Copper Ions Reduced Toxicity of Sodium Azide and Lipopolysaccharide on Cultured Cerebellar Granule Neurons
- Authors: Stelmashook E.V.1, Alexandrova O.P.1, Genrikhs E.E.1, Verma Y.2, Salmina A.B.1, Isaev N.K.1,3
-
Affiliations:
- Research Center of Neurology
- Chaudhary Charan Singh University
- Lomonosov Moscow State University
- Issue: Vol 17, No 4 (2023)
- Pages: 52-57
- Section: Original articles
- Submitted: 10.05.2023
- Accepted: 20.06.2023
- Published: 25.12.2023
- URL: https://annaly-nevrologii.com/pathID/article/view/986
- DOI: https://doi.org/10.54101/ACEN.2023.4.6
- ID: 986
Cite item
Abstract
Introduction. Copper ions (Cu2+) are structural elements of proteins such as cytochrome с oxidase (Complex IV), an enzyme that catalyzes the final step of electron transfer to oxygen during oxidative phosphorylation in the mitochondria. With Cu2+ homeostasis being of utmost importance, its disturbances in the central nervous system are involved in the mechanisms of many neurodegenerative and other brain disorders.
This study aimed to assess the effects of non-toxic copper ion levels on death of cerebellar granule neurons associated with lipopolysaccharide (LPS; in vitro inflammation model) or azide sodium (NaN3; cytochrome с oxidase inhibitor).
Materials and methods. LPS (10 μg/mL) or NaN3 (250 μM) was added on day 7 to 8 to the culture medium with rat cerebellar cells for 24 hours in vitro. Nitrite concentrations were measured in the culture medium by Griess assay; absorbance was recorded with a spectrophotometer at 540 nm, and morphologically intact cells were counted as survived neurons.
Results. Added to the culture medium, LPS or NaN3 reduced neuron survival to 15 ± 2% or 20 ± 3% vs. control, respectively. Cu2+ (0.5 to 5.0 μM) increased neuron survival in a dose-dependent manner to 78 ± 4% with toxic levels of LPS and to 86 ± 6% with NaN3 with 5 μM Cu2+. The concentration of nitrites in the control culture medium was 2.0 ± 0.2 μM. Added to the cell cultures, LPS increased the concentration of nitrites to 8.5 ± 0.5 μM. Cu2+ 5 μM did not show any significant effects on nitrite accumulation in the culture medium.
Conclusions. We showed that copper ions can exert protective effects on neurons against LPS-induced or NaN3-induced toxicity. This protection is likely to be associated rather with Cu2+ interaction with Complex IV of the electron transfer chain in the mitochondria than with inhibition of NO production. Effects of Cu2+ on apoptosis pathway proteins also cannot be ruled out.
Keywords
Full Text
Introduction
Copper is one of the most abundant transition metals in the human body. It takes part in oxygen metabolism, collagen synthesis, and skin pigmentation, maintaining the integrity of blood vessels, as well as in iron homeostasis, antioxidant defense, and neurotransmitter synthesis [1]. Cu2+ ions are structural elements of several proteins. For instance, copper is an essential component of cytochrome с oxidase (Complex IV), an enzyme that catalyzes the final step of electron transfer to oxygen during oxidative phosphorylation in the mitochondria. Copper ions are also contained in the superoxide dismutase molecule, which is the most important antioxidant, and ceruloplasmin, a blood plasma protein involved in the mechanisms of pro-oxi- dant and antioxidant reactions. Copper is also necessary for several important processes in the brain tissue, such as the regulation of intracellular signal transduction, catecholamine balance, myelination of neuron axons, and synaptic transmission in the central nervous system (CNS) [2].
The copper content in the brain ranges from approximately 3 to 5 μg/g wet weight [1]. Recommended copper intake to maintain systemic homeostasis in adults is 0.8 to 2.4 mg/day [3]. Stable Cu2+ homeostasis in the brain is essential, and its disturbances can be fatal for neurons. Cu2+ homeostasis disorders in the CNS are involved in the mechanisms of many neurodegenerative and other brain disorders, such as Wilson disease and Alzheimer’s disease [4–6].
Intracellular copper and iron imbalance can increase free radical production and oxidative stress [78] because these transition metals directly participate in the Fenton reaction, which results in hydroxyl radicals with high toxicity [9]. Two-valent copper can mediate generation of hydrogen peroxide by tau-protein [9] and increase effects of pro-oxidants. Micromolar concentrations of the antioxidant acetylcysteine in the culture medium showed pro-oxidