Early markers of thrombotic hazard in cerebrovascular diseases
- Authors: Tanashyan M.M.1, Roitman E.V.1,2, Raskurazhev A.A.1, Domashenko M.A.3, Shabalina A.A.1, Mazur A.S.1
- 
							Affiliations: 
							- Russian Center of Neurology and Neurosciences
- Pirogov Russian National Research Medical University
- Lomonosov Moscow State University
 
- Issue: Vol 19, No 3 (2025)
- Pages: 37-48
- Section: Original articles
- Submitted: 03.09.2025
- Accepted: 10.09.2025
- Published: 10.10.2025
- URL: https://annaly-nevrologii.com/pathID/article/view/1419
- DOI: https://doi.org/10.17816/ACEN.1419
- EDN: https://elibrary.ru/NKBDZM
- ID: 1419
Cite item
Abstract
Introduction. Cerebrovascular disease (CVD) is a heterogeneous group of difficult-to-diagnose conditions in which hemorheological and hemostatic disorders significantly impact the risk of ischemic stroke (IS), as well as the prognosis and response to reperfusion therapy and preventive treatment. Laboratory thrombotic hazard markers, such as the thrombin-antithrombin III (TAT) complex, the plasmin-α2-antiplasmin (PAP) complex, thrombomodulin (TM), and the tissue plasminogen activator (tPA)/plasminogen activator inhibitor-1 (PAI-1) activity ratio, have not been adequately evaluated as predictors of different IS subtypes. Their potential role in acute IS has also not been determined.
Aim. The study aimed to evaluate the diagnostic and predictive value of primary thrombotic hazard markers in patients with CVD.
Materials and methods. The retrospective study included 91 patients with acute IS (45% of men; median age: 62 years). At admission, primary clinical parameters were assessed, including a National Institutes of Health Stroke Scale (NIHSS) score. Laboratory parameters and thrombotic hazard markers were also measured using an enzyme-linked immunosorbent assay. Three IS subtypes included large artery atherosclerosis (LAA)-related IS (n = 32), lacunar IS (n = 27), and hemorheological (small artery occlusion-related) IS (n = 32). The clinical outcomes were evaluated at day 10 using the NIHSS scale. A comparison group included patients with chronic CVD (n = 29; 34% men; median age: 55 years).
Results. The plasma levels of almost all study biomarkers differed significantly between patients with IS and chronic CVD, as well as between patients with different IS subtypes. Four of six markers (PAI-1, PAP, TAT, t-PA/PAI-1) were significantly associated with IS development, with TAT showing the strongest association (odds ratio: 4.78; 95% confidence interval: 2.70, 9.68). Linear regression models were used to evaluate the predictive value of thrombotic hazard biomarkers for IS outcomes, and TAT showed the most significant association in this case (p < 0.001). An analysis of the differential value of study biomarkers for different IS subtypes showed that PAI-1 was the most sensitive (0.969) marker for LAA-related IS, while t-PA/PAI-1 (0.99) and TAT (0.889) demonstrated high predictive value for lacunar IS.
Conclusion. Thrombotic hazard markers are a promising laboratory tool for evaluating IS risk and predicting functional outcomes and response to reperfusion therapy in patients with IS.
Full Text
Introduction
Cerebrovascular disease (CVD) is a major medical and socioeconomic challenge Epidemiological data indicate rising rates of morbidity, mortality, and disability resulting from acute and chronic cerebrovascular accidents, which also significantly contribute to the increasing prevalence of cognitive dysfunction [1].
After many years of research at the Russian Center of Neurology and Neurosciences (formerly the Research Center of Neurology), the concept of dysregulated hemorheology and hemostasis emerged. This phenomenon has been thoroughly investigated, clinically tested, and proven as one of the primary drivers of cerebrovascular disease (CVD), regardless of its subtype [2]. In addition, laboratory, neuroimaging, and neurological features have been identified for a specific type of ischemic stroke (IS) which is associated with hemorheological occlusion of small arteries. In this subtype, dysregulated hemorheology and hemostasis play a crucial role. The clinical presentation of ischemic cerebrovascular accidents often fails to distinguish between different CVD subtypes (for example, in cases of differential diagnosis of extracranial and intracranial atherosclerotic lesions [3, 4], a combination of brachiocephalic artery atherosclerosis and cardiac disorders with a high risk of cardio-cerebral embolism). This differentiation is crucial for the adequate secondary pathogenetic prevention of IS. This fact highlights the importance of a broader range of neuroimaging, ultrasound, and laboratory parameters for selecting management strategies. However, despite advancements in neurovascular care, including reperfusion techniques such as thrombolytic therapy and mechanical thrombectomy, treatment options for patients with acute IS are often limited and ineffective. One potential reason is the tendency to underestimate and inadequately treat thrombotic hazard factors. These factors include the following potential biomarkers that can be used to better assess the risk of IS and improve the response to antithrombotic and/or reperfusion therapies, as well as provide differential diagnoses of CVD [5]:
– thrombin–antithrombin III complex (TAT), responsible for clotting processes;
– plasmin-α2-antiplasmin complex (PAP), which is used to evaluate fibrinolysis;
– thrombomodulin (TM), which is used to assess the severity of endothelial dysfunction;
– an activity ratio of tissue plasminogen activator (tPA) and its antagonist, plasminogen activator inhibitor type 1 (PAI-1), which regulates and controls the level of fibrinolytic activation depending on the state of the endothelium.
TAT has been investigated since the 1980s and has been validated as a marker of thrombin generation [6]. A systematic review and meta-analysis have confirmed its role in diagnosing IS [7]. PAP was first described in 1960 [8] as a marker of fibrinolytic activation [9]. Although the primary evidence of its predictive value was obtained for venous thromboembolic conditions [10], higher α2-antiplasmin levels have been reported as a risk factor for IS [11] and unsuccessful reperfusion (in patients receiving thrombolytic therapy) [12].
