Inflammation and endothelial toxicity: pathogenetic aspects of central nervous system damage due to novel coronavirus disease
- Authors: Prokhorova M.V.1, Yakovlev A.I.1, Voznyuk I.A.1,2,3, Morozova E.M.1, Gogoleva E.A.1, Pivovarova L.P.1
-
Affiliations:
- St. Petersburg I.I. Dzhanelidze Research Institute of Emergency Care
- S.M. Kirov Military Medical Academy
- Pavlov First Saint Petersburg State Medical University
- Issue: Vol 16, No 3 (2022)
- Pages: 15-24
- Section: Original articles
- Submitted: 10.06.2022
- Accepted: 25.07.2022
- Published: 10.10.2022
- URL: https://annaly-nevrologii.com/pathID/article/view/854
- DOI: https://doi.org/10.54101/ACEN.2022.3.2
- ID: 854
Cite item
Full Text
Abstract
Introduction. There are inconsistent data on the incidence of stroke in patients with COVID-19, including acute cerebrovascular accidents in younger people without obligate risk factors, as well as the risk of SARS-CoV-2 infection in patients with acute stroke.
The aim of the study was to evaluate the features of concomitant stroke and COVID-19, and the role of inflammation and endothelial toxicity in cerebral damage.
Materials and methods. The study included 1,524 patients admitted to vascular clinics across St. Petersburg in 2020–2021, including 1,068 people with confirmed COVID-19 infection and 551 death cases. The patients were divided into four groups depending on disease severity, for clinical and laboratory data analysis.
Results. There were marked changes in the laboratory markers of inflammation, haemostasis, fibrinolysis, cytolysis, iron metabolism, cerebral ischaemia, proteolysis, immunodeficiency (lymphocytopenia, monocytopenia, elevated white blood cell count, elevated levels of C-reactive protein, fibrinogen, D-dimer, creatine kinase, ferritin and neutrophil elastase), with statistically significant differences when compared with patients without COVID-19. Changes in inflammatory markers in the first 24–72 hours provided the most information. A multifold increase (escalation) in the marker values was always correlated with an imminent adverse outcome and was usually accompanied by subsequent laboratory confirmation of COVID-19 infection or specific signs of viral pneumonia.
Conclusion. COVID-19 should be considered an independent risk factor for acute stroke, while the virus-induced thrombosis, manifesting in an escalation in inflammatory factors and products of endothelial damage, should be considered a pathogenetic link leading to cerebral tissue damage.
Full Text
Введение
11 марта 2020 г. Всемирная организация здравоохранения объявила о пандемии инфекции COVID-19. Первые сообщения из Китая указывали на то, что неврологические симптомы наблюдаются примерно у 36% госпитализированных пациентов с COVID-19 [1].
Уже в ранних публикациях ряд исследователей высказали предположение, что у пациентов с COVID-19 может быть выше риск ишемического инсульта, аналогично тому, как он повышается при другой инфекции дыхательных путей [2]. По некоторым данным, риск инсульта увеличивается на 3,20–7,82% в течение трех первых дней после других инфекций [3, 4]. В настоящее время опубликованы противоречивые данные о частоте инсульта у пациентов с COVID-19, в том числе о случаях развития острого нарушения мозгового кровообращения (ОНМК) у лиц молодого возраста и риске заражения SARS-CoV-2 среди пациентов с инсультом в анамнезе. По результатам крупного мета-анализа, частота встречаемости инсульта среди пациентов с COVID-19 колеблется от 0,9% до 2,7% [5].
К настоящему времени описаны четыре потенциальных механизма, способные приводить к повреждению нервной системы пациента с COVID-19 как самостоятельно, так и в сочетании друг с другом:
1) прямое вирусное повреждение нервной ткани, схожее с воздействием на центральную нервную систему (ЦНС) вируса простого герпеса, т.е. нейроинвазия. Коронавирус, проникая через эпителий горизонтальной части решётчатой кости, попадает в ЦНС у через нейрорецепторный аппарат обонятельного нерва и путём вирусной репликации индуцирует повреждение клеток ЦНС (нейротропизм);
2) иммунно-обусловленное повреждение, заключающееся в том, что внедрение вируса в клетки-мишени структур ЦНС (нейроглия, макрофаги, эндотелиоциты в составе гематоэнцефалического барьера) активирует неспецифические механизмы противовирусной защиты в виде продукции интерферонов и воспалительных клеточных медиаторов (цитокинов и хемокинов) с развитием иммунного ответа на антигены вируса в виде синтеза антител IgM и IgG. Вследствие чрезмерной клеточной активации в виде «цитокинового шторма» (интерлейкин (ИЛ)-1β, ИЛ-6, ИЛ-8, ССL2, ССL3, ССL5, СХСL10 и др.) цитокины могут проникать через гематоэнцефалический барьер и приводить к острой некротической энцефалопатии;
3) аутоиммунное повреждение структур нервной системы после перенесённой острой инфекции (острое воспалительное демиелинизирующее заболевание);
4) трансэндотелиальное поражение, которое заключается в развитии системных воспалительных реакций, приводящих к поражению нервной ткани опосредованно, вследствие расстройств макро- и микроциркуляции.
Патогенез воспаления сопряжён с активацией свёртывания крови, т.к. моноциты, макрофаги и фибробласты одновременно являются источниками как медиаторов воспаления, так и факторов свёртывания, а эндотелиоциты служат активной платформой для этих процессов. Эндотелиальная дисфункция является основной детерминантой нарушения микроциркуляции, приводящей к вазоконстрикции, ишемии, воспалению, прокоагулянтному состоянию, периваскулярному отёку и отёку тканей.
