Expression of GABAergic and glutamatergic neurons after olfactory stimulation in the mouse piriform cortex during postnatal development
- Authors: Panina Y.A.1, Uspenskaya Y.A.2, Lopatina O.L.3, Salmina A.B.1,4
-
Affiliations:
- Research Institute of Molecular Medicine and Pathobiochemistry, Prof. V.F. Voino-Yasenetsky Krasnoyarsk State Medical University
- Krasnoyarsk State Agrarian University
- Center for collective use Molecular & Cell Technologies, Prof. V.F. Voino-Yasenetsky Krasnoyarsk State Medical University
- Research Center of Neurology
- Issue: Vol 16, No 1 (2022)
- Pages: 32-38
- Section: Original articles
- Submitted: 26.03.2022
- Accepted: 26.03.2022
- Published: 15.01.2022
- URL: https://annaly-nevrologii.com/pathID/article/view/834
- DOI: https://doi.org/10.54101/ACEN.2022.1.4
- ID: 834
Cite item
Full Text
Abstract
Introduction. The control of the survival and differentiation of immature neurons in the piriform cortex of rodents, which can transform into GABAergic and/or glutamatergic neurons under the influence of olfactory stimuli, is an important factor for prevention of neurological dysfunction.
The aim of the study was to assess the expression of GABAergic and glutamatergic neurons after olfactory stimulation (OS) in the mouse piriform cortex during postnatal development.
Materials and methods. The study was carried out on CD1 male mice aged 2 (n = 20; group Р2), 21 (n = 20; group Р21) and 60 (n = 20; group Р60) days. The mice were presented with olfactory stimuli, and brain tissue was collected for immunohistochemical analysis 2 hours, 24 hours and 7 days later, to assess glutamic acid decarboxylase 67 (GAD67) and vesicular glutamate transporter 1 (VGlut1) expression.
Results. OS in the group P2 animals increased VGlut1 expression in the first 2 hours after OS, followed by a return to baseline level by day 7, while GAD67 expression showed no significant changes. The animals in group P21 showed increased expression of VGlut1 and GAD67 two hours after OS, followed by a significant decrease. Expression of both molecules demonstrated a statistically significant increase in the group P60 animals 24 hours after OS, and remained at the same level on day 7 (GAD67) or returned to baseline levels (VGlut1).
Conclusion. OS increases the number of GABAergic (GAD67+) и glutamatergic (VGlut1+) neurons in the piriform cortex (P60). The predominance of glutamatergic effects is a possible mechanism for associative memory cell recruitment.
Full Text
Введение
В дополнение к известным механизмам нейрогенеза во взрослом мозге, связанным с активностью нейрогенных ниш, накапливаются экспериментальные данные о возможной роли в поддержании процессов генерации новых нейронов из активированной астроглии [1] и из нейронов с пролонгированной незрелостью. Они формируются у мышей с 11-го дня эмбрионального развития и в постнатальном периоде могут дифференцироваться до зрелых нейронов, не претерпевая пролиферации [2]. Хотя есть вероятность того, что при повреждении головного мозга эти постмитотические нейроны могут вступать в клеточный цикл и генерировать новые клетки [3], доминирует точка зрения о том, что отсутствие митотической активности позволяет дифференцировать эти клетки от DCX+-нейронов (нейронов, экспрессирующих даблкортин), участвующих в нейрогенезе [4].
Существуют весьма обоснованные предположения о том, что эта сохраняющаяся на протяжении всей жизни вне нейрогенных ниш популяция незрелых нейронов (non-newly generated immature neurons, nng-INs) выступает в качестве клеточного резерва, играющего существенную роль в реализации феномена нейропластичности, например, при обучении и запоминании [5]. Вместе с тем показано, что по мере развития и старения организма часть nng-INs трансформируется в глутаматергические возбуждающие нейроны, которые интегрируются в синаптические ансамбли [6] или в ГАМКергические интернейроны [7]. Пока не ясно, насколько этот процесс контролируется внешними стимулами (например, обучением) или является спонтанно реализуемым и обусловленным механизмами развития головного мозга, регулируемым нейромедиаторами, например, глутаматом и дофамином [8, 9].
