Effects of tumor necrosis factor α on the structure of brain networks and cognitive functions in patients with chronic cerebral ischemia
- Authors: Fokin V.F.1, Shabalina А.A.1, Ponomareva N.V.1, Konovalov R.N.1, Medvedev R.B.1, Lagoda O.V.1, Krotenkova M.V.1, Tanashyan M.M.1
-
Affiliations:
- Research Center of Neurology
- Issue: Vol 16, No 3 (2022)
- Pages: 34-40
- Section: Original articles
- Submitted: 30.01.2022
- Accepted: 28.03.2022
- Published: 10.10.2022
- URL: https://annaly-nevrologii.com/pathID/article/view/816
- DOI: https://doi.org/10.54101/ACEN.2022.3.4
- ID: 816
Cite item
Full Text
Abstract
Introduction. The processes of cognitive decline, which are typical for elderly and senile people, as well as for patients with chronic cerebral circulation insufficiency, involve pro-inflammatory cytokines, such as tumor necrosis factor α (TNF-α), interleukin-6, etc.
The aim of this work was to study the association of TNF-α with brain network structure and cognitive functions in patients with chronic cerebral ischemia (CCI).
Materials and methods. We examined 101 patients with CCI (50–85 years old, men and women) who were assessed for the saliva levels of TNF-α during cognitive testing. The status of resting-state networks was analyzed in 55 patients using functional magnetic resonance therapy.
Results. After cognitive tasks, the saliva level of TNF-α increased by 17.6 ± 6.2 pg/mL. Half of the CCI patients older than 60 years showed a significant increase in the level of TNF-α. This cytokine correlated with delayed word recall and the ratio of delayed recall to their performance on the Luria Memory Words Test. The change in TNF-α saliva levels correlated with the status of the resting-state network, mainly with the salience network. An increase in TNF-α levels was associated with a higher frequency of negative correlations than at lower values of TNF-α (less than 80 pg/mL). TNF-α-sensitive connectivities correlated with cognitive tasks, not only memory tests, but also with the Montreal Cognitive Assessment Scale, verbal fluency test scores, etc.
Discussion. The study revealed two significant facts: an increase in the TNF-α saliva level during cognitive performance and a lower success rate of cognitive performance associated with an increase in the levels of this cytokine. The central mechanism for the implementation of this relationship includes the restructuring of the salience network, namely the additional increase of negative correlations within the connective structure of the salience neural network of the right hemisphere.
Conclusions. A change in the saliva level of TNF-α affects the connectivity of resting-state networks, mainly the salience network
Full Text
Введение
Анализ иммунных и других молекулярных механизмов неврологических заболеваний, связанных с нарушением когнитивных функций, является одним из ведущих направлений исследований в мире [1]. Фактор некроза опухоли (ФНО-α) относится к семейству провоспалительных цитокинов.
Цитокины — небольшие информационные молекулы иммунной системы, которые обеспечивают согласованность действия иммунной, эндокринной и нервной систем в нормальных условиях и в ответ на патологические воздействия. Роль цитокинов в иммунной системе неспецифична, т.к. воспаление, в котором участвуют цитокины, имеет место при многих заболеваниях центральной нервной системы (ЦНС). В ЦНС цитокины секретируются нейронами, микроглией, астроцитами [2]. Неинфекционные процессы воспаления в мозге обусловлены, в частности, ишемией, недостаточным кровоснабжением, поэтому роль цитокинов велика при хронической ишемии головного мозга (ХИМ) [3].
Провоспалительные цитокины, включая ФНО-α, индуцируются окислительным стрессом [4]. Нейроэндокринные реакции на психологические стрессоры влияют на немедленную и долгосрочную регуляцию воспалительных цитокинов в головном мозге. После психологического стресса катехоламины и глюкокортикоиды играют решающую роль в регуляции цитокинов головного мозга. При стрессе наибольшие изменения содержания ФНО-α наблюдались в префронтальной коре, гипоталамусе и гиппокампе [5]. Психологический стресс значительно увеличивает продукцию ФНО-α, интерлейкина (ИЛ)-6, антагониста рецепторов ИЛ-1 (ИЛ-1Ra). Чувствительные к стрессу испытуемые во время развития стрессового состояния имели значительно более высокую продукцию ФНО-α, ИЛ-6, ИЛ-1Ra, чем испытуемые с низким восприятием стресса.