В центре актуальной дискуссии — несколько главных вопросов:
- является ли ОНМК дебютом или осложнением COVID-19?
- есть ли диагностические маркеры, отражающие влияние COVID-19 в острой стадии ОНМК на исход заболевания?
- можно ли считать COVID-19 самостоятельным фактором риска развития инсульта?
Одним из новых признаков тяжёлого COVID-19 является коагулопатия, которая была названа сепсис-индуцированной коагулопатией с высоким уровнем D-димера и повышенным уровнем фибриногена [6]. Сепсис-индуцированная коагулопатия ассоциируется с уменьшением протромбинового времени, увеличением содержания D-димера и тромбоцитопенией, но без гипофибриногенемии. Это связано с инфекционно-индуцированной системной воспалительной реакцией, эндотелиальной дисфункцией и микротромбозом с органной недостаточностью, но без кровоизлияния [7].
В исследовании P. Belani и соавт. сделана попытка оценить COVID-19 как независимый фактор риска сосудистых событий [8]. Исследование подтвердило статистически значимое увеличение частоты инсульта у пациентов с COVID-19 по сравнению с контрольной группой пациентов без инфекции, но имеющих такой же уровень риска осложнений сердечно-сосудистых заболеваний. Кроме того, есть данные, что ишемический инсульт может являться дебютом COVID-19 [9]. Выводы сделаны на основании 4 случаев возникновения инсульта у пациентов без ранее установленного диагноза COVID-19, у которых ПЦР-ана-лиз был взят в первый день госпитализации по поводу ОНМК.
Данные о возникновении ишемического инсульта в бассейне крупных церебральных артерий у пациентов молодого возраста (в исследовании — до 50 лет) также подтверждают значение COVID-19 в развитии острых цереброваскулярных событий [10]. При сравнении пациентов с инсультом в сочетании с COVID-19 и без неё в первой группе выявлено преобладание лиц с инсультом, обусловленным поражением крупного сосуда [11]. Однако точные патофизиологические механизмы, стоящие за этим, ещё предстоит определить. Большинство исследователей объясняют данные закономерности тромбообразования с точки зрения связи инфекционного (воспалительного) процесса и изменения систем гемостаза, а именно: развития протромботического состояния, изменения липидного обмена, агрегации тромбоцитов, изменения в эндотелиальной функции и нестабильности и разрыва бляшки [12]. По последним данным, связывание SARS-CoV-2 с рецептором ангиотензинпревращающего фермента 2, потенциально приводящее к «цитокиновому шторму», обусловленному повышенным уровнем ИЛ-6, является причиной гиперкоагуляционного состояния у пациентов с COVID-19. Влияние цитокинов на систему гемостаза было доказано на мышах, заражённых вирусом гриппа, у которых после селективного блокирования цитокинов уменьшался объём инфаркта и улучшались показатели выживаемости [13].
Широко обсуждается потенциальная возможность вируса SARS-CoV-2 повышать риск спонтанного внутримозгового кровоизлияния в сочетании с микротромбозом мелких проникающих артерий [14]. К повышенному риску геморрагического инсульта ведут системные реакции, ассоциированные с SARS-CoV-2: коагулопатия потребления, метаболический ацидоз или синдром диссеминированного внутрисосудистого свёртывания [15].
Учитывая все вышесказанное, можно выделить несколько лабораторных параметров, способных указать на наличие вероятной «инфекционной причины» инсульта: уровень ИЛ-6, повышение скорости оседания эритроцитов, уровня С-реактивного белка (СРБ), эритроцитов, фибриногена, D-димера [16].
Воспаление, связанное с COVID-19 и последующей активацией коагуляции, является вероятной причиной повышенного уровня D-димера. В ряде исследований доказано, что увеличение данного параметра связано со многими состояниями, отличными от тромбоэмболии [17]. Повышенные уровни D-димера при госпитализации или увеличение D-димера с течением времени связаны с повышенной смертностью при COVID-19 [18].
Как показали N. Tang и соавт., уровень фибриногена у всех пациентов был повышен при поступлении [19]. M. Ranucci и соавт. сообщили о 16 пациентах с COVID-19 с острым респираторным дистресс-синдромом, которым требовалась искусственная вентиляция лёгких и у которых были измерены уровни фибриногена, D-димера и ИЛ-6. Важный вывод из этого отчёта — повышенный уровень ИЛ-6 коррелировал с повышенным уровнем фибриногена, демонстрируя и подтверждая связь между воспалением и прокоагулянтными изменениями [16].
Таким образом, помимо стандартного диагностического поиска, включающего визуализацию мозга, внутричерепную и внекраниальную визуализацию сосудов, эхокардиографию, суточный мониторинг ЭКГ, дополнительную актуальную информацию может дать оценка маркеров коагуляции (D-димер, уровень фибриногена) и маркеров воспаления (СРБ и уровень ИЛ-6). Особенно это касается пациентов молодого возраста с криптогенным подтипом инсульта, не имеющих облигатных факторов риска развития инсульта. Рассматриваемые параметры помогут выявить пациентов, имеющих в качестве основного патогенетического фактора протромботический или воспалительный факторы, что в дальнейшем может быть использовано при определении тактики лечения ОНМК.
Цель исследования — оценить особенности течения инсульта в сочетании с COVID-19 и роль воспаления и эндотелиальной дисфункции в патогенезе церебрального поражения.
Материалы и методы
В исследование включены 1524 пациента, находившиеся на стационарном лечении в сети сосудистых центров г. Санкт-Петербурга в 2020–2021 гг. Проанализированы случаи как в стационарах, перепрофилированных для оказания помощи пациентам с COVID-19, так и в стационарах «чистой» зоны.
У 1068 пациентов подтверждена COVID-19. Зафиксирован 551 летальный исход. Для анализа клинико-лабораторных данных пациенты были разделены на 4 группы в зависимости от тяжести течения заболевания.
Оценка состояния пациентов включала неврологический осмотр с применением шкалы Национального института здоровья США (The National Institute of Health Stroke Scale, NIHSS). Для оценки уровня сознания применяли Шкалу комы Глазго, для оценки коморбидной патологии — индекс Чарлсона.
Лабораторная диагностика включала общеклинические анализы крови (в том числе определение уровня эритроцитов, тромбоцитов и лейкоцитов на анализаторе «Sysmex XT4000») и мочи («Urisys 2400»), биохимический анализ крови («Cobas c501»), коагулограмму (международное нормализованное отношение, активированное частичное тромбопластиновое время; «Sta Compact»), исследование уровня D-димера, маркеров воспалительной реакции (СРБ, ИЛ-6, ферритина), определение антител IgG и IgМ к SARS-CoV-2 (иммуноферментный анализ, «ELx800»), ПЦР-диагностику РНК SARS-CoV-2, у ряда пациентов — уровня эластазы нейтрофильных гранулоцитов, антител IgG к NR2-субъединицам NMDA-рецепторов, прокальцитонина («Architect i2000»).
В инструментальную часть обследования входило выполнение ЭКГ для исключения нарушений сердечного ритма, у части больных — эхокардиография («Siеmens AcusonS 2000»). Наряду с мультиспиральной компьютерной томографией (МСКТ) головного мозга (на аппарате «General Electric Lightspeed-32» c толщиной среза 0,5 мм) применялась магнитно-резонансная томография головного мозга («Toshiba»). Помимо стандартной рентгенографии органов грудной клетки, части пациентов проводили МСКТ грудной клетки.
Статистический анализ данных проводили в программном пакете «Statistica v.10.0» («StatSoft») с использованием критерия Стьюдента для расчёта P-value, ROC-анализа, теста Колмогорова–Смирнова, коэффициента ранговой корреляции τ Кэнделла. Критический уровень значимости при проверке статистических гипотез принимали за p < 0,05 (за исключением интерпретации коэффициента ранговой корреляции τ Кэнделла, где значение 0,35 считали высокой корреляцией, 0,21 — средней). Для получения информации о важности различных клинических параметров с большим количеством данных была построена модель машинного обучения искусственного интеллекта на базе программного обеспечения Рython: Pandas, Matplotlib, Sklearn, Numpy, Statistics, Shap.
Этическая экспертиза. Работа одобрена локальным этическим комитетом Научно-исследовательского института скорой помощи им. И.И. Джанелидзе (протокол № 8 от 03.11.2020).
Результаты
В группе анализа из 1068 человек с подтверждённой COVID-19 зарегистрирован 551 летальный исход. Для получения информации о важности различных клинических параметров, с учётом большого объёма данных, была построена модель машинного обучения искусственного интеллекта для решения задачи классификации методом градиентного бустинга на цель. Для модели, обученной на наборе данных общей исследуемой группы из 1524 человек с инсультом, у части из которых во время госпитализации обнаружена COVID-19, были проведены расчёты коэффициента SHAP-value, с помощью которого описывается влияние всех выбранных нами клинических параметров на прогноз выявления COVID-19 у пациентов с ОНМК (рис. 1).
Рис. 1. Влияние клинических параметров на прогноз выявления COVID-19 у пациентов с ОНМК. / Fig. 1. Effect of clinical parameters on the likelihood of a COVID-19 diagnosis in patients with CVA.
Наиболее значимыми оказались следующие показатели: возраст, тяжесть инсульта по NIHSS, уровень СРБ, лейкоцитов, фибриногена, креатинина при поступлении. Таким образом, выявление COVID-19 наиболее ожидаемо у пациента с тяжёлым неврологическим дефицитом, старшей возрастной группы, с соответствующими повышенными лабораторными показателями.
Сформированы 4 группы в соответствии с тяжестью состояния пациентов при поступлении в центр по лечению ОНМК и характером течения заболевания, наличием подтверждённой COVID-19 с помощью ПЦР-исследования материала, полученного со слизистой оболочки ротоглотки и носа или тканевых биоптатов, и определения антител классов M и G (IgM и IgG) в сыворотке крови, лучевой диагностики характерной вирусной пневмонии (табл. 1).
Таблица 1. Характеристика исследуемых групп / Table 1. Study group characteristics
Группа Group | Характеристика пациентов Patient characteristics | Критерии включения Inclusion criteria | Критерии исключения Exclusion criteria | Количество пациентов (%) Number of patients (%) |
1 | Пациенты с лёгким ОНМК без осложнений Patients with mild CVA, no complications | Тяжесть неврологического дефицита при поступлении по NIHSS < 10 баллов | 1. Выявление COVID-19 за период госпитализации 2. Выявление пневмонии за период госпитализации 3. Нарастание неврологического дефицита более чем на 3 балла по NIHSS 1. COVID-19 diagnosed during hospitalization 2. Pneumonia diagnosed during hospitalization 3. Neurological worsening, > 3 points increase on the NIHSS | 457 (29,9%) |
2 | Пациенты с тяжёлым течением ОНМК без пневмонии | Тяжесть неврологического дефицита при поступлении по NIHSS > 10 баллов Neurological deficit severity on admission, NIHSS score >10 points | 1. Выявление пневмонии за период госпитализации 2. Нарастание неврологического дефицита более чем на 5 баллов по NIHSS 1. Pneumonia diagnosed during hospitalization 2. Neurological worsening, > 5 points increase on the NIHSS | 279 (18,3%) |
3 | Пациенты с ОНМК и COVID-19, проградиентное течение Patients with CVA and COVID-19, progressive disease | 1. Выявление COVID-19 за период госпитализации 2. Нарастание неврологического дефицита более чем на 5 баллов по NIHSS 1. COVID-19 diagnosed during hospitalization 2. Neurological worsening, > 5 points increase on the NIHSS | Значение СРБ при поступлении выше нормы Elevated CRP level on admission | 297 (19,4%) |
4 | Пациенты с ОНМК и COVID-19 и признаками воспаления при поступлении Patients with CVA and COVID-19, with signs of inflammation on admission | 1. Выявление COVID-19 за период госпитализации 2. Значение СРБ при поступлении выше нормы 1. COVID-19 diagnosed during hospitalization 2. Elevated CRP level on admission | 491 (32,8%) |
Примечание. Данные группы были выделены в первую очередь для поиска закономерностей между клиническими и лабораторными данными. Все параметры также отдельно сравнивали в двух больших группах: пациенты с диагностированной COVID-19 и без неё.
Note. The group data was collected primarily to look for correlations between clinical and laboratory findings. All parameters were also compared individually between two groups: patients with or without a diagnosis of COVID-19 infection.
Первую группу составили 457 человек (29,9%) без осложнений ОНМК, без отрицательной динамики по неврологическому дефициту, без подтверждённой новой коронавирусной инфекции; с небольшим преобладанием мужчин (237 против 220). Средний возраст 68 (28–97) лет. Средний балл по NIHSS при поступлении — 4, при выписке — 2. Данная группа расценивалась как группа контроля.
Во 2-ю группу вошли пациенты с территориальным инфарктом головного мозга, но также без отрицательной динамики за время госпитализации по неврологическому дефициту, всего 279 человек (155 мужчин и 124 женщины). Средний возраст, как и в 1-й группе, составил 68 (31–96) лет. Средний балл по NIHSS при поступлении — 14, при выписке — 12. COVID-19 диагностирована у 175 пациентов, из них 140 были переведены в профильный стационар. Летальный исход был у 24,3% больных, при этом бóльшую часть составили пациенты, потребовавшие межстационарного перевода. У пациентов с диагностированной COVID-19 наблюдалась тенденция к увеличению тяжести неврологических проявлений по NIHSS, повышению содержания в крови D-димера и СРБ. При поступлении в стационар выявлены достоверные изменения относительного содержания в крови моноцитов (р < 0,05) и уменьшение активированного частичного тромбопластинового времени (р < 0,05) по сравнению с пациентами 1-й группы, что отражает активацию плазменных факторов свёртывания крови у пациентов 2-й группы. Соотношение частоты выявления IgM/IgG = 9.
Третья и 4-я группы были выделены на основании обнаруженных значимых лабораторных параметров.
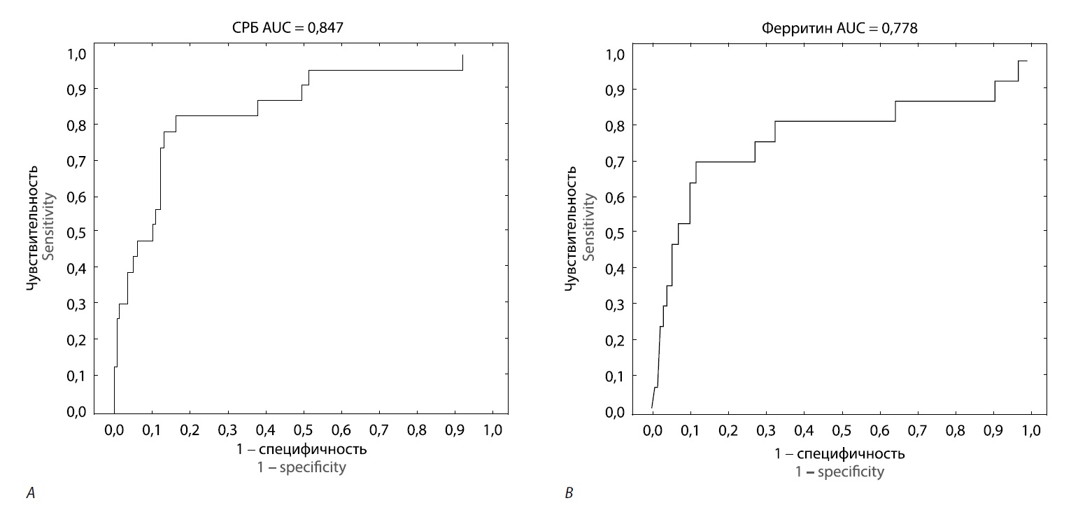
В качестве наиболее важных параметров были выделены уровни СРБ, D-димера, ферритина у пациентов с инсультом, сочетавшимся с поражением одного или более паренхиматозных органов. Значимое увеличение уровней маркеров воспаления в крови достоверно коррелировало с ранней летальностью, тяжестью течения инсульта и фактом заболевания COVID-19 (табл. 2). При проведении ROC-анализа выявили диагностическую информативность увеличения уровня СРБ и ферритина у пациентов с инсультом, осложнённым вирусной инфекцией (рис. 2). Наиболее информативной оказалась динамика изменений маркеров воспаления (повреждения) в первые 24–72 ч (табл. 3): многократное увеличение (эскалация) значений всегда коррелировало с ближайшим неблагоприятным исходом и, как правило, сопутствовало лабораторному подтверждению COVID-19 или появлению специфичных признаков вирусной пневмонии на МСКТ лёгких.
