(3):12–18. Gusev VV, Kovtun OP, Lvova OA, et al. Anamnestic, clinical and laboratory features of the acute period of ischemic stroke in young patients. Neurology, Neuropsychiatry, Psychosomatics. 2022;14(3):12–18. doi: 10.14412/2074-2711-2022-3-12-18
- Poisson SN, Hills NK, Sidney S, Fullerton HJ. Prevalence of atherosclerotic risk factors among children and young adults with arterial ischemic stroke. JAMA Neurol. 2022;79(9):901–910. doi: 10.1001/jamaneurol.2022.2077
- Smyth A, Hankey GJ, Damasceno A, et al. Carbonated beverage, fruit drink, and water consumption and risk of acute stroke: the INTERSTROKE case-control study. J Stroke. 2024;26(3):391–402. doi: 10.5853/jos.2024.01543
- Welsh A, Hammad M, Piña IL, Kulinski J. Obesity and cardiovascular health. Eur J Prev Cardiol. 2024;31(8):1026–1035. doi: 10.1093/eurjpc/zwae025
- Frühbeck G, Catalán V, Rodríguez A, Gómez-Ambrosi J. Adiponectin-leptin ratio: a promising index to estimate adipose tissue dysfunction. Relation with obesity-associated cardiometabolic risk. Adipocyte. 2018;7(1):57–62. doi: 10.1080/21623945.2017.1402151
- Koliaki C, Liatis S, Kokkinos A. Obesity and cardiovascular disease: revisiting an old relationship. Metabolism. 2019;92:98–107. doi: 10.1016/j.metabol.2018.10.011
- Jaakonmäki N, Zedde M, Sarkanen T, et al. Obesity and the risk of cryptogenic ischemic stroke in young adults. J Stroke Cerebrovasc Dis. 2022;31(5):106380. doi: 10.1016/j.jstrokecerebrovasdis.2022.106380
- Pillay P, Lewington S, Taylor H, et al. Adiposity, body fat distribution, and risk of major stroke types among adults in the United Kingdom. JAMA Netw Open. 2022;5(12):e2246613. doi: 10.1001/jamanetworkopen.2022.46613
- Kim DH, Nam GE, Han K, et al. Variabilities in weight and waist circumference and risk of myocardial infarction, stroke, and mortality: a nationwide cohort study. Endocrinol Metab (Seoul). 2020;35(4):933–942. doi: 10.3803/EnM.2020.871
- Liu L, Xue X, Zhang H, et al. Family history, waist circumference and risk of ischemic stroke: a prospective cohort study among Chinese adults. Nutr Metab Cardiovasc Dis. 2023;33(4):758–769. doi: 10.1016/j.numecd.2023.01.009
- O’Donnell MJ, Chin SL, Rangarajan S, et al. Global and regional effects of potentially modifiable risk factors associated with acute stroke in 32 countries (INTERSTROKE): a case-control study. Lancet. 2016;388(10046):761–775. doi: 10.1016/S0140-6736(16)30506-2
- Gómez-Apo E, Mondragón-Maya A, Ferrari-Díaz M, Silva-Pereyra J. Structural brain changes associated with overweight and obesity. J Obes. 2021;2021:6613385. doi: 10.1155/2021/6613385
- Танашян М.М., Антонова К.В., Лагода О.В. и др. Ожирение и протромбогенное состояние крови у пациентов с цереброваскулярными заболеваниями. Тромбоз, гемостаз и реология. 2023;(3):53–62. Tanashyan MM, Antonova KV, Lagoda OV, et al. Obesity and prothrombotic state in patients with cerebrovascular diseases. Tromboz, gemostaz i reologiya. 2023;(3):53–62. doi: 10.25555/THR.2023.3.1069
- Gui J, Li Y, Liu H, et al. Obesity- and lipid-related indices as a predictor of obesity metabolic syndrome in a national cohort study. Front Public Health. 2023;11:1073824. doi: 10.3389/fpubh.2023.1073824
- Bazyar H, Javid AZ, Masoudi MR, et al. Assessing the predictive value of insulin resistance indices for metabolic syndrome risk in type 2 diabetes mellitus patients. Sci Rep. 2024;14(1):8917. doi: 10.1038/s41598-024-59659-3
- Yang Y, Wang Y, Pei XY. Triglyceride glucose body mass index as 3-year prognostic indicator for major adverse cardiovascular and cerebrovascular events in patients with acute myocardial infarction after PCI: a prospective cohort study. Clin Interv Aging. 2024;19:1341–1350. doi: 10.2147/CIA.S473481
- Dang K, Wang X, Hu J, et al. The association between triglyceride-glucose index and its combination with obesity indicators and cardiovascular disease: NHANES 2003–2018. Cardiovasc Diabetol. 2024;23(1):8. doi: 10.1186/s12933-023-02115-9
- Huang Q, Yin L, Liu Z, et al. Association of novel lipid indicators with the risk of stroke among participants in Central China: a population-based prospective study. Front Endocrinol (Lausanne). 2023;14:1266552. doi: 10.3389/fendo.2023.1266552
- Henning RJ. Obesity and obesity-induced inflammatory disease contribute to atherosclerosis: a review of the pathophysiology and treatment of obesity. Am J Cardiovasc Dis. 2021;11(4):504–529.