В этом контексте особое внимание привлекает пириформная кора (ПК), которая представляет собой аутоассоциативную сеть, ответственную за формирование обонятельной памяти и распознавание обонятельных стимулов. Её свойства обусловлены совокупностью пирамидных нейронов, активность которых определяется глутаматергической синаптической передачей, взаимодействующих не только друг с другом, но и с клетками других регионов головного мозга [10]. Кроме того, в ПК регистрируется наличие nng-INs [11]. Показано, что nng-INs ПК могут быть ответственны у млекопитающих (например, у грызунов) за восприятие обонятельных стимулов, причём хроническая депривация обонятельных стимулов приводит к редукции числа nng-Ins в ПК [12].
Примечательно, что нарушение восприятия запахов — важный и ранний признак многих видов хронической нейродегенерации (болезнь Альцгеймера, болезнь Паркинсона), а также некоторых вирусных инфекций, протекающих с поражением головного мозга [13]. Поэтому изучение вклада nng-INs в процессы нейропластичности актуально с точки зрения изучения не только механизмов развития головного мозга, но и процессов его повреждения. Мы предположили, что nng-INs могут играть важную роль в развитии так называемого феномена раннего программирования, который может быть инициирован стрессом раннего периода жизни, что приводит к искажённой нейропластичности и повышенной вероятности развития депрессии, нейродегенерации в отдалённые периоды онтогенеза [14]. Исходя из этого реализация нашего исследования базируется на научной гипотезе, заключающейся в том, что nng-INs ПК грызунов способны трансформироваться в ГАМКергические и/или глутаматергические нейроны при действии обонятельных стимулов. При этом управление процессами выживания и дифференцировки нейронов с пролонгированной незрелостью в кортикальных зонах головного мозга важно для предупреждения развития неврологической дисфункции при нарушениях развития головного мозга и при физиологическом старении.
Целью настоящей работы стала оценка экспрессии ГАМКергических и глутаматергических нейронов после обонятельной стимуляции (ОС) в ПК мышей в динамике постнатального развития.
Материалы и методы
В эксперименте использованы мыши-самцы линии CD1 3 возрастных групп по 20 особей в группе: 2 (группа Р2), 21 (группа Р21) и 60 (группа Р60) дней постнатального развития. Животных содержали в клетках со свободным доступом к воде и корму при постоянной температуре 21 ± 1°С и регулярном световом цикле 12 ч день/12 ч ночь. Исследования на животных проводили в соответствии с соблюдением принципов гуманности, изложенных в Директиве Европейского сообщества (2010/63/ЕС).
Мышам был предъявлен однократно каскад обонятельных стимулов:
2 мин — экспозиция чистой воды
↓
1 мин — перерыв
↓
2 мин — экспозиция арахисового масла
↓
1 мин — перерыв
↓
2 мин — экспозиция арахисового масла
↓
1 мин — перерыв
↓
2 мин — экспозиция подстила из-под крыс
↓
1 мин — перерыв
↓
2 мин — экспозиция подстила из-под крыс.
Контрольная группа — интактные животные соответствующего возраста.
Через 2, 24 ч и 7 сут произведён забор тканей головного мозга для иммуногистохимического анализа, в каждой временнóй точке — 5 животных.
Забор тканей головного мозга мышей проводили под анестезией — 100–120 мг/кг хлоргидрата («Sigma-Aldrich») интраперитонеально. Фиксацию тканей головного мозга мыши осуществляли посредством транскардиальной перфузии с помощью 4% параформальдегида в забуференном фосфатом физиологическом растворе. Головной мозг извлекали, фиксировали в течение ночи в 4% параформальдегида и подвергали криозащите в фосфатно-солевом буфере, содержащем 20% сахарозы. Головной мозг разрезали на секции толщиной 50 мкм с использованием замораживающего микротома.
Оценку экспрессии молекул-маркеров — глутаматдекарбоксилазы 67 (GAD67) и везикулярного транспортёра глутамата 1 (VGlut1) — проводили на свободно плавающих срезах головного мозга согласно стандартным протоколам прямого и непрямого методов иммуногистохимии (иммунофлюоресцентный вариант). Коэкспресссию антигенов анализировали согласно стандартным протоколам одновременного или последовательного комбинированного окрашивания препарата (иммунофлюоресцентный вариант). Были использованы первичные антитела к GAD67 (ab75712, «Abcam») и VGlut1 (ab77822, «Abcam»). Вторичные антитела — антитела козы к антителам курицы, меченные Alexa 647 (ab150171, «Abcam»), ослиные антитела к антителам кролика, меченные Alexa 647 (ab150073, «Abcam»). Приготовление и иммуногистохимическую окраску свободно плавающих срезов выполняли по стандартному протоколу. В качестве финального этапа иммуногистохимической окраски во всех случаях наносили 30 мкл среды для заключения срезов (70% глицерина в фосфатно-солевом буфере + DAPI для окрашивания ядер клеток), на препарат помещали покровное стекло. Срезы, окрашенные на GAD67, VGlut1, изучали под полностью автоматизированным конфокальным лазерным сканирующим микроскопом с водной иммерсией «Olympus FV10i-W» («Olympus»). Подсчёт клеток проводили в 5 полях зрения на каждом срезе. От каждого животного было отобрано 5 срезов для анализа. Таким образом, выборка для иммуногистохимического анализа составила 25 образцов.
Статистическую обработку результатов проводили с использованием методов дисперсионного анализа (однофакторный ANOVA) с последующим post-hoc тестом Бонферрони. Результаты представлены в виде M ± σ, где М — среднее значение, σ — стандартное отклонение. Статистически значимыми считали различия при p < 0,05 и менее. Анализ изображений проводили с применением пакета программного обеспечения «ImageJ v.1.47».
Результаты
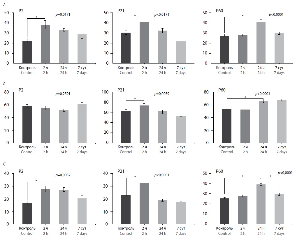
В динамике постнатального развития, в том числе после ОС, базальный уровень экспрессии VGlut1 и GAD67 в клетках ПК увеличивался (рис. 1), но статистически значимо не менялся в период от P2 к P60 (таблица; рис. 2).
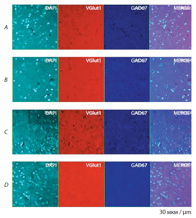
Рис. 1. Экспрессия VGlut1 и GAD67 на клетках ПК животных (Р60) в группе контроля (А), экспериментальных группах через 2 ч (В), 24 ч (С) и 7 дней (D) после ОС. / Fig. 1. VGlut1 and GAD67 expression on the piriform cortex cells of animals (Р60) in the control group (А) and experimental groups, 2 hours (В), 24 hours (С) and 7 days (D) after OS.
Базальный уровень экспрессии VGlut1 и GAD67 (%) в клетках ПК в различные периоды онтогенеза, M ± σ / Baseline level of VGlut1 and GAD67 (%) expression in the piriform cortex cells during various ontogenetic stages, M ± σ
Группа Group | VGlut1+ | GAD67+ | VGlut1+GAD67+ |
Р2 | 23 ± 4 | 58 ± 4 | 16 ± 4 |
Р21 | 29 ± 3 | 58 ± 3 | 22 ± 3 |
Р60 | 31 ± 3 | 54 ± 2 | 24 ± 2 |
Рис. 2. Количество клеток (в %), экспрессирующих VGlut1 (А), GAD67 (В) и коэкспрессирующих GAD67 и VGlut1 (С) в ПК животных в группе контроля, экспериментальных группах через 2 ч, 24 ч и 7 дней после ОС. В каждой группе 5 животных, от каждого животного 5 срезов, 5 полей зрения. В выборке 25 образцов. *р < 0,01 (однофакторный ANOVA с последующим post-hoc тестом Бонферрони). / Fig. 2. Number of cells (%) expressing VGlut1 (А), GAD67 (В) and coexpressing GAD67 and VGlut1 (С) in the piriform cortex of animals in the control and experimental groups, 2 hours, 24 hours and 7 days after OS. Five animals, 5 sections from each animal, 5 fields of view in each group. The sample contained 25 specimens. *р < 0.01 (one-way ANOVA with a subsequent post-hoc Bonferroni test).