TM and soluble TM (sTM) are transmembrane glycoproteins that bind to thrombin and play a dual role in IS: they serve as sensitive markers of acute endothelial injury and modulate restorative and anti-inflammatory processes. For example, an increase in TM levels within the first 24 to 48 hours after IS correlates with IS severity and mortality rates and is associated with risk factors for cardiovascular diseases, such as male sex and dyslipidemia [13]. This highlights the importance of monitoring thrombomodulin levels early after IS to predict clinical outcomes.
PAI-1 is a primary endogenous inhibitor of t-PA. By binding t-PA in a 1 : 1 ratio and forming an inactive t-PA/PAI-1 complex, it significantly reduces plasmin formation and thrombus dissolution [14]. Proinflammatory cytokines, such as interleukin-1 and tumor necrosis factor-alpha, as well as stress factors, such as hypoxia and oxidative stress, increase the expression of PAI-1, leading to endothelial dysfunction and the maintenance of thrombogenesis. High PAI-1 levels prior to thrombolytic therapy is associated with a lower rate of successful recanalization and a higher risk of adverse outcomes within three months [15].
Note that these parameters demonstrate abnormal values long before fibrin formation and, in some cases, thrombosis occur. Therefore, they can potentially serve as early IS biomarkers.
Despite the large number of studies on the diagnostic and predictive value of these markers in various thrombotic conditions (e.g., thromboembolic events and myocardial infarction), the results are not reproducible. This may be due to the fact that changes in the entire pool of biomarkers should be evaluated simultaneously. It should also be noted that studies on ischemic CVD are currently extremely limited.
The study aimed to evaluate the diagnostic and predictive value of primary thrombotic hazard markers in patients with CVD.
Materials and methods
The retrospective study included patients who had received inpatient treatment at the Russian Center of Neurology and Neurosciences. A total of 342 patients with acute IS were enrolled based on medical records. Of these patients, 91 had hyperacute IS with available marker testing results (TM, t-PA, PAI-1, TAT, and PAP) on the day of admission, as well as data on changes in these markers to assess severity of neurological deficit using NIHSS1 at baseline and on day 10 of hospitalization. The control group included 29 patients with chronic CVD (34% of men, median age: 55 years).
Blood samples were obtained via cubital venipuncture in fasting state in the morning using vacuum systems and tubes containing either 3.2% sodium citrate (for citrate plasma) or a coagulation activator and gel (for serum). Blood samples were obtained, transported, stored, and handled during the pre-analytical stage in accordance with the Russian Federation’s national standard. Serum/plasma testing for t-PA, PAI-1, TAT, and PAP was performed in duplicate using a sandwich enzyme-linked immunosorbent assay (ELISA) with Technoclone and Cloud Clone Corporation reagent kits on a Victor 2 (PerkinElmer) and/or a Real-Best plate readers.
A statistical analysis was performed using the R programming language (v. 4.4.1) in RStudio (v. 2025.05.1) with the following plug-ins: tidyverse, gtsummary, corrplot, pheatmap, ggplot2, and RcppCNPy. In addition, GraphPad Prism 10 (v. 10.4.0) was used. Descriptive statistics were represented by medians, as well as upper and lower quartiles for continuous variables and frequencies for discrete variables. Two unpaired groups were compared using Wilcoxon–Mann–Whitney test for continuous variables or the Pearson χ2 test for discrete variables. Three or more unpaired groups were compared using the analysis of variance (ANOVA) (Kruskal–Wallis test) with subsequent pairwise comparisons and the p-value adjusted using the Dunn multiple comparison test. A heat map showing the relative levels of each variable was created based on preliminary calculations of its percentile in the column. Associations and predictor value were evaluated using regression analysis. In the case of a binomial dependent variable (stroke), univariate and multivariate logistic regression with an odds ratio (OR) and 95% confidence interval (CI) was used. For a continuous variable, linear regression with beta coefficients was used (for a univariate model: changes in the NIHSS score by day 10 according to the formula ΔNIHSS = NIHSSby day 10 − NIHSSbaseline; for a multivariate model: the NIHSSby day 10 score (+ NIHSSbaseline score as a covariate). A correlation analysis was performed using the Spearman’s rank correlation coefficient, and the results were visualized using a correlogram. The significance level was set at 0.05, and all tests were two-sided.
Results
Table 1 presents the main clinical data by study subgroups. On average, patients with IS were older than those with chronic CVD. The groups were comparable in terms of sex and anthropometric parameters (weight). As expected, however, the distribution of classical risk factors was shifted toward groups with LAA-related and lacunar IS.