Выработка цитокинов, вызванная психологическим стрессом, может играть определённую роль в нейродегенеративных изменениях в головном мозге [6]. ФНО-α пересекает интактный гематоэнцефалический барьер посредством рецептор-опосредованной транспортной системы, активность которой повышается при травме и воспалении ЦНС. ХИМ сопровождается множественными мелкими ишемическими очагами, усиливающими проницаемость ГЭБ для ФНО-α [7]. ФНО-α присутствует в спинномозговой жидкости здоровых людей [8].
Наряду с другими цитокинами ФНО-α принимает участие в организации когнитивных процессов. Имеющиеся в настоящее время данные показывают, что цитокины ИЛ-1β, ИЛ-6 и ФНО-α на молекулярном уровне играют роль в сложных когнитивных процессах, таких как синаптическая пластичность, нейрогенез, нейромодуляция. Результаты свидетельствуют о существовании цитокиновых механизмов когнитивных функций, которые демонстрируют важную роль цитокинов в молекулярных и клеточных механизмах, обеспечивающих обучение и память [9–11].
Цель работы — изучить ассоциацию ФНО-α c организацией нейросетей и когнитивных функций у больных с ХИМ.
Материалы и методы
В исследовании, одобренном для проведения локальным этическим комитетом ФГБНУ НЦН, участвовал 101 больной (32 мужчины и 69 женщин) в возрасте 50–85 лет с ХИМ. Обследованные отличались друг от друга, в основном, по количественным характеристикам нарушения памяти, работоспособности, раздражительности, проявлений стволовой симптоматики и т.д. Основные этиологические причины ХИМ: атеросклероз, артериальная гипертензия (включая гипертоническую болезнь), венозная недостаточность, диабетическая ангиопатия, васкулиты различной этиологии, заболевания крови и т.д.
Критерии включения: стадия начальных проявлений и субкомпенсации ХИМ; пациенты, не нуждающиеся в повседневной жизни в постоянной опеке со стороны окружающих [12–14]. Критерии исключения: деменция выраженностью 1 балл и более по клинически-рейтинговой шкале деменции [15], наличие в анамнезе острых нарушений мозгового кровообращения, черепно-мозговых травм, тяжёлая кардиальная, метаболическая патология (сахарный диабет 2-го типа), почечная недостаточность, некомпенсированные нарушения функций щитовидной железы. Все пациенты были правшами.
Уровень ИЛ определяли в слюне после выполнения когнитивных тестов, включавших тест Лурия на вербальную память [17]. В этом тесте больные воспроизводили запомненные слова сразу после называния экспериментатором 10 слов, эта процедура повторялась 5 раз. Затем после выполнения арифметического теста на вычитание (от 100 по 7) больные воспроизводили запомненные слова. Кроме этого пациенты выполняли тест вербальной беглости на ассоциативную память: называние максимального количества слов на три предложенные экспериментатором буквы в течение 1 минуты на каждую букву. Ментальное утомление оцени- вали по нормированной разности ассоциаций на 1-ю и 3-ю буквы. Состояние когнитивных функций определяли по Монреальской шкале оценки когнитивных функций (МоСа).
Для исследования уровня ФНО-α у больных с ХИМ без патологии ротовой полости и с санированной рото/носоглоткой не позже чем через 10 мин после выполнения когнитивных тестов производили сбор слюны в пробирку объёмом не менее 1,5 мл. Больные не употребляли алкоголь в течение недели, не пили чай или кофе за 1 ч до забора слюны, за 10 мин до этого прополаскивали рот водой. Образцы слюны, загрязненные кровью, исключали из исследования. Протокол исследований описан ранее [18]. Слюну исследовали твёрдофазным иммуноферментным методом (ELISA) сэндвич-типа при помощи наборов реагентов «R&D Systems» и «Вектор-Бест». При всех исследованиях использовали калибраторы фирм — производителей реагентов с дополнительно приобретёнными калибраторами. Определение проводилось в дублях на плашечном ридере «VICTOR 2» («Perkin Elmer») с использованием контрольных образцов с низким и высоким содержанием исследуемых параметров.
Функциональная магнитно-резонансная томография (фМРТ) покоя головного мозга в последовательности Т2* для получения BOLD-сигнала проводилась на магнитно-резонансном томографе «MagnetomVerio» («Siemens») с величиной магнитной индукции 3 Т (TR = 2400 мс, TE = 30 мс, угол наклона 90°, толщина срезов 3 мм, FOV = 192). Исследуемым предлагалась инструкция: максимально расслабиться, лежать спокойно с закрытыми глазами (для исключения стимулирования зрительной системы) и не думать ни о чём конкретном.
С помощью фМРТ покоя исследовали коннективность нейросетей мозга. Проводили сравнение коннективности в двух группах больных, отличающихся по содержанию ФНО-α — более 80 пг/мл и менее 80 пг/мл. Оценивали разность коннективностей двух групп больных и в каждой из групп по стандартизированому коэффициенту регрессии с поправкой уровня значимости на множественность сравнений (рFDR — false discovery rate).
Данные МРТ обрабатывали в программе «SPM12» в среде Matlab [16]. Для изучения коннективности использовали приложение «CONN-18b», находящеeся в Toolbox программы «SPM-12».
Статистические оценки когнитивных функций и содержания ФНО-α в слюне были реализованы с помощью пакета «Statistica v.12» («Dell»). Вычисляли средние арифметические, дисперсии, стандартные ошибки, коэффициенты корреляции Пирсона, нормальность распределения оценивали по методу Шапиро–Уилка.
Письменное информированное согласие на проведение исследования было получено от всех пациентов и их законно уполномоченных представителей. Исследование одобрено местным этическим комитетом.
Результаты
Содержание ФНО-α в слюне различалось до и после выполнения когнитивных тестов. Выполнение когнитивных тестов увеличивало содержание ФНО-α на 17,6 ± 6,2 пг/мл (р = 0,007). ФНО-α, взятый до когнитивной нагрузки, не коррелировал с успешностью выполнения когнитивных тестов. В частности, коэффициент корреляции уровня ФНО-α с отсроченным воспроизведением слов был равен 0,1 (p = 0,95), в то время как этот же показатель статистически достоверно коррелировал cо значением ФНО-α, полученным после выполнения когнитивного теста (r = –0,51; p = 0,008). Поэтому в дальнейшем мы использовали данные ФНО-α, взятые после выполнения когнитивных тестов, всего у 72 пациентов.
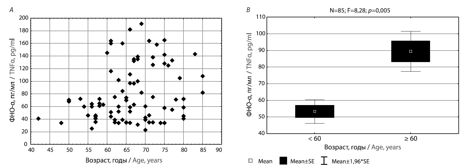
У больных с ХИМ с возрастом достоверно меняется распределение ФНО-α: до 60 лет содержание ФНО-α в слюне не превышает 80 пг/мл, после 60 лет примерно у половины больных содержание ФНО-α выше (рис. 1, А). У больных с ХИМ до 60 лет (n = 18) среднее, дисперсия и стандартная ошибка ФНО-α равны 53,8; 14,7 и 3,5 пг/мл соответственно, а для лиц старше 60 лет (n = 66) — 89,0; 51,3 и 6,3 пг/мл (рис. 1, В).
Рис. 1. Зависимость уровня ФНО-α от возраста больных с ХИМ. А — возрастное распределение ФНО-α; В — статистические различия средних значений ФНО-α у больных разного возраста. n — число обследованных; F — критерий Фишера; p — уровень значимости. / Fig. 1. Correlation between TNF-α levels and the age of patients with CCI. A — age distribution of TNF-α levels; B — difference between the mean values of TNF-α in patients of different age groups. n — number of examined patients; F — Fisher's exact test; p — significance level.
У больных старше 60 лет не выявлена связь возраста и содержания ФНО-α в слюне и (n = 56; F = 2,6; p = 0,11). Увеличение содержания ФНО-α в слюне связано с негативным влиянием на когнитивные функции. При более высокой концентрации ФНО-α снижается соотношение между отсроченным воспроизведением слов и их непосредственным воспроизведением (рис. 2). Существует также достоверная корреляция ФНО-α с отсроченным воспроизведением слов и отношением отсроченного запоминания к непосредст-венному: r = –0,47; p = 0,012 и r = –0,48; p = 0,011 соответственно.
Рис. 2. Отношение отсроченного воспроизведения слов к непосред-ственному воспроизведению (R/M) в тесте Лурия в двух группах больных с ХИМ старше 60 лет с содержанием ФНО-α в слюне ниже и выше 80 пг/мл. n — число обследованных; F — критерий Фишера; p — уровень значимости. / Fig. 2. The ratio of delayed word recall to immediate recall (R/M) in the Luria test in two groups of CCI patients older than 60 years with TNF-α saliva levels below and above 80 pg/mL. n — number of examined patients; F — Fisher's exact test; p — significance level.
Взаимосвязь уровня ФНО-α в слюне с когнитивными функциями отражается в различной связанности структурных и функциональных областей мозга больных с ХИМ (рис. 3). Достоверно отличная от нуля, с учётом множественности сравнений, разность коннективностей обнаружена при сравнении показателя при низком (< 80 пг/мл) и при высоком уровне ФНО-α (≥ 80 пг/мл). Группы больных старше 60 лет с низким и высоким содержанием ФНО-α не различались по возрасту: 68,0 ± 1,1 и 70,7 ± 1,2 года (р = 0,11).
Рис. 3. Достоверно различающиеся коннективности в группах больных ХИМ с низким и высоким уровнем ФНО-α. Salience.AInsula (anterior insula) — салиентная сеть в передней части островка; iLOC (inferior lateral occipital cortex) — нижняя часть боковой затылочной коры; sLOC (superior lateral occipital cortex) — верхняя часть боковой затылочной коры; VisualLateral — визуальная латеральная сеть; TOFusC (temporal occipital fusiform cortex) — височно-затылочная веретеновидная кора; SubCalC (subcallosal cortex) — подкаллозальная кора; IFGtri (inferior frontal gyrusparstriangularis) — треугольная часть нижней лобной извилины); r и l — правое и левое полушария. / Fig. 3. Significantly different connectivity parameters in the groups of CCI patients with low and high levels of TNF-α. Salience.AInsula (anterior insula) — salience network in the anterior insula; iLOC (inferior lateral occipital cortex) — the lower part of the lateral occipital cortex; sLOC (superior lateral occipital cortex) — the superior part of the lateral occipital cortex; VisualLateral — lateral visual network; TOFusC (temporal occipital fusiform cortex) — temporal-occipital fusiform cortex; SubCalC (subcallosal cortex) — subcallosal cortex; IFGtri (inferior frontal gyrus pars triangularis) — the triangular part of the inferior frontal gyrus; r and l — right and left hemispheres.
На рис. 3 видно, что существует некоторое число коннективностей, различающихся при высоком и низком уровнях ФНО-α (выше и ниже 80 пг/мл). Почти все они относятся к салиентной нейросети. Красным линиям соответствуют статистически значимые коннективности, преобладающие при низком (ниже 80 пг/мл) уровне ФНО-α в слюне, численные статистические характеристики коннективностей приведены в табл. 1.
Таблица 1. Статистические характеристики разностей коннективностей, значимо отличающихся при низком и высоком уровне ФНО-α в слюне / Table 1. Statistical characteristics of connectivity parameters that differ significantly at low and high saliva levels of TNFα
Коннективности Сonnectivities | β | Т | рнекорр | рFDR |
SubCalC—IFG tri r | 0,23 | 4,26 | 0,0003 | 0,0417 |
Salience.AIns r—Visual.Lateral l | 0,28 | 4,13 | 0,0007 | 0,0484 |
Salience.AIns r—iLOC l | 0,31 | 3,84 | 0,0007 | 0,0484 |
Salience.AIns r—TOFusC l | 0,22 | 3,68 | 0,0011 | 0,0484 |
Salience.AIns r—sLOCr | 0,24 | 3,66 | 0,0012 | 0,0484 |
Примечание. β — коэффициент регрессии; Т — t-критерий Стъюдента; рнекорр — уровень значимости без поправки на множественность сравнений; рFDR — уровень значимости с поправкой на множественность сравнений. FDR — false discovery rate. Остальные сокращения представлены в подписи к рис. 2.
Note. β — regression coefficient; T — Student’s t-test; рwa — significance level without adjustment for multiple comparisons; pFDR — significance level adjusted for multiple comparisons. FDR — false discovery rate. Other abbreviations are provided in the caption to Fig. 2.
Из табл. 1 следует, что салиентная нейросеть чувствительна к содержанию ФНО-α. В табл. 1 представлены значения статистически значимых разностей коннективностей, однако для полноты представлений необходимо знать исходные коннективности при низком и высоком содержании ФНО-α в слюне, чтобы определить характер влияния ФНО-α на сетевую организацию (табл. 2).
Таблица 2. Статистические характеристики коннективностей, значимо различающихся при низком и высоком уровне ФНО-α в слюне / Table 2. Statistical characteristics of connectivity parameters that differ significantly at low and high saliva levels of TNF-α
Коннективности Сonnectivities | ФНО-α < 80 пг/мл TNFα < 80 pg/mL | ФНО-α ≥ 80 пг/мл TNFα ≥ 80 pg/mL | ||
β | рFDR | β | рFDR | |
SubCalC—IFG tri r | 0,18 | 0,002834 | –0,05 | 0,479142 |
Salience.AIns r—Visual.Lateral l | 0,10 | 0,217264 | –0,18 | 0,060155 |
Salience.AIns r—iLoc l | 0,16 | 0,000425 | –0,15 | 0,646181 |
Salience.AIns r—TOFusC l | 0,09 | 0,225287 | –0,13 | 0,004141 |
Salience.AIns r—sLOCr | 0,00 | 0,970394 | –0,24 | 0,001708 |
Из табл. 2 следует, что при низком уровне ФНО-α коэффициент регрессии (β) положителен, при высоком — отрицателен. Это отражается на общей архитектуре салиентной нейросети.
Коннективности при низком и высоком содержании ФНО-α в слюне представлены на рис. 4.
Рис. 4. Коннективности правой салиентной сети при низком — < 80 пг/мл (А) и высоком — ≥ 80 пг/мл (В) уровнях ФНО-α в слюне. В красном кружке (правое полушарие) — область салиентной сети в передней части островка. Вверху рисунка указан цвет позитивных (розовые линии) и негативных (голубые линии) коннективностей. Все коннективности достоверно отличались от нуля (pFDR < 0,05). / Fig. 4. Connectivity of the right salience network at low — < 80 pg/mL (A) and high — ≥ 80 pg/mL (B) saliva levels of TNF-α. Red circle (right hemisphere) — the area of the salience network in the anterior part of the insula. In the upper part of the figure, the color of positive (pink lines) and negative (blue lines) connections is indicated. All connectivities were significantly different from zero (pFDR < 0.05).
В соответствии с табл. 2 на рис. 4 заметно увеличение числа негативных корреляций в салиентной сети при повышении уровня ФНО-α в слюне.
Коннективности салиентной сети отдельных больных имеют различные коэффициенты регрессии β, которые коррелируют с выраженностью когнитивных функций (табл. 3).
Таблица 3. Корреляция коннективностей салиентной сети правого полушария с характеристиками когнитивных функций у больных с ХИМ (n = 27) / Table 3. Correlation between the connectivities of the right hemisphere salience network and the characteristics of cognitive functions in patients with CCI (n = 27)
Коннективности/когнитивные функции Сonnectivities cognitive functions | Rep | R/M | VF | AS | MoCa |
Sal.AIns r—Visual.Lateral l | 0,45; p = 0,018 | 0,40; p = 0,041 | 0,48; p = 0,011 | ||
Sal.AIns r—iLoc l | 0,43; p = 0,025 | ||||
Sal.AIns r—TOFusC l | 0,42; p = 0,028 | 0,38; p = 0,49 | 0,54; p = 0,004 | 0,43; p = 0,031 | |
Sal.AIns r—sLOCr | 0,38; p < 0,05 |
Примечание. Rep — отсроченное воспроизведение слов; R/M — отношение отсроченного воспроизведения слов к непосредственному; VF — вербальная беглость; AS — коэффициент ментального утомления. Остальные обозначения, как в подписи к рис. 2. Приведены только статистически значимо отличающиеся от нуля (p < 0,05) значения коэффициентов корреляции.
Note. Rep — delayed word recall; R/M is the ratio of delayed word recall to immediate word recall; VF — verbal fluency; AS — coefficient of mental fatigue; MoCa — Montreal Cognitive Assessment Scale. Other abbreviations are the same as in the caption to Fig. 2. Only correlation coefficients that are significantly different from zero (p < 0.05) are provided.
Из данных табл. 3 следует, что коннективности, представленные в правом полушарии участком салиентной сети в передней части островка, чувствительны к изменению уровня ФНО-α и коррелируют со многими когнитивными функциями.
Обсуждение
В ходе исследования обнаружены два существенных факта: увеличение содержания ФНО-α в слюне при выполнении когнитивных функций и снижение успешности выполнения когнитивных функций с ростом этого цитокина. Аналогичные результаты были получены ранее в отношении ИЛ-1β и ИЛ-6 [11]. Центральный механизм реализации этой закономерности включает перестройку салиентной сети: появление дополнительного числа негативных корреляций внутри коннективной организации салиентной нейросети правого полушария. Эта часть сети, имея своим источником переднюю часть островка, распространяет свое влияние на оба полушария.
Салиентная сеть занимает особое место среди нейронных сетей, она в основном состоит из передней островковой части и дорсальной передней поясной коры. В настоящей работе часть салиентной сети, центральный узел которой находился в переднем островке правого полушария, была наиболее чувствительна к изменению содержания ФНО-α. Салиентная нейросеть способствует осуществлению множества сложных функций мозга, включая общение, социальное поведение и самосознание, посредством интеграции сенсорной, эмоциональной и когнитивной информации [19].
Изменение связности салиентной сети под влиянием ФНО-α, возможно, происходит за счёт подавления длительной потенциации [20, 21]. Это может быть одним из главных механизмов влияния ФНО-α на нервные клетки. В настоящей работе показано, что увеличение ФНО-α связано с затруднением перехода информации из кратковременной памяти в долговременную, поскольку снижается показатель отсроченного воспроизведения слов и уменьшается соотношение между отсроченным и непосредственным воспроизведением.
Рецепторы к ФНО-α экспрессируются в нейронах и глиальных клетках по всей ЦНС. Благодаря действию своих рецепторов ФНО-α может по-разному (нейропротективно и нейротоксически) воздействовать на нейроны. ФНО-α играет стимулирующую роль в эксайтотоксичности глутамата, как прямо, так и косвенно, ингибируя глиальные переносчики глутамата на астроцитах. Кроме того, ФНО-α оказывает прямое влияние на передачу глутамата, например, увеличивая экспрессию в синапсах рецепторов AMPA — разновидность рецепторов глутамата, которые участвуют в передаче быстрых возбуждающих сигналов между нейронами [21].
В работе также показано заметное увеличение ФНО-α у части больных с ХИМ старше 60 лет. Это может быть связано с усилением процессов воспаления из-за сосудистых нарушений в этот период. Возрастное увеличение уровня ФНО-α отмечали многие авторы, некоторые выявили отрицательную линейную связь между уровнем этого цитокина и объёмом серого вещества [22].
Работ по исследованию влияния воспалительных цитокинов на коннективность в нейросетях мозга относительно немного. Как правило, авторы отмечают снижение коннективности при развитии воспалительных процессов. В частности, в работе [23] у больных депрессией найдена в сети вентрального внимания и других сетях негативная взаимосвязь маркеров воспаления (С-реактивного белка и ИЛ-6) с показателями коннективности.
Заключение
После выполнения когнитивных тестов у больных с ХИМ в слюне увеличивалось содержание ФНО-α, более значительно — у пациентов старше 60 лет. Уровень ФНО-α в слюне коррелирует с отсроченным воспроизведением слов и отношением отсроченного воспроизведения к непосредственному при выполнении теста Лурия на вербальную память. Изменение содержания ФНО-α в слюне влияло на коннективность нейросетей покоя, главным образом на салиентную сеть. При более высоком уровне ФНО-α наблюдалось большее число негативных корреляций, чем при более низких значениях (< 80 пг/мл). Коннективности, чувствительные к ФНО-α, коррелировали с когнитивными тестами, не только мнестическими, но и с баллами по МоСа, вербальной беглостью и др. Механизмы влияния ФНО-α на организацию нейронных сетей могут быть связаны как с действием этого цитокина на длительную потенциацию, так и с его влиянием на глутаматергическую передачу.
About the authors
Vitaliy F. Fokin
Research Center of Neurology
Author for correspondence.
Email: fvf@mail.ru
ORCID iD: 0000-0003-2915-9384
D. Sci. (Biol.), Prof., principal researcher, Laboratory of age-related physiology of the brain and neurocybernetics, Brain Research Institute
Russian Federation, MoscowАlla A. Shabalina
Research Center of Neurology
Email: ashabalina@yandex.ru
ORCID iD: 0000-0001-9604-7775
D. Sci. (Med.), leading researcher, Head, Department of laboratory diagnostics, Institute of Clinical and Preventive Neurology
Russian Federation, MoscowNatalia V. Ponomareva
Research Center of Neurology
Email: ponomare@yandex.ru
ORCID iD: 0000-0002-9771-0775
D. Sci. (Med.), principal researcher, Head, Laboratory of age-related physiology of the brain and neurocybernetics, Brain Research Institute
Russian Federation, MoscowRodion N. Konovalov
Research Center of Neurology
Email: krn_74@mail.ru
ORCID iD: 0000-0001-5539-245X
Cand. Sci. (Med.), senior researcher, Department of radiation diagnostics, Institute of Clinical and Preventive Neurology
Russian Federation, MoscowRoman B. Medvedev
Research Center of Neurology
Email: medvedev-roman@yandex.ru
ORCID iD: 0000-0003-3887-0418
Cand. Sci. (Med.), researcher, 1st Neurological department, Institute of Clinical and Preventive Neurology
Russian Federation, MoscowOlga V. Lagoda
Research Center of Neurology
Email: olga.lagoda@gmail.com
ORCID iD: 0000-0001-7562-4991
Cand. Sci. (Med.), senior researcher, 1st Neurological department, Institute of Clinical and Preventive Neurology
Russian Federation, MoscowMarina V. Krotenkova
Research Center of Neurology
Email: krotenkova_mrt@mail.ru
ORCID iD: 0000-0003-3820-4554
D. Sci. (Med.), Head, Department of radiation diagnostics, Institute of Clinical and Preventive Neurology
Russian Federation, MoscowMarine M. Tanashyan
Research Center of Neurology
Email: m_tanashyan2004@mail.ru
ORCID iD: 0000-0002-5883-8119
Dr. Sci. (Med.), Professor, Corr. Member of the Russian Academy of Sciences, Deputy director of science, Head, 1st Neurology department, Institute of Clinical and Preventive Neurology
Russian Federation, MoscowReferences
- Суслина З.А., Иллариошкин С.Н., Пирадов М.А. Неврология и нейронауки — прогноз развития. Анналы клинической и экспериментальной неврологии. 2007; 1(1): 5–9. Suslina Z.A., Illarioshkin S.N., Piradov M.A. Neurology and neurosciences — development forecast. Annals of Clinical and Experimental Neurology. 2007; 1(1): 5–9. (In Russ.)
- Page M.J., Bester J., Pretorius E. The inflammatory effects of TNF-α and complement component 3 on coagulation. Sci Rep8. 2018; 8(1): 1812. doi: 10.1038/s41598-018-20220-8
- Popa C., Netea M.G., van Riel P.L.C.M. et al. The role of TNF-α in chro-nic inflammatory conditions, intermediary metabolism, and cardiovascular risk. J. Lipid Res. 2007; 48(4): 751–762. doi: 10.1194/jlr.R600021-JLR200
- Vlahopoulos S., Boldogh I., Casola A., Brasier A.R. Nuclear factor-kappa B-dependent induction of interleukin-8 gene expression by tumor necrosis factor alpha: evidence for an antioxidant sensitive activating pathway distinct from nuclear translocation. Blood. 1999; 94(6): 1878–1789.
- Johnson J.D., Barnard D.F., Kulp A.C., Mehta D.M. Neuroendocrine regu- lation of brain cytokines after psychological stress. J. Endocr. Soc. 2019; 3(7): 1302–1320. doi: 10.1210/js.2019-00053
- Kim Y.K., Maes M. The role of the cytokine network in psychological stress. The role of the cytokine network in psychological stress. Acta Neuropyschiatr. 2003; 15(3): 148–155. doi: 10.1034/j.1601-5215.2003.00026.x
- Pan W., Kastin A.J. Tumor necrosis factor and stroke: role of the blood-brain barrier. Prog. Neurobiol. 2007; 83(6): 363–374. doi: 10.1016/j.pneurobio. 2007.07.008
- Steensberg A., Dalsgaard M.K., Secher N.H., Pedersen B.K. Cerebrospinal fluid IL-6, HSP72, and TNF-alpha in exercising humans. Brain Behav. Immun. 2006; 20(6): 585–589. doi: 10.1016/j.bbi.2006.03.002
- Bourgognon JM, Cavanagh J. The role of cytokines in modulating learning and memory and brain plasticity. Brain Neurosci. Adv. 2020; 4: 2398212820979802. doi: 10.1177/2398212820979802
- McAfoose J., Baune B.T. Evidence for a cytokine model of cognitive function. Neurosci. Biobehav. Rev. 2009; 33(3): 355–366. doi: 10.1016/j.neubiorev.2008.10.005
- Фокин В.Ф., Шабалина А.А., Пономарева Н.В. и др. Изменчивость интерлейкинов при когнитивной нагрузке у больных с хронической ишемией мозга. Вестник РГМУ. 2020; (6): 94–100. Fokin V.F., Shabalina A.A., Ponomareva N.V. et al. Interleukin dynamics during cognitive stress in patients with chronic cerebral ischemia. Vestnik RGMU. 2020; (6): 94–100. (In Russ.) doi: 10.24075/vrgmu.2020.085
- Танашян М.М., Максимова М.Ю., Домашенко М.А. Дисциркуляторная энцефалопатия. Путеводитель врачебных назначений. 2015; 2: 1–25. Tanashyan M.M., Maksimova M.Yu., Domashenko M.A. Encephalopathy. Guide to medical appointments. 2015; 2: 1–25. (In Russ.)