ОС у животных группы P2 статистически значимо увеличивает экспрессию VGlut1 в первые 2 ч после ОС (с 23 ± 4 до 38 ± 6%; р < 0,01) с последующим возвращением к исходному уровню к 7-м суткам, тогда как экспрессия GAD67 практически не изменяется (рис. 2). У животных группы P21 регистрируются однонаправленные изменения экспрессии VGlut1 (с 29 ± 3 до 41 ± 4%; р < 0,01) и GAD67 (с 58 ± 3 до 72 ± 3%; р < 0,01) увеличение через 2 ч после ОС с последующим значительным снижением (рис. 2). Очевидно, что этот эффект вряд ли обусловлен локальными изменениями активности незрелых нейронов, т.к. регистрируется независимо от изменения их количества, которое априори уменьшено в связи с зарегистрированным «физиологическим» снижением (без ОС) к 21-м суткам постнатального развития.
У животных группы P60 экспрессия обеих молекул достоверно увеличивается через 24 ч после ОС (с 54 ± 2 до 66 ± 2%), оставаясь к 7-м суткам (63 ± 2%) на таком же уровне (для GAD67) или снижаясь до исходных значений (для VGlut1: базальный уровень — 31 ± 3%; через 24 ч после ОС — 49 ± 2%; р < 0,01; через 7 дней — 32 ± 2%; рис. 2). Кроме того, по нашим данным, именно P60 характеризуется наличием важного эффекта ОС, вероятно, связанного с активностью локально представленных незрелых нейронов: к 24 ч после ОС регистрируется увеличение количества GAD67+- и VGlut1+-иммунопозитивных (коэкспрессирующих) нейронов с 25 ± 2 до 38 ± 2% (рис. 2, С).
Обсуждение
Развитие обонятельного обучения и памяти соответствует критическим периодам развития центральной нервной системы, маркирует собой некоторые ключевые механизмы пластичности головного мозга [15], в том числе в контексте инициации нейрогенеза и формирования клеток с определённым экспрессионным профилем [16], и находится в фокусе исследований вовлечённости различных регионов головного мозга в реализацию этого феномена у человека и животных [17].
В основе обучения и формирования памяти, связанной с распознаванием обонятельных стимулов грызунами, лежит вовлечение и реорганизация нейронов ПК, становящихся так называемыми клетками ассоциативной памяти, что соответствует увеличению глутаматергических влияний и подавлению ГАМКергических влияний в ПК после ОС [18]. Однако есть и альтернативная точка зрения о том, что в зрелой ПК доминируют ингибиторные эффекты, что связано не с добавлением новых ГАМКергических нейронов, а с изменением характера синаптических связей [19]. Известно, что в ПК GAD67-иммунопозитивные нейроны являются ГАМКергическими и, соответственно, ингибиторными, а VGlut1 — возбуждающими глутаматергическими [20], поэтому мы оценили соотношение двух типов клеток — GAD67/ VGlut1 — в ПК без ОС и после ОС. Мы обнаружили, что в отсутствие ОС по мере развития ПК это соотношение прогрессивно снижается от 2,6 до 1,6 (от P2 к P60), что соответствует подавлению тормозящих эффектов и увеличению влияния возбуждающих эффектов вследствие изменений в синаптической пластичности [21]. После ОС снижение этого соотношения было характерно для 2–24 ч после ОС в группе P2, а увеличение — для 7 сут после ОС в группах P21, P60. Таким образом, ОС увеличивает возбуждающие эффекты в ПК в динамике постнатального развития.