Table 1. Main clinical and demographic characteristics of the study groups
| Parameter | LAA-related IS (n = 32) | Hemorheological IS (n = 32) | Lacunar IS (n = 27) | Chronic CVD (n = 29) | p (Kruskal–Wallis test; Pearson χ2 test) | 
| Age, years, median [Q1; Q3] | 66 [58; 70] | 58 [54; 64] | 63 [57; 69] | 55 [49; 62] | < 0.001 | 
| Male, n (%) | 16 (50) | 11 (34) | 14 (52) | 10 (34) | 0.3 | 
| Smokers, n (%) | 13 (41) | 5 (16) | 12 (44) | 5 (17) | 0.019 | 
| Weight, kg, median [Q1; Q3] | 81 [74; 95] | 80 [67; 94] | 89 [76; 101] | 72 [67; 88] | 0.081 | 
| Type 2 diabetes mellitus, n (%) | 19 (59) | 8 (25) | 16 (59) | 9 (31) | 0.006 | 
| The presence and stage of hypertension, n (%) | |||||
| no | 2 (6.3) | 0 (0) | 0 (0) | 2 (6.9) | |
| stage I | 2 (6.3) | 14 (44) | 2 (7.4) | 21 (72) | |
| stage II | 17 (53) | 9 (28) | 18 (67) | 6 (21) | |
| stage III | 11 (34) | 9 (28) | 7 (26) | 0 (0) | 
Patients with acute IS were admitted to the Russian Center of Neurology and Neurosciences within 48 hours of a cerebrovascular accident. The clinical presentation included impaired level of consciousness and focal neurological symptoms resulting from injury to one of the cerebral hemispheres. Ischemic injury to the left hemisphere was reported somewhat more frequently (52.7%). A decrease in the level of arousal (obtundation) was recorded in 27 patients (29.7%). Focal symptoms were most often caused by injury to the pyramidal tract fibers on the side of the cerebral hemisphere with the ischemic lesion. In these cases, the most common motor disorders included central hemiparesis (84 patients, 92.3%) and central monoparesis of arm (7 patients, 7.7%). Motor impairment reached the level of hemiplegia in one-third of the patients (29 patients, 31.9%). Central paresis of the facial muscles was observed in 86 patients (94.5%). Speech disorders were also common focal neurological symptoms. For example, aphasia of varying severity occurred in 28 patients (30.8%), and dysarthria occurred in 30 patients (32.9%). Forty-six patients (50.5%) had impaired surface sensation, such as hemihypalgesia and hemianalgesia, and 35 patients (38.5%) had impaired deep sensation and neglect syndrome. Oculomotor disorders such as limited gaze and gaze paresis (either isolated or in combination with forced head turning towards the affected hemisphere) and hemianopsia were reported less frequently, in 12 (13.2%) and 11 (12.1%) patients, respectively.
Reperfusion therapy was not initiated because patients were admitted for more than six hours after the onset of IS.
The group of chronic CVD included patients without a history of acute cerebrovascular accidents. These patients presented with subacute progression of generalized cerebral and focal neurological symptoms associated with cerebral atherosclerosis and microangiopathy (as confirmed by neuroimaging results), classified as stage I/II discirculatory encephalopathy. The most common neurological symptoms in this group included cephalgic syndrome (58.6%), vestibulocerebellar symptoms (55.2%), and astheno-neurotic syndrome (55.2%). Patients also had diffuse microsymptoms, including sensation disorders (20.7%), pyramidal symptoms (17.2%), and extrapyramidal symptoms (17.2%).
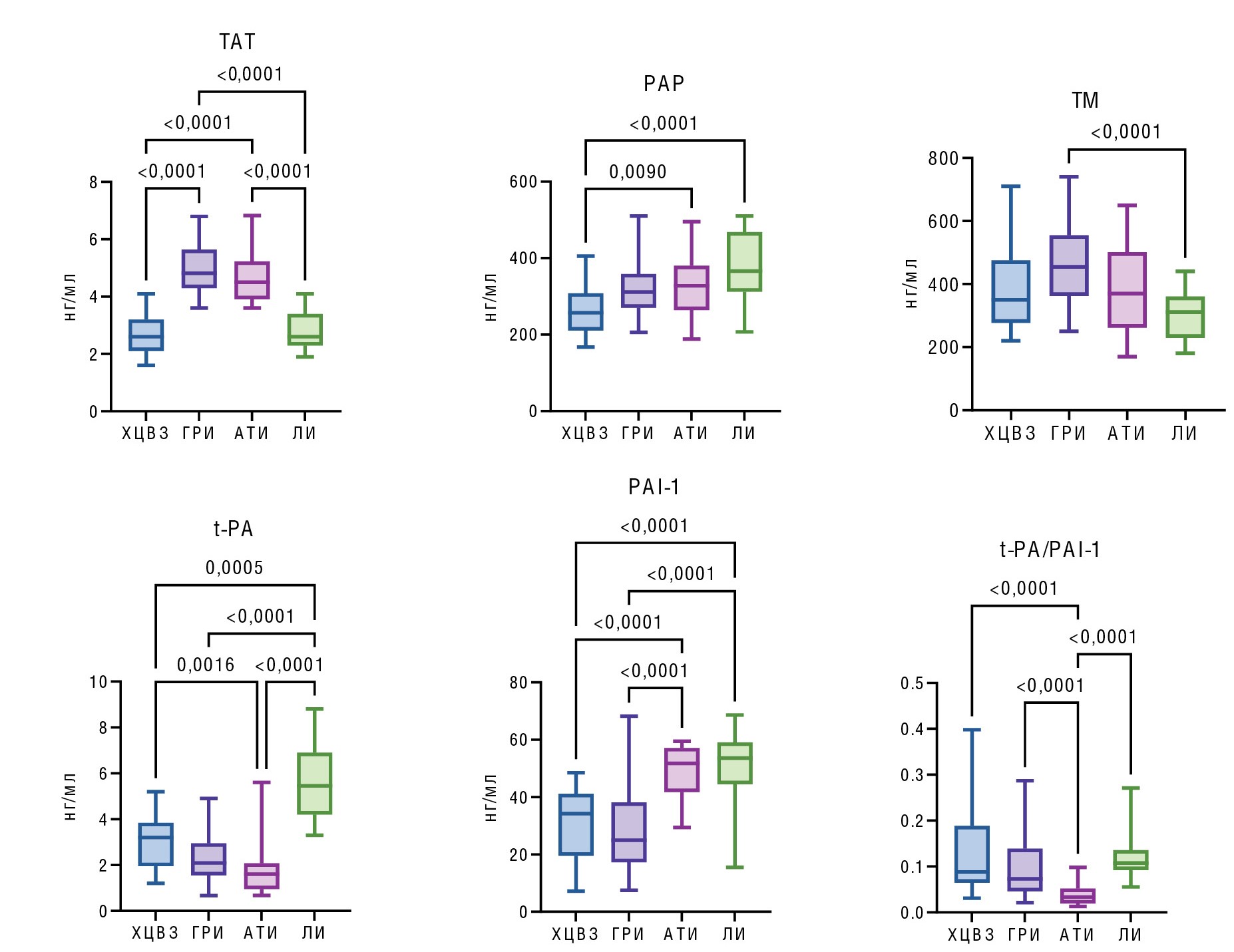
Levels of study biomarkers differed significantly between the groups (Fig. 1), differentially depending on the IS subtype.