Таблица 2. Клинические признаки и лабораторные показатели, достоверно связанные с тяжестью ОНМК, у пациентов, инфицированных вирусом SARS-CoV-2 /Table 2. Clinical signs and laboratory findings that had a statistically significant correlation with CVA severity in patients infected with the SARS-CoV-2 virus
Показатель Parameter | Летальный исход Mortality | Концентрация СРБ CRP level | Концентрация фибриногена Fibrinogen level | Количество лимфоцитов Lymphocyte level | Концентрация ферритина Ferritin level | |
Тяжесть ОНМК по NIHSS CVA severity on the NIHSS | Тест Колмогорова–Смирнова Kolmogorov–Smirnov test | p < 0,001 | p < 0,001 | p < 0,001 | p < 0,001 | p < 0,001 |
Коэффициент ранговой корреляции τ Кэнделла Kendall’s τ coefficient of concordance | r = 0,347 | r = 0,476 | r = 0,368 | r = 0,223 | r = 0,354 | |
COVID-19 | Коэффициент ранговой корреляции τ Кэнделла Kendall’s coefficient of concordance | r = 0,489 | r = 0,158 | r = 0,256 | ||
Таблица 3. Динамика лабораторных показателей в 1–3-и сутки у пациентов с ОНМК и различным течением COVID-19, Me [25%; 75%] / Table 3. Changes in laboratory parameters on day 1–3 in patients with CVA and varying severity of COVID-19 infection, Me [25%; 75%]
Группы пациентов Patient groups | Сутки после ОНМК Days after CVA | n (%) | Лейкоциты, ×109/л WBC, ×109/L | Лимфоциты, % Lymphocytes, % | CРБ, мг/л CRP, mg/L | Фибриноген, г/л Fibrinogen, g/L | D-димер, мкг/мл D-dimer, mcg/mL | Ферритин, нг/мл Ferritin, ng/mL | Креатинкиназа, ЕД/л Creatine kinase, U/L |
1 | 0 | 457 (29,9%) | 8,25 (6,04; 9,41) | 20,4 (9,2; 25,28) | 3,4 (1,55; 5,1) | 4,1 (3,51; 4,7) | 0,217 (0,075; 0,285) | 90,77 (49,76; 177,6) | 107 (94,5; 221,5) |
1 | 8,2 (7; 9,7) p0–1 < 0,01 | 19,6 (13; 27,5) | 10 (3,8; 20,4) | 4,5 (3,7; 4,9) | 0,171 (0,06; 0,36) | 81,6 (43,6; 182,2) | 106 (88; 281) | ||
3 | 7,5 (6; 9,5) p0–3 < 0,01 | 23,4 (13,7; 29,7) | 27,7 (12,4; 78,2) p0–3 < 0,001 p1–3 < 0,05 | 4,9 (3,8; 5,4) | 0,11 (0,06; 0,278) | 114,6 (43,3; 201,6) | 179 (108; 484) | ||
2 | 0 | 279 (18,3%) | 7,98 (6,46; 9,91) | 22,55 (15; 27) | 6,04 (2,71; 15,2) | 4,31 (3,72; 4,92) | 0,308 (0,151; 0,425) | 116,5 (55; 242) | 89 (52,5; 186) |
1 | 9,9 (6,2; 19,4) | 11,9 (9,5; 17,6) | 7,1 (2,2; 6,3) | 4,3 (4; 4,5) | 0,313 (0,09; 0,416) | 129,8 (62,6; 243) | 124 (71,4; 298) | ||
3 | 11 (9; 13,2) | 13,8 (8,1; 22) | Нет данных No data | Нет данных No data | 0,200 (0,118; 0,639) | 29 (23; 35,5) | 41 (n = 1) | ||
3 | 0 | 297 (19,4%) | 9,36 (8,07; 11,42) | 13,9 (8; 23,7) | 4,71 (1,53; 16,66) | 4,07 (3,51; 4,51) | 0,217 (0,11; 0,42) | 82,66 (26,54; 192,3) | 96 (53; 313,8) |
1 | 8,6 (8,2; 12) | 18,5 (8,6; 24,8) | 20,1 (n = 1) | 4,2 (4; 5) | 0,21 (0,16; 0,5) | 140 (27,5; 212,6) | 417 (302; 643) | ||
3 | 9,6 (6,8; 11,5) | 10,9 (9,1; 25,7) | 10,4 (n = 1) | 6,18 (4,9; 6,6) | 0,09 (0,05; 0,09) | 72,3 (55,2; 89,3) | 157 (67; 354) | ||
4 | 0 | 491 (32,8%) | 10,17 (8,08; 11,92) | 13,8 (5,5; 19,5) | 46,6 (7,2; 133) | 5,2 (4,2; 6,8) | 1,458 (0,675; 2,508) | 319,1 (133,6; 680,2) | 211 (104,5; 603,5) |
1 | 9,2 (7,1; 10,5) | 11,2 (5,4; 18,2) | 175,8 (99; 238) | 7,15 (5,6; 7,5) p1–3 < 0,05 | 1,163 (0,707; 2,67) | 325,8 (173,8; 434) | 190 (155; 375) | ||
3 | 7,9 (6,9; 14,4) | 14,1 (6,4; 20,2) | 148,6 (13,3; 363) | 5,15 (4,2; 5,2) | 0,407 (0,384; 1,317) | 295 (198; 380) | 272 (108; 451) |
Рис. 2. Прогностическая ценность увеличения концентраций СРБ (А) и ферритина (В) для осложнённого течения ОНМК и развития неблагоприятного исхода. / Fig. 2 The prognostic value of increased CRP (A) and ferritin (B) levels for worsening of CVA and mortality.