Известно, что ГАМКергические интернейроны, активируемые при ОС, генерируются в субвентрикулярной зоне и далее мигрируют до обонятельных луковиц, экспрессируя глутаматдекарбоксилазу [22]. Особенности взаимосвязи ПК с обонятельными луковицами через латеральный обонятельный тракт и наличие прямой миграции нейробластов из субвентрикулярной нейрогенной ниши в ПК [23] позволяют предполагать, что ОС у животных группы Р60, но не ранее, способствует мобилизации нейробластов субвентрикулярной зоны одновременно в ПК и в обонятельные луковицы, что также соответствует времени достижения высокого уровня пластичности в этих структурах [21]. Схожие данные были получены при изучении динамики изменения экспрессии GAD67 (но на более ранних сроках развития) во вновь образованных нейронах ПК грызунов при нахождении их в среде, обогащённой запахами, в рамках формирования модели обогащённой среды для индукции пластичности головного мозга [24]. Коль скоро обогащённая многостимульная среда рассматривается в качестве значимого фактора, увеличивающего пластичность головного мозга за счёт стимуляции процессов нейрогенеза [25], применение ОС может иметь позитивный эффект для купирования неблагоприятных последствий стресса раннего периода жизни, в том числе в контексте формирования феномена раннего программирования, увеличивающего риск нейродегенерации в отдалённые периоды онтогенеза [26].
Не менее интересны полученные нами результаты анализа коэкспрессии VGlut1 и GAD67 в клетках ПК. Известно, что совместная экспрессия VGlut1 и GAD67 может встречаться в ГАМКергических и глутаматергических нейронах, которые, по мнению ряда авторов, могут секретировать два типа нейротрансмиттеров [27–29]. Интересно, что в группах P21, P60 количество таких нейронов, коэкспрессирующих VGlut1 и GAD67, в ПК после ОС было обратным числу присутствующих nng-INs в динамике от 2 ч до 7 сут после ОС (рис. 2). Связано ли это с дифференцировкой nng-INs в клетки, способные секретировать два нейротрансмиттера, требует дополнительного изучения.
Заключение
ОС увеличивает количество ГАМКергических (GAD67+) и глутаматергических (VGlut1+) нейронов в ПК (группа P60). Преобладание глутаматергических эффектов является возможным механизмом вовлечения клеток в формирование и реализацию ассоциативной памяти.
Получены новые фундаментальные данные об особенностях активации и трансформации нейронов in vivo (оцениваемые по изменению экспрессии GAD67, VGlut1) с пролонгированной незрелостью в ГАМКергические и глутаматергические зрелые возбуждающие нейроны в контексте опыт-индуцированной нейропластичности у животных контрольной группы разных возрастных периодов.
About the authors
Yulia A. Panina
Research Institute of Molecular Medicine and Pathobiochemistry, Prof. V.F. Voino-Yasenetsky Krasnoyarsk State Medical University
Author for correspondence.
Email: annaly-nevrologii@neurology.ru
ORCID iD: 0000-0002-8675-3489
Cand. Sci. (Med.), researcher
Russian Federation, KrasnoyarskYulia A. Uspenskaya
Krasnoyarsk State Agrarian University
Email: annaly-nevrologii@neurology.ru
ORCID iD: 0000-0003-4386-9753
D. Sci. (Biol.), Associate Professor, Professor of the Institute of Applied Biotechnologies and Veterinary Medicine
Russian Federation, KrasnoyarskOlga L. Lopatina
Center for collective use Molecular & Cell Technologies, Prof. V.F. Voino-Yasenetsky Krasnoyarsk State Medical University
Email: annaly-nevrologii@neurology.ru
ORCID iD: 0000-0002-7884-2721
D. Sci. (Biol.), Associate Professor, leading researcher
Russian Federation, KrasnoyarskAlla B. Salmina
Research Institute of Molecular Medicine and Pathobiochemistry, Prof. V.F. Voino-Yasenetsky Krasnoyarsk State Medical University; Research Center of Neurology
Email: annaly-nevrologii@neurology.ru
ORCID iD: 0000-0003-4012-6348
D. Sci. (Med.), Prof., chief researcher, Head, Laboratory of experimental brain cytology, Department of brain sciences, chief researcher
Russian Federation, Krasnoyarsk; MoscowReferences
- Cassé F., Richetin K., Toni N. Astrocytes’ contribution to adult neurogenesis in physiology and Alzheimer’s disease. Front Cell Neurosci. 2018;12:432. doi: 10.3389/fncel.2018.00432. PMID: 30538622.