Fig. 1. A box plot of levels of study biomarkers by IS subgroup. Only significant differences in pairwise post hoc comparisons adjusted using the Dunn multiple comparison test are shown. The data are presented as the median, first and third quartiles, and range. CVD, cerebrovascular disease; IS, ischemic stroke; LAA, large artery atherosclerosis.
Table 2 shows the quantitative values of the markers by study group and changes in neurological deficits by NIHSS scores.
Table 2. Thrombotic hazard marker levels and changes in NIHSS scores by IS subtype, median [Q1; Q3]
| Parameter | LAA-related IS (n = 32) | Lacunar IS (n = 27) | Hemorheological IS (n = 32) | p (Kruskal–Wallis test) | 
| NIHSS score | ||||
| baseline | 13 [11; 16] | 10 [9; 12] | 14 [9; 16] | 0.006 | 
| day 10 | 12 [9; 14] | 7 [6; 9] | 11 [7; 15] | < 0.001 | 
| Thrombomodulin, ng/mL | 370 [268; 482] | 311 [230; 360] | 455 [363; 555] | < 0.001 | 
| t-PA, ng/mL | 1.60 [0.97; 2.05] | 5.45 [4.20; 6.90] | 2.10 [1.56; 2.81] | < 0.001 | 
| PAI-1, ng/mL | 52 [42; 57] | 54 [45; 59] | 25 [18; 37] | < 0.001 | 
| t-PA/PAI-1 | 0.03 [0.02; 0.05] | 0.11 [0.09; 0.14] | 0.07 [0.05; 0.14] | < 0.001 | 
| TAT, ng/mL | 4.51 [3.93; 5.23] | 2.60 [2.30; 3.40] | 4.82 [4.34; 5.64] | < 0.001 | 
| PAP, ng/mL | 328 [266; 380] | 366 [312; 468] | 311 [270; 358] | 0.052 | 
Clinically, patients with lacunar IS initially have less severe neurological deficits. However, by day 10 post-stroke, the median NIHSS score was no lower than 6 (a standard cutoff for a favorable outcome). The further analysis considered these patients based on the progression of their neurological disorders.
A cluster analysis of the relative values was performed to identify a differentiated pattern of changes in thrombogenic markers in patients with various CVD manifestations, and the results were visualized (Fig. 2). Almost all patients with lacunar IS demonstrated higher t-PA levels and higher t-PA/PAI-1 ratio, as well as lower TM and TAT levels. Conversely, the reverse pattern was observed in patients with LAA-related IS (to a greater extent) and hemorheological IS (to a lesser extent). Patients with chronic CVD had lower relative TAT and PAI-1 levels and moderate-high t-PA levels.
Fig. 2. A heat map of the relative levels of study biomarkers by subgroups.
Regression models were created and characterized in order to further evaluate the potential associations between study biomarkers and IS development, as well as to determine if the biomarkers could predict short-term IS outcomes (Table 3).
Table 3. Regression analysis models
| Biomarker | Predictors of IS | Adverse outcome predictors | ||||||
| univariate model | multivariate model | univariate model | multivariate model | |||||
| OR (95% CI) | p | OR (95% CI) | p | Beta coefficient (95% CI) | p | Beta coefficient (95% CI) | p | |
| ТМ | 1.00 (1.00–1.00) | 0.8 | 1.00 (0.99–1.00) | 0.2 | 0.00 (0.00–0.00) | 0.009 | 0.001 (–0.002–0.003) | 0.561 | 
| t-PA | 1.02 (0.83–1.29) | 0.8 | 1.79 (0.80–4.50) | 0.2 | –0.15 (–0.26–0.03) | 0.014 | –0.046 (–0.316–0.224) | 0.734 | 
| PAI-1 | 1.05 (1.02–1.08) | < 0.001 | 1.04 (0.96–1.14) | 0.4 | –0.01 (–0.03–0.01) | 0.2 | –0.001 (–0.03–0.027) | 0.928 | 
| PAP | 1.01 (1.01–1.02) | < 0.001 | 1.01 (1.00–1.02) | 0.12 | 00.00 (0.00–0.00) | 0.4 | 0.002 (–0.002–0.005) | 0.348 | 
| TAT | 4.78 (2.70–9.68) | < 0.001 | 10.9 (4.45–37.4) | < 0.001 | 0.40 (0.22–0.59) | < 0.001 | 0.306 (–0.009–0.62) | 0.057 | 
| tPA/PAI-1 | 0.00 (0.00–0.10) | 0.006 | 4.11 (0.00–4 × 108) | 0.9 | 0.00 (–6.0–2.0) | 0.3 | 1.753 (–6.886–10.393) | 0.688 | 
Note. * The baseline NIHSS score was used as a covariate.