Третью группу составили 297 человек с тяжёлым инсультом и отрицательной динамикой за время госпитализации, но без увеличения показателей гиперкоагуляции. Средний возраст составил 74 (65–101) года. Средний балл по NIHSS при поступлении — 15. У 31,9% пациентов 3-й группы диагностирована вирусная пневмония, частота летальных исходов составила 37,5%.
В 3-й группе наблюдалось развитие умеренной лимфоцитопении, у 21% пациентов — значительное увеличение содержания в крови D-димера и у 42% пациентов — креатинкиназы. Через 1 сут после поступления в среднем в 4 раза возрастали концентрации СРБ и креатинкиназы, которые расценивались как маркеры воспаления и цитолиза миоцитов. К 3-м суткам заболевания концентрации D-димера, СРБ и креатинкиназы приближались к референтным значениям, но достоверно возрастала концентрация фибриногена. При этом нарастание маркеров воспаления не коррелировало с наличием пневмонии. Соотношение частоты выявления IgM/IgG = 0,67, т.е. наблюдалось заметное преобладание IgG-позитивных пациентов.
В 4-й группе, состоящей из 491 человек с тяжёлым течением ОНМК, сопровождавшимся повышением концентраций СРБ, D-димера, фибриногена, средний возраст составил 76 (34–97) лет. Средний балл по NIHSS при поступлении — 15. У всех пациентов диагностирована COVID-19. У 379 (77,1%) пациентов был летальный исход.
У больных 4-й группы выявили выраженные изменения лабораторных показателей активации воспаления, гемостаза и фибринолиза, цитолиза, обмена железа и ишемии мозга, протеолиза, иммунной недостаточности (увеличение содержания в крови лейкоцитов, лимфоцитопения и моноцитопения, увеличение концентрации СРБ, фибриногена, D-димера, ферритина, эластазы нейтрофильных гранулоцитов креатинкиназы и активности креатинкиназы), которые достоверно отличались от таковых у пациентов без COVID-19. Соотношение частоты выявления IgM/IgG = 0,25. Тенденция к увеличению доли IgG у пациентов с тяжёлым течением инсульта может косвенно свидетельствовать о том, что острое сосудистое событие случалось на более позднем этапе вирусного процесса.
Для более детального анализа были выделены пациенты (n = 30) реанимационного отделения с тяжёлым течением и развитием выраженной ферритинемии (табл. 4). Высокий уровень ферритина у больных сопровождался снижением содержания трансферрина крови и сывороточного железа. Для пациентов с тяжёлым течением COVID-19 и гиперферретинемией было характерно значительное повышение концентрации СРБ и ИЛ-6 в сыворотке крови. При этом концентрация прокальцитонина в крови больных находилась в пределах нормы и составила 0,07 [0, 07; 0, 09].
Таблица 4. Лабораторные показатели у пациентов реанимационного отделения с тяжёлым течением ОНМК и COVID-19, Me [25%; 75%] / Table 4. Laboratory parameters in ICU patients with severe CVA and COVID-19
Показатель Parameter | Контрольная группа Control group (n = 20) | Группа исследования Study group (n = 30) | р |
Ферритин, нг/мл Ferritin, ng/mL | 1263 [718; 1663]** | 0,000 | |
Глюкоза, ммоль/л Glucose, mmol/L | 0,000 | ||
Альбумин, г/л Albumin, g/L | 0,000 | ||
Трансферрин, г/л Transferrin, g/L | 0,045 | ||
Сывороточное железо, мкмоль/л Serum iron, μmol/L | 0,002 | ||
СРБ, мг/л CRP, mg/L | 0,000 | ||
Интерлейкин-6, пг/мл Interleukin-6, pg/mL | 216 [113; 404]** | 0,000 | |
Фибриноген, г/л Fibrinogen, g/L | 0,043 | ||
D-димер, мкг/мл D-dimer, μg/mL | 0,031 |
Примечание. *p < 0,05; **p < 0,01 по сравнению с контрольной группой.
Note. *p<0.05; **p<0.01 compared with the control group.
По всей совокупности полученных данных был проведён поиск закономерных связей и особенностей клинической и томографической информации. Важной особенностью течения инсульта являлось наблюдавшееся в 24,7% случаев стремительное ухудшение клинической картины с проградиентным утяжелением неврологического дефицита, часто с преобладанием общемозговой симптоматики — «клиническая эскалация симптомов». В 7,8% случаев неблагоприятное течение болезни носило молниеносный характер. В этих случаях, по данным нейровизуализации, кроме ожидаемой для инсульта в типичных условиях солитарной окклюзии мозговой артерии (атеротромботического или кардиоэмболического генеза), определялись признаки распространённого многоуровневого цереброваскулярного поражения (протяжённый массивный тромбоз проксимальных сегментов магистральных артерий головного мозга; признаки поражения нескольких артериальных бассейнов).