- Berg D.A., Su Y., Jimenez-Cyrus D. et al. A common embryonic origin of stem cells drives developmental and adult neurogenesis. Cell. 2019;177(3):654.e15–668.e15. doi: 10.1016/j.cell.2019.02.010. PMID: 30929900.
- Chareyron L.J., Amaral D.G., Lavenexa P. Selective lesion of the hippocampus increases the differentiation of immature neurons in the monkey amygdala. Proc Natl Acad Sci USA. 2016;113(50):14420–14425. doi: 10.1073/pnas.1604288113. PMID: 27911768.
- Lietzau G., Nyström T., Wang Z. et al. Western diet accelerates the impairment of odor-related learning and olfactory memory in the mouse. ACS Chem Neurosci. 2020;11(21):3590–3602. doi: 10.1021/acschemneuro.0c00466. PMID: 33054173.
- La Rosa C., Parolisi R., Bonfanti L. Brain structural plasticity: from adult neurogenesis to immature neurons. Front Neurosci. 2020;14:75. doi: 10.3389/fnins.2020.00075. PMID: 32116519.
- Rotheneichner P., Belles M., Benedetti B. et al. Cellular plasticity in the adult murine piriform cortex: continuous maturation of dormant precursors into excitatory neurons. Cereb Cortex. 2018;28(7):2610–2621. doi: 10.1093/cercor/bhy087. PMID: 29688272.
- Benedetti B., Dannehl D., König R. et al. Functional integration of neuronal precursors in the adult murine piriform cortex. Cereb Cortex. 2020;30(3):1499–1515. doi: 10.1093/cercor/bhz181. PMID: 31647533.
- Nacher J., Alonso-Llosa G., Rosell D., McEwen B. PSA-NCAM expression in the piriform cortex of the adult rat. Modulation by NMDA receptor antagonist administration. Brain Res. 2002;927(2):111–121. doi: 10.1016/s0006-8993(01)03241-3. PMID: 11821005.
- Coviello S., Gramuntell Y., Castillo-Gomez E., Nacher J. Effects of dopamine on the immature neurons of the adult rat piriform cortex. Front Neurosci. 2020;14:574234. doi: 10.3389/fnins.2020.574234. PMID: 33122993.
- Meissner-Bernard C., Dembitskaya Y., Venance L., Fleischmann A. Encoding of odor fear memories in the mouse olfactory cortex. Curr Biol. 2019;29(3):367–380.e4. doi: 10.1016/j.cub.2018.12.003. PMID: 30612908.
- Rubio A., Belles M., Belenguer G. et al. Characterization and isolation of immature neurons of the adult mouse piriform cortex. Dev Neurobiol. 2016;76(7):748–763. doi: 10.1002/dneu.22357. PMID: 26487449.
- He X., Zhang X.-M., Wu J. et al. Olfactory experience modulates immature neuron development in postnatal and adult guinea pig piriform cortex. Neuroscience. 2014; 259:101–112. doi: 10.1016/j.neuroscience.2013.11.056. PMID: 24316472.
- Bahuleyan B., Singh S. Olfactory memory impairment in neurodege- nerative diseases. J Clin Diagn Res. 2012;6(8):1437–1441. doi: 10.7860/JCDR/2012/3408.2382. PMID: 23205370.
- Van den Bergh B.R.H., Dahnke R., Mennes M. Prenatal stress and the developing brain: risks for neurodevelopmental disorders. Dev Psychopathol. 2018;30(3):743–762. doi: 10.1017/S0954579418000342. PMID: 30068407.
- Mouly A.M., Sullivan R. Memory and plasticity in the olfactory system: from infancy to adulthood. In: Menini A. (eds.). The neurobiology of olfaction. Boca Raton, 2010:367–392.