Of six markers considered, four (PAI-1, PAP, TAT, and t-PA/PAI-1) were found to be significantly associated with IS development. TAT demonstrated the strongest association (OR = 4.78; 95% CI 2.70–9.68). However, multiple logistic regression analysis revealed that TAT was the only independent significant factor of IS (OR = 10.9; 95% CI 4.45–37.40).
The potential predictive value of thrombotic hazard biomarkers for IS outcomes was evaluated using singleand multivariate linear regression models. TAT was found to be the most significant factor. However, its independent predictive value was not confirmed when considered in combination with other factors.
A ROC analysis was used to assess the sensitivity and specificity of each marker for IS development and determine the cutoff levels of study biomarkers (Table 4). TAT showed the strongest association with IS.
Table 4. ROC analysis data for differentiating between IS and chronic CVD
| Biomarker | AUC (95% CI) | Cut-off | Sensitivity | Specificity | 
| ТМ | 0.498 (0.376–0.620) | 355 | 0.582 | 0.517 | 
| t-PA | 0.56 (0.458–0.663) | 1.675 | 0.319 | 0.931 | 
| PAI-1 | 0.72 (0.626–0.814) | 48.8 | 0.429 | 1 | 
| t-PA/PAI-1 | 0.662 (0.555–0.769) | 0.061 | 0.516 | 0.793 | 
| РАР | 0.758 (0.66–0.856) | 286.95 | 0.703 | 0.724 | 
| TAТ | 0.869 (0.806–0.931) | 3.55 | 0.736 | 0.931 | 
A different pattern was observed when the differential value of the study biomarkers was evaluated considering IS subtypes using multinomial logistic regression (Table 5). PAI-1 was the most sensitive marker for LAA-related IS, while t-PA/PAI-1 and TAT demonstrated high predictive value for lacunar IS.
Table 5. ROC analysis data for differentiating IS subtypes
| Biomarker | Subtype | Sensitivity | Specificity | AUC | 
| t-PA | LAA-related IS | 0.812 | 0.729 | 0.796 | 
| Lacunar IS | 1 | 0.875 | 0.971 | |
| Hemorheological IS | 0.719 | 0.661 | 0.710 | |
| TM | LAA-related IS | 0.375 | 0.831 | 0.530 | 
| Lacunar IS | 0.704 | 0.734 | 0.758 | |
| Hemorheological IS | 0.875 | 0.542 | 0.755 | |
| PAI-1 | LAA-related IS | 0.969 | 0.441 | 0.706 | 
| Lacunar IS | 0.815 | 0.594 | 0.726 | |
| Hemorheological IS | 0.750 | 0.949 | 0.893 | |
| t-PA/PAI | LAA-related IS | 0.969 | 0.746 | 0.907 | 
| Lacunar IS | 1 | 0.656 | 0.821 | |
| Hemorheological IS | 0.969 | 0.237 | 0.540 | |
| PAP | LAA-related IS | 0.438 | 0.593 | 0.467 | 
| Lacunar IS | 0.370 | 0.938 | 0.656 | |
| Hemorheological IS | 0.719 | 0.542 | 0.608 | |
| TAT | LAA-related IS | 1 | 0.407 | 0.721 | 
| Lacunar IS | 0.889 | 1 | 0.986 | |
| Hemorheological IS | 0.781 | 0.695 | 0.772 | 
A correlation analysis (Fig. 3) revealed the multidirectional associations between biomarkers. For example, higher TAT levels were associated with decreased positive changes in NIHSS scores (ΔNIHSS) and decreased tPA levels. At the same time, TAT positively correlated with TM levels.
Fig. 3. A correlation analysis of biomarkers and NIHSS changes in a group of patients with IS using Spearman rank-order correlation coefficient. Correlations with p > 0.05 were excluded. ΔNIHSS = NIHSS (day 10) − NIHSS (baseline).
Discussion
We used a retrospective cohort of patients with CVD of various origins (both acute and chronic) to differentiate patterns of changes in thrombotic hazard markers such as TM, TAT, PAP, and tPA/PAI-1.
The most significant result of the study demonstrated that TAT can serve as an early marker of thrombotic risk in IS. Significant differences in TAT levels were reported across the study groups. The highest levels were found in patients with LAA-related IS (4.51 ng/mL) and hemorheological IS (4.82 ng/mL), while patients with lacunar IS demonstrated significantly lower TAT levels (2.60 ng/mL). These findings were consistent with those of current meta-analyses showing that patients with IS had higher TAT levels than controls, with a mean difference of 5.31 (95% CI 4.12–6.51) [7]. Notably, TAT levels were highest during the acute phase of IS and gradually decrease over time. The degree of increase varied depending on IS subtypes.
Importantly, in our analysis, TAT was the only biomarker that maintained predictive value in the multivariate model of association with IS (OR: 10.9; 95% CI 4.45–37.4; p < 0.001). Our study found a significant association between TAT and poorer IS outcomes, consistent with other studies. Welsh et al. found higher TAT levels in patients with a modified Rankin score of ≥ 3 in the acute phase of IS [16]. TAT is a sensitive marker of a prothrombotic state. In the context of IS, it may also indicate a systemic inflammatory response [17].
Our study reported significant differences in TM levels between groups. The highest levels were found in patients with hemorheological IS (455 ng/mL), while those with lacunar IS had significantly lower levels (311 ng/mL).
Current publications confirm the important role of TM in the CVD pathogenesis. A large multicenter study in 3,532 patients with IS showed that higher plasma TM levels were associated with a lower risk of adverse clinical outcomes 3 months after IS [18]. This phenomenon can be explained by the dual role of TM in hemostasis. On the one hand, sTM levels indicate endothelial injury, which contributes to thrombogenesis [19]. On the other hand, an increase in TM levels may prevent some patients from developing IS [20]. In our study, TM did not show independent predictive value in the multivariate analysis, which can be explained by the difficulty of interpreting this marker based on vascular history.