Клинические и лабораторные данные были дополнены и подтверждены при аутопсии и гистологическом исследовании: выявлена картина тяжёлого повреждения головного мозга (клеточного состава и нейропиля), а также значительное тромботическое диффузное повреждение сосудистой системы головного мозга во всех сегментах. Тромбообразование в прецеребральных и крупных артериях основания головного мозга было, как правило, массивным, с закупоркой просвета артериальных стволов и ветвей. На фоне тромбоза наблюдались выпрямление эластической мембраны, полная или частичная утрата эндотелия. Миоциты мышечной оболочки выглядели вакуолизированными с патологической пигментацией.
С учётом полученных патологоанатомических данных были дополнительно проанализированы лабораторные показатели клеточного и эндотелиального повреждения. (табл. 5). В группе с тяжёлым течением ОНМК и COVID-19 в плазме крови достоверно (p < 0,05) возрастало содержание эластазы нейтрофильных гранулоцитов, которая может служить маркером поражения эндотелия и нарушения сосудистой проницаемости, усиления лизиса фибрина/фибриногена. На основании этих данных можно заключить, что эндотелиотоксичность и нарушение микроциркуляции в тканях можно рассматривать как один из патогенетических механизмов развития ОНМК на фоне COVID-19.
Таблица 5. Маркеры клеточного повреждения у пациентов с ОНМК, инфицированных вирусом SARS-CoV-2 / Table 5. Markers of cell damage in patients with CVA and SARS-CoV-2 infection
Группа Group | n (%) | COVID-19 | Креатинкиназа, ЕД/л Creatine kinase, U/L | Ферритин, нг/мл Ferritin, ng/mL | Эластаза нейтрофильных гранулоцитов, нг/мл Elastase of neutrophilic granulocytes, ng/mL | IgG к NR2-пептиду, нг/мл IgG to NR2 peptid, ng/mL |
ОНМК без осложнений CVA, no complications | 115 (56,9%) | 1 (0,9%) | 107 (94,5; 222) | 90,8 (49,8; 178) | 272 (343; 485) | 2,3 (1,8; 2,9) |
ОНМК и пневмония CVA and pneumonia | 24 (11,9%) | 8 (33,3%) | 96 (53; 314) | 82,7 (26,5; 192) | 222 (93; 351) | 2 (1,6; 2,5) |
ОНМК и сепсис CVA and sepsis | 26 (12,9%) | 8 (30,8%) | 211 (104; 603) | 319,1 (134; 680) | 414 (265; 509) | 2,56 (1,8; 3,9) |
Референсные значения Reference values | 27 | 0 | 96 (8; 185) | 75 (32; 190) | 55 (29; 86) | < 2,0 |
Выводы
На основании проведённого исследования можно утверждать, что COVID-19 следует рассматривать как самостоятельный фактор риска развития ОНМК, а вирус-индуцированный тромбоваскулярный процесс, проявляющийся эскалацией воспалительных факторов и продуктов повреждения эндотелия, должен рассматриваться как патогенетическое звено, обусловливающее повреждение вещества головного мозга.
Значимыми лабораторными параметрами, отражающими данный процесс, явились увеличение содержания в крови лейкоцитов, лимфоцитопения и моноцитопения, увеличение концентрации СРБ, фибриногена, D-димера, ферритина, эластазы нейтрофильных гранулоцитов и активности креатинкиназы. Резкое повышение вышеуказанных параметров, а также стремительное нарастание неврологического дефицита должны быть поводом для проведения диагностики COVID-19 даже при отсутствии клинических признаков респираторно-вирусной инфекции. В дальнейшем полученные данные можно использовать с целью создания валидизированных шкал для прогностической оценки исхода данных заболеваний и усовершенствования диагностических алгоритмов выявления инфекции.
About the authors
Maria V. Prokhorova
St. Petersburg I.I. Dzhanelidze Research Institute of Emergency Care
Author for correspondence.
Email: airty@mail.ru
ORCID iD: 0000-0003-3412-0038
neurologist, junior researcher, Department of acute cerebrovascular pathology
Russian Federation, St. PetersburgAleksandr I. Yakovlev
St. Petersburg I.I. Dzhanelidze Research Institute of Emergency Care
Email: yakovlevai92@yandex.ru
ORCID iD: 0000-0001-7648-4388
neurologist, Department of acute cerebrovascular pathology
Russian Federation, St. PetersburgIgor A. Voznyuk
St. Petersburg I.I. Dzhanelidze Research Institute of Emergency Care; S.M. Kirov Military Medical Academy; Pavlov First Saint Petersburg State Medical University
Email: voznjouk@yandex.ru
ORCID iD: 0000-0001-7192-0961
D. Sci. (Med.), Professor, Deputy director for science, professor, Department of nervous diseases named after M.I. Astvatsaturov, professor, Department of nervous diseases
Russian Federation, St. Petersburg; St. Petersburg; St. PetersburgElena M. Morozova
St. Petersburg I.I. Dzhanelidze Research Institute of Emergency Care
Email: novaj44@mail.ru
ORCID iD: 0000-0002-1395-6234
neurologist, researcher, Department of acute cerebrovascular pathology
Russian Federation, St. PetersburgEkaterina A. Gogoleva
St. Petersburg I.I. Dzhanelidze Research Institute of Emergency Care
Email: katygog@mail.ru
ORCID iD: 0000-0001-8184-6283
Cand. Sci. (Med.), Head, Department of neurology No. 2 for patients with acute cerebrovascular accident, researcher, Department of acute cerebrovascular pathology
Russian Federation, St. PetersburgLyudmila P. Pivovarova
St. Petersburg I.I. Dzhanelidze Research Institute of Emergency Care
Email: tshumakova@rambler.ru
ORCID iD: 0000-0002-9492-4516
D. Sci. (Med.), Head, Department of laboratory diagnostics
Russian Federation, St. PetersburgReferences
- Mao L., Jin H., Wang M. et al. Neurologic manifestations of hospitalized patients with Coronavirus Disease 2019 in Wuhan, China. JAMA Neurol. 2020; 77(6): 683–690. doi: 10.1001/jamaneurol.2020.1127
- Qureshi A.I., Abd-Allah F., Al-Senani F. et al. Management of acute ischemic stroke in patients with COVID-19 infection: report of an international panel. Int. J. Stroke. 2020; 15(5): 540–554. doi: 10.1177/1747493020923234 [published correction appears in: Int. J. Stroke. 2020:1747493020935396.]