- Iglesias M, Freuer D, Peters A, et al. Body mass index and waist circumference as determinants of hemostatic factors in participants of a population-based study. Medicina (Kaunas). 2023;59(2):228. doi: 10.3390/medicina59020228
- Танашян М.М., Суслина А., Ионова В.Г. и др. Состояние функции эндотелия у больных с ишемическим инсультом при различной степени атеросклеротического поражения сонных артерий. Неврологический вестник. 2007;39(1):12–16. Tanashyan MM, Suslina ZA, Ionova VG, et al. Endothelium function state in patients with ischemic insult at different forms of carotid arteries atherosclerotic lesion. Neurology bulletin. 2007;39(1):12–16.
- Антонова К.В., Танашян М.М., Раскуражев А.А. и др. Ожирение и нервная система. Ожирение и метаболизм. 2024;21(1):68–78. Antonova KV, Tanashyan MM, Raskurazhev AA, et al. Obesity and the nervous system. Obesity and metabolism. 2024;21(1):68–78. doi: 10.14341/omet13019
- Руяткина Л.А., Руяткин Д.С., Исхакова И.С. Возможности и варианты суррогатной оценки инсулинорезистентности. Ожирение и метаболизм. 2019;16(1):27–33. Ruyatkina LA, Ruyatkin DS, Iskhakova IS. Opportunities and options for surrogate assessment of insulin resistance. Obesity and metabolism. 2019;16(1):27–33. doi: 10.14341/omet10082
- Танашян М.М., Антонова К.В., Раскуражев А.А. и др. Цереброваскулярные заболевания и глюколипотоксичность. Анналы клинической и экспериментальной неврологии. 2020;14(1):17–24. Tanashyan MM, Antonova KV, Raskurazhev AA, et al. Cerebrovascular disorders and glucolipotoxicity. Annals of clinical and experimental neurology. 2020;14(1):17–24. doi: 10.25692/ACEN.2020.1.2
- Peng N, Kuang M, Peng Y, et al. Associations between TyG-BMI and normal-high blood pressure values and hypertension: cross-sectional evidence from a non-diabetic population. Front Cardiovasc Med. 2023;10:1129112. doi: 10.3389/fcvm.2023.1129112
- Yu XR, Du JL, Jiang M, et al. Correlation of TyG-BMI and TyG-WC with severity and short-term outcome in new-onset acute ischemic stroke. Front Endocrinol (Lausanne). 2024;15:1327903. doi: 10.3389/fendo.2024.1327903
- Ke P, Wu X, Xu M, et al. Comparison of obesity indices and triglyceride glucose-related parameters to predict type 2 diabetes mellitus among normal-weight elderly in China. Eat Weight Disord. 2022;27(3):1181–1191. doi: 10.1007/s40519-021-01238-w
- Танашян М.М., Антонова К.В. Цереброметаболическое здоровье. В кн.: Аметов А.С. и др. Управление метаболическим здоровьем. М.; 2025. Tanashyan MM, Antonova KV. Сerebrometabolic health. In: Ametov AS, et al. Metabolic health management. Moscow; 2025.
- Barakzie A, Jansen AJG, Ten Cate H, de Maat MPM. Coagulation biomarkers for ischemic stroke. Res Pract Thromb Haemost. 2023;7(4):100160. doi: 10.1016/j.rpth.2023.100160