- Батышева Т.Т., Артемова И.Ю., Вдовиченко Т.В. Хроническая ишемия мозга: механизмы развития и современное комплексное лечение. Consilium medicum. 2004; 3 (4). Batysheva T.T., Artemova I.Yu., Vdovichenko T.V. Hronicheskaya ishemiya mozga: mekhanizmy razvitiya I sovremennoe kompleksnoe lechenie. Consilium medicum. 2004; 3 (4). (In Russ.)
- Захаров В.В., Локшина А.Б. Когнитивные нарушения при дисциркуляторной энцефалопатии. РМЖ. 2009; (20): 1325–1331. Zakharov V.V., Lokshina A.B. Cognitive impairment in dyscirculatory encephalopathy. RMZh. 2009; (20): 1325–1331. (In Russ.)
- Morris J.C. Clinical dementia rating: a reliable and valid diagnostic and staging measure for dementia of the Alzheimer type. Int. Psychogeriatric. 1997; (9 Suppl 1): 173–176. doi: 10.1017/s1041610297004870
- Whitfield-Gabrieli S., Nieto-Castanon A. Conn: a functional connectivity toolbox for correlated and anticorrelated brain networks. Brain Connect. 2012; 2(3): 125–141. doi: 10.1089/brain.2012.0073.
- Лурия А.Р. Лекции по общей психологии. СПб.; 2006; 320 с. Luriya A.R. Lectures on General Psychology. St. Petersburg; 2006; 320 p. (In Russ.)
- La Fratta I., Tatangelo R., Campagna G. et al. The plasmatic and salivary levels of IL-1β, IL-18 and IL-6 are associated to emotional difference during stress in young male. Sci. Rep. 2018; 8(1): 3031. doi: 10.1038/s41598-018-21474-y
- Seeley W.W. The salience network: a neural system for perceiving and responding to homeostatic demands. J. Neurosci. 2019; 39(50): 9878–9882. doi: 10.1523/JNEUROSCI.1138-17.2019
- Cunningham A.J., Murray C.A., O’Neill L.A. et al. Interleukin-1 beta (IL-1 beta) and tumour necrosis factor (TNF) inhibit long-term potentiation in the rat dentate gyrus in vitro. Neurosci. Lett. 1996; 203(1): 17–20. doi: 10.1016/0304-3940(95)12252-4
- Pickering M., Cumiskey D., O’Connor J.J. Actions of TNF-alpha on glutamatergic synaptic transmission in the central nervous system. Exp. Physiol. 2005; 90(5): 663–670. doi: 10.1113/expphysiol.2005.030734
- Lindbergh C.A., Casaletto K.B., Staffaroni A.M. et al. Systemic tumor necrosis factor-alpha trajectories relate to brain health in typically aging older adults. J. Gerontol. A BiolSci. Med. Sci. 2020; 75(8): 1558–1565. doi: 10.1093/gerona/glz209
- Aruldass A.R., Kitzbichler M.G., Morgan S.E. et al. Dysconnectivity of a brain functional network was associated with blood inflammatory markers in depression. Brain Behav. Immun. 2021; 98: 299–309. doi: 10.1016/j.bbi.2021.08.226