- Smeeth L., Thomas S.L., Hall A.J. et al. Risk of myocardial infarction and stroke after acute infection or vaccination. N. Engl. J. Med. 2004; 351(25): 2611–2618. doi: 10.1056/NEJMoa041747
- Warren-Gash C., Blackburn R., Whitaker H. et al. Laboratory-confirmed respiratory infections as triggers for acute myocardial infarction and stroke: a self-controlled case series analysis of national linked datasets from Scotland. Eur. Respir. J. 2018; 51(3): 1701794. doi: 10.1183/13993003.01794-2017
- Logroscino G., Beghi E. Stroke epidemiology and COVID-19 pandemic. Curr. Opin. Neurol. 2021; 34(1): 3–10. doi: 10.1097/WCO.0000000000000879
- Tang N., Bai H., Chen X. et al. Anticoagulant treatment is associated with decreased mortality in severe coronavirus disease 2019 patients with coagulopathy. J. Thromb. Haemost. 2020; 18(5): 1094–1099. doi: 10.1111/jth.14817
- Iba T., Levy J.H., Warkentin T.E. et al. Diagnosis and management of sepsis-induced coagulopathy and disseminated intravascular coagulation. J. Thromb. Haemost. 2019; 17(11): 1989–1994. doi: 10.1111/jth.14578
- Belani P., Schefflein J., Kihira S. et al. COVID-19 is an independent risk factor for acute ischemic stroke. AJNR Am. J. Neuroradiol. 2020; 41(8): 1361–1364. doi: 10.3174/ajnr.A6650
- Avula A., Nalleballe K., Narula N. et al. COVID-19 presenting as stroke. Brain Behav. Immun. 2020; 87: 115–119. doi: 10.1016/j.bbi.2020.04.077
- Oxley T.J., Mocco J., Majidi S. et al. Large-vessel stroke as a presenting feature of COVID-19 in the young. N. Engl. J. Med. 2020; 382(20): e60. doi: 10.1056/NEJMc2009787
- Nannoni S., de Groot R., Bell S., Markus H.S. Stroke in COVID-19: a systematic review and meta-analysis. Int. J. Stroke. 2021; 16(2): 137–149. doi: 10.1177/1747493020972922
- Ameriso S.F., Wong V.L., Quismorio F.P. Jr., Fisher M. Immunohematologic characteristics of infection-associated cerebral infarction. Stroke. 1991; 22(8): 1004–1009. doi: 10.1161/01.str.22.8.1004
- Muhammad S., Haasbach E., Kotchourko M. et al. Influenza virus infection aggravates stroke outcome. Stroke. 2011; 42(3): 783–791. doi: 10.1161/STROKEAHA.110.596783
- Танашян М.М., Кузнецова П.И., Раскуражев А.А. Неврологические аспекты COVID-19. Анналы клинической и экспериментальной неврологии. 2020; 14(2): 62–69. Tanashyan M.M., Kuznetsova P.L., Raskurazhev A.A. Neurological aspects of COVID-19. Annals of clinical and experimental neurology. 2020; 14(2): 62–69. (In Russ.) doi: 10.25692/ACEN.2020.2.8
- Valderrama E.V., Humbert K., Lord A. et al. Severe acute respiratory syndrome Coronavirus 2 infection and ischemic stroke. Stroke. 2020; 51(7): e124–e127. doi: 10.1161/STROKEAHA.120.030153
- Ranucci M., Ballotta A., Di Dedda U. et al. The procoagulant pattern of patients with COVID-19 acute respiratory distress syndrome. J. Thromb. Haemost. 2020; 18(7): 1747–1751. doi: 10.1111/jth.14854
- Iba T., Levy J.H., Wada H. et al. Differential diagnoses for sepsis-induced disseminated intravascular coagulation: communication from the SSC of the ISTH. J. Thromb. Haemost. 2019; 17(2): 415–419. doi: 10.1111/jth.14354
- Connors J.M., Levy J.H. COVID-19 and its implications for thrombosis and anticoagulation. Blood. 2020; 135(23): 2033±2040. doi: 10.1182/blood.2020006000
- Tang N., Li D., Wang X., Sun Z. Abnormal coagulation parameters are associated with poor prognosis in patients with novel coronavirus pneumonia. J. Thromb. Haemost. 2020; 18(4): 844–847. doi: 10.1111/jth.14768