Our study revealed significant differences in t-PA and PAI-1 levels between the study groups. Interestingly, patients with lacunar IS had higher tPA levels (5.45 ng/mL) compared to patients with LAA-related IS (1.60 ng/mL) or hemorheological IS (2.10 ng/mL). The latter group showed also lower PAI-1 levels (25 ng/mL) compared to other groups. The tPA/PAI-1 ratio is an important marker of fibrinolytic potential. In our study, patients with lacunar IS had the highest tPA/PAI-1 levels (0.11), which may indicate a compensatory activation of the fibrinolytic system in response to microvascular injury.
Fibrinolytic system disorders are known to play an important role in the pathogenesis of IS. The Northern Sweden MONICA prospective study showed that tPA/PAI-1 is an independent predictor of a new-onset IS (occurring 2.74 times more frequently in patients with upper quartile levels of tPA/PAI-1 compared to lower levels) [21]. PAI-1 may reduce the effectiveness of thrombolytic therapy. The level of active PAI-1 in new thrombi can be thousands of times higher than the normal plasma level, which is sufficient to inhibit the clinical dose of tPA. In addition, PAI-1 produced by astrocytes in the central nervous system can limit excessive tPA activity in the brain parenchyma and prevent injury to the blood-brain barrier, thereby exerting a neuroprotective effect [14].
In recent years, the role of α2-antiplasmin in the pathogenesis of IS has been actively investigated. Epidemiological studies have shown that high levels of α2-antiplasmin are associated with a higher risk of IS [22]. In our study, PAP levels did not show any significant differences between groups (p = 0.052), although there was a trend towards higher levels in patients with lacunar IS (366 ng/mL).
Changes in study markers are a topic of active discussion in the literature regarding the effectiveness and safety of reperfusion therapy for patients with IS, particularly intravenous thrombolysis (IVT). The recovery of blood flow during IVT is associated with low levels of sTM [23]. High TAT levels are associated with poorer functional outcomes and higher mortality rates, reflecting a lower percentage of successful revascularization following IVT [7]. Low levels of α2-antiplasmin are associated with poor IVT outcomes and higher rates of intracranial hemorrhagic events [24]. Although higher PAI-1 activity and levels before IVT were associated with adverse progression of cerebral infarction according to neuroimaging 24 hours after IVT, PAI-1 activity was not associated with hemorrhagic events or functional outcomes during IVT. The 5G/5G PAI-1 polymorphism was shown to be an independent risk factor for intracranial hemorrhage during IVT [25].
Changes in study markers should also be mentioned as important potential predictive markers and predictors of complications during mechanical thrombectomy (MTE), such as hemorrhagic transformation and reocclusion. Even after angiographically successful recanalization, levels of these thrombotic hazard markers may indicate a poorer prognosis for patients. These changes may indicate the patient’s initial condition as well as local vascular wall injury during MTE. In addition, current MTE protocols include the systemic administration of thrombolytics prior to endovascular treatment, which can significantly impact the hemostatic response. Xu et al. assessed the levels of sTM, TAT, PAP, and tPA-PAI-1 in arterial blood samples taken from the femoral artery and from an artery located distal to the thrombotic occlusion site [26]. The authors demonstrated that low sTM levels and high TAT, PAP, and tPA-PAI-1 levels were associated with a poor functional outcome following MTE in patients with IS. Moreover, higher TAT and PAP levels in arterial blood samples from the ischemic zone were identified as independent risk factors for symptomatic intracranial hemorrhage after MTE.
Our study also evaluated the predictive value of biomarkers for the short-term outcome of IS. The univariate analysis revealed that t-PA and TAT were the most significantly associated with a poor outcome. However, the multivariate analysis did not confirm the independent predictive value of any biomarkers.
These results are consistent with systematic reviews showing that, despite the associations between many coagulation and inflammatory biomarkers and IS, it is too early to conclude whether these biomarkers can be used therapeutically to predict IS, acute phase severity, or clinical outcome after treatment [27].
The limited predictive value of individual biomarkers can be explained by the complex and multifactorial pathogenesis of IS. Current research shows that combining multiple biomarkers of different pathophysiological pathways significantly improves risk stratification for poor outcomes [28]. This fully applies to patients who received reperfusion therapy as well as to those who received background and antithrombotic therapy.
In an era when only clinical guidelines should be followed, our study provides unique data on the ability of the study biomarkers to differentiate IS subtypes. Significant differences were particularly evident in t-PA levels between lacunar IS and other subtypes of IS, which may reflect the characteristics of microvascular pathogenesis. These findings are supported by literature indicating that different IS subtypes are characterized by different patterns of hemostatic system activation [7, 29]. All of the above suggest the need for personalized, optimized, and pathogenetically confirmed (for changes in hemorheology and hemostasis) therapy aimed at restoring blood flow properties (hemorheology) and improving vascular wall function. This therapy should be intended to treat existing thrombotic events and prevent new ones.
This study has some important limitations that should be considered when interpreting the results. A relatively small sample size can lead to overfitting of the model and decreased accuracy of parameter estimates in multivariate regression analysis. Therefore, the obtained regression coefficients require careful interpretation. The retrospective design significantly limits the ability to establish causal relationships between the identified factors and disease outcomes because it does not allow for full control of unaccounted confounders. Therefore, our results should be confirmed in larger, prospective studies.
Conclusion
Thrombotic hazard markers (TAT, PAP, TM, and tPA/PAI-1) can potentially be used to determine the risk of IS and predict functional outcomes and response to reperfusion therapy. Our study provided promising data on different expression patterns of hemostatic parameters depending on the IS subtype. This is another step toward personalized treatment strategies for patients with CVD.