- Van der Linden C.J., Gupta P., Bhuiya A.I. et al. Olfactory stimulation regu-lates the birth of neurons that express specific odorant receptors. Cell Reports. 2020;33(1):108210. doi: 10.1016/j.celrep.2020.108210. PMID: 33027656.
- Bartocci M., Winberg J., Ruggiero C. et al. Activation of olfactory cortex in newborn infants after odor stimulation: a functional near-infrared spectroscopy study. Pediatr Res. 2000;48(1):18–23. doi: 10.1203/00006450-200007000-00006. PMID: 10879795.
- Liu Y., Gao Z., Chen C. et al. Piriform cortical glutamatergic and GABAergic neurons express coordinated plasticity for whisker-induced odor recall. Oncotarget. 2017;8(56):95719–95740. doi: 10.18632/oncotarget.21207. PMID: 29221161.
- Sarma A.A., Richard M.B., Greer C.A. Developmental dynamics of piriform cortex. Cereb Cortex. 2011;21(6):1231–1245. doi: 10.1093/cercor/bhq199. PMID: 21041199.
- Navarro D., Alvarado M., Figueroa A. et al. Distribution of GABAergic neurons and VGluT1 and VGAT immunoreactive boutons in the ferret (mustela putorius) piriform cortex and endopiriform nucleus. Comparison with visual areas 17, 18 and 19. Front Neuroanat. 2019;13:54. doi: 10.3389/fnana.2019. 00054. PMID: 31213994.
- Ben-Ari Y. The GABA excitatory/inhibitory developmental sequence: a personal journey. Neuroscience. 2014;279:187–219. doi: 10.1016/j.neuroscience.2014.08.001. PMID: 25168736.
- Plachez C., Puche A.C. Early specification of GAD67 subventricular derived olfactory interneurons. J Mol Histol. 2012;43(2):215–221. doi: 10.1007/s10735-012-9394-2. PMID: 22389027.
- Yuan T.F., Liang Y.X., So K.F. Occurrence of new neurons in the piriform cortex. Front Neuroanat. 2014;8:167. doi: 10.3389/fnana.2014.00167. PMID: 25653597.
- Bovetti S., Veyrac A., Peretto P. et al. Olfactory enrichment influences adult neurogenesis modulating GAD67 and plasticity-related molecules expression in newborn cells of the olfactory bulb. PLoS One. 2009;4(7):e6359. doi: 10.1371/journal.pone.0006359. PMID: 19626121.
- Komleva Iu.K., Salmina A.B., Prokopenko S.V. et al. Changes in structural and functional plasticity of the brain induced by environmental enrichment. Vestn Ross Akad Med Nauk. 2013;(6):39–48. doi: 10.15690/vramn.v68i6.672. PMID: 24340634.
- Lopatina O.L., Panina Y.A., Malinovskaya N.A., Salmina A.B. Early life stress and brain plasticity: from molecular alterations to aberrant memory and behavior. Rev Neurosci. 2020;32(2):131–142. doi: 10.1515/revneuro-2020-0077. PMID: 33550784.
- Danik M., Cassoly E., Manseau F. et al. Frequent coexpression of the vesicu- lar glutamate transporter 1 and 2 genes, as well as coexpression with genes for choline acetyltransferase or glutamic acid decarboxylase in neurons of rat brain. J Neurosci Res. 2005;81(4):506–521. doi: 10.1002/jnr.20500. PMID: 15983996.
- Hnasko T.S., Edwards R.H. Neurotransmitter corelease: mechanism and physiological role. Annu Rev Physiol. 2012;74:225–243. doi: 10.1146/annurev-physiol-020911-153315. PMID: 22054239.
- Zimmermann J., Herman M.A., Rosenmund C. Co-release of glutamate and GABA from single vesicles in GABAergic neurons exogenously expressing VGLUT3. Front Synaptic Neurosci. 2015;7:16. doi: 10.3389/fnsyn.2015.00016. PMID: 26441632.