The predictive value substantiates the need to investigate and implement this diagnostic approach. It reflects the tendency of the levels of these components of coagulation system to deviate from normal values before fibrin and/or thrombus formation occurs. Early detection of thrombogenic trends could enable personalized prophylaxis with antithrombotic agents for neurological patients. Comprehensive studies of these markers improve our understanding of the mechanisms that determine the effectiveness of pharmacological treatments and endovascular reperfusion for IS, as well as pave the way for personalized antithrombotic therapy for patients undergoing reperfusion interventions.
1 Тромботические маркеры при цереброваскулярных заболеваниях
About the authors
Marine M. Tanashyan
Russian Center of Neurology and Neurosciences
														Email: mazur@neurology.ru
				                	ORCID iD: 0000-0002-5883-8119
				                																			                								
Dr. Sci. (Med.), Professor, Full member of RAS, Deputy Director for Science, Head, 1st Neurological department, Institute of Clinical and Preventive Neurology
Russian Federation, 80 Volokolamskoye shosse, Moscow, 125367Eugene V. Roitman
Russian Center of Neurology and Neurosciences; Pirogov Russian National Research Medical University
														Email: mazur@neurology.ru
				                	ORCID iD: 0000-0002-3015-9317
				                																			                								
Dr. Sci. (Biol.), leading researcher, Professor, Department of oncology, hematology and radiation therapy
Russian Federation, 80 Volokolamskoye shosse, Moscow, 125367; MoscowAnton A. Raskurazhev
Russian Center of Neurology and Neurosciences
														Email: rasckey@live.com
				                	ORCID iD: 0000-0003-0522-767X
				                																			                								
Cand. Sci. (Med.), senior researcher, 1st Neurological department, Institute of Clinical and Preventive Neurology
Russian Federation, 80 Volokolamskoye shosse, Moscow, 125367Maksim A. Domashenko
Lomonosov Moscow State University
														Email: mazur@neurology.ru
				                	ORCID iD: 0009-0000-3630-6130
				                																			                								
Cand. Sci. (Med.), Head, Neurology and neurosurgery department, Faculty of fundamental medicine
Russian Federation, MoscowAlla A. Shabalina
Russian Center of Neurology and Neurosciences
														Email: mazur@neurology.ru
				                	ORCID iD: 0000-0001-7393-0979
				                																			                								
Dr. Sci. (Med.), leading researcher, Head, Laboratory diagnostics department
Russian Federation, 80 Volokolamskoye shosse, Moscow, 125367Andrey S. Mazur
Russian Center of Neurology and Neurosciences
							Author for correspondence.
							Email: mazur@neurology.ru
				                	ORCID iD: 0000-0001-8960-721X
				                																			                								
postgraduate student, 1st Neurological department, Institute of Clinical and Preventive Neurology
Russian Federation, 80 Volokolamskoye shosse, Moscow, 125367References
- Инсульт: инновационные технологии в лечении и профилактике. Руководство для врачей. 4-е издание / под ред. М.А. Пирадова, М.М. Танашян, М.Ю. Максимовой. М.; 2024. Piradov MA, Tanashyan MM, Maksimova MYu (eds.) Stroke: innovative technologies in treatment and prevention. A guide for physicians. 4th ed. Moscow; 2024. (In Russ.)
- Танашян М.М. Гемостаз, гемореология и атромбогенная активность сосудистой стенки в ангионеврологии. Анналы клинической и экспериментальной неврологии. 2007;2(1):29–33. Tanashyan MM. Hemostasis, hemorheology, and the atrombotic activity of the vascular wall in angioneurology. Annals of Clinical and Experimental Neurology. 2007;2(1):29–33.
- Танашян М.М., Мазур А.С., Раскуражев А.А. и др. Интракраниальный атеросклероз: структура, клинические аспекты и факторы риска. Анналы клинической и экспериментальной неврологии. 2025;19(1):5–13. Tanashyan MM, Mazur AS, Raskurazhev AA, et al. Intracranial atherosclerosis: structure, clinical aspects and risk factors. Annals of clinical and experimental neurology. 2025;19(1):5–13. doi: 10.17816/ACEN.1266
- Танашян М.М., Мазур А.С., Раскуражев А.А. Интракраниальный атеросклероз: современное состояние проблемы (обзор литературы). Артериальная гипертензия. 2024;30(4):354–363. Tanashyan MM, Mazur AS, Raskurazhev AA. Intracranial atherosclerosis: the current state of the problem (literature review). Arterial Hypertension. 2024;30(4):354–363. doi: 10.18705/1607-419X-2024-2425
- Zhao X, Yang S, Lei R, et al. Clinical study on the feasibility of new thrombus markers in predicting massive cerebral infarction. Front Neurol. 2023;13:942887. doi: 10.3389/fneur.2022.942887
- Mo J, Liang B, Cen J, et al. Plasma thrombin-antithrombin complex as a candidate biomarker for coronary slow flow. Front Cardiovasc Med. 2025;12:1621655. doi: 10.3389/fcvm.2025.1621655
- Song P, Xie J, Li W, et al. Effect of plasma thrombin-antithrombin complex on ischemic stroke: a systematic review and meta-analysis. Syst Rev. 2023;12(1):17. doi: 10.1186/s13643-023-02174-9
- Ambrus CM, Markus G. Plasmin-antiplasmin complex as a reservoir of fibrinolytic enzyme. Am J Physiol. 1960;199:491–494. doi: 10.1152/ajplegacy.1960.199.3.491
- Singh S, Saleem S, Reed GL. Alpha2-antiplasmin: the devil you don’t know in cerebrovascular and cardiovascular disease. Front Cardiovasc Med. 2020;7:608899. doi: 10.3389/fcvm.2020.608899
- Evensen LH, Folsom AR, Pankow JS et al. Hemostatic factors, inflammatory markers, and risk of incident venous thromboembolism: the multi‐ethnic study of atherosclerosis. J Thromb Haemost. 2021;19(7):1718–1728. doi: 10.1111/jth.15315
- Wiman B, Collen D. On the kinetics of the reaction between human antiplasmin and plasmin. Eur J Biochem. 1978;84(2):573–578. doi: 10.1111/j.1432-1033.1978.tb12200.x
- Martí-Fàbregas J, Borrell M, Cocho D, et al. Hemostatic markers of recanalization in patients with ischemic stroke treated with rt-PA. Neurology. 2005;65(3):366–370. doi: 10.1212/01.wnl.0000171704.50395.ba
- Zaharia AL, Tutunaru D, Oprea VD, et al. Thrombomodulin serum levels — a predictable biomarker for the acute onset of ischemic stroke. Curr Issues Mol Biol. 2024;46(1):677–688. doi: 10.3390/cimb46010044
- Tjärnlund-Wolf A, Brogren H, Lo EH, Wang X. Plasminogen activator inhibitor-1 and thrombotic cerebrovascular diseases. Stroke. 2012;43(10):2833–2839. doi: 10.1161/STROKEAHA.111.622217
- Kim SH, Han SW, Kim EH, et al. Plasma fibrinolysis inhibitor levels in acute stroke patients with thrombolysis failure. J Clin Neurol. 2005;1(2):142. doi: 10.3988/jcn.2005.1.2.142
- Welsh P, Barber M, Langhorne P, et al. Associations of inflammatory and haemostatic biomarkers with poor outcome in acute ischaemic stroke. Cerebrovasc Dis. 2009;27(3):247–253. doi: 10.1159/000196823
- Piazza O, Scarpati G, Cotena S, et al. Thrombin antithrombin complex and IL-18 serum levels in stroke patients. Neurol Int. 2010;2(1):1. doi: 10.4081/ni.2010.e1
- Zhu Z, Guo D, Jia Y, et al. Plasma thrombomodulin levels and ischemic stroke: a population-based prognostic cohort study. Neurology. 2022;99(9):e916–e924. doi: 10.1212/WNL.0000000000200783
- Dharmasaroja P, Dharmasaroja PA, Sobhon P. Increased plasma soluble thrombomodulin levels in cardioembolic stroke. Clin Appl Thromb. Hemost. 2012;18(3):289–293. doi: 10.1177/1076029611432744
- Olivot JM, Labreuche J, Aiach M, et al. Soluble thrombomodulin and brain infarction: case-control and prospective study. Stroke. 2004;35(8):1946– 1951. doi: 10.1161/01.STR.0000133340.37712.9b
- Johansson L, Jansson JH, Boman K, et al. Tissue plasminogen activator, plasminogen activator inhibitor-1, and tissue plasminogen activator/ plasminogen activator inhibitor-1 complex as risk factors for the development of a first stroke. Stroke. 2000;31(1):26–32. doi: 10.1161/01.STR.31.1.26
- Reed GL, Houng AK, Singh S, Wang D. α2-Antiplasmin: new insights and opportunities for ischemic stroke. Semin Thromb Hemost. 2017;43(2):191–199. doi: 10.1055/s-0036-1585077
- Faille D, Labreuche J, Meseguer E, et al. Endothelial markers are associated with thrombolysis resistance in acute stroke patients. Eur J Neurol. 2014;21(4):643–647. doi: 10.1111/ene.12369
- Székely EG, Orbán-Kálmándi R, Szegedi I, et al. Low α2-plasmin inhibitor antigen levels on admission are associated with more severe stroke and unfavorable outcomes in acute ischemic stroke patients treated with intravenous thrombolysis. Front Cardiovasc Med. 2022;9:901286. doi: 10.3389/fcvm.2022.901286
- Szegedi I, Nagy A, Székely EG, et al. PAI‐1 5G/5G genotype is an independent risk of intracranial hemorrhage in post‐lysis stroke patients. Ann Clin Transl Neurol. 2019;6(11):2240–2250. doi: 10.1002/acn3.50923
- Xu X, Song Y, Cao W, et al. Alterations of hemostatic molecular markers during acute large vessel occlusion stroke. J Am Heart Assoc. 2024;13(3):e032651. doi: 10.1161/JAHA.123.032651
- Barakzie A, Jansen AJG, Ten Cate H, de Maat MPM. Coagulation biomarkers for ischemic stroke. Res Pract Thromb Haemost. 2023;7(4):100160. doi: 10.1016/j.rpth.2023.100160
- Jia WL, Jiang YY, Jiang Y, et al. Associations between admission levels of multiple biomarkers and subsequent worse outcomes in acute ischemic stroke patients. J Cereb Blood Flow Metab. 2024;44(5):742–756. doi: 10.1177/0271678X231214831
- Yamazaki M, Uchiyama S, Maruyama S. Alterations of haemostatic markers in various subtypes and phases of stroke. Blood Coagul Fibrinolysis. 1993;4(5):707–712.
 
					 
						 
							
 
  
  
  
  
  Email this article
			Email this article 







 СМИ зарегистрировано Федеральной службой по надзору в сфере связи, информационных технологий и массовых коммуникаций (Роскомнадзор).
 СМИ зарегистрировано Федеральной службой по надзору в сфере связи, информационных технологий и массовых коммуникаций (Роскомнадзор).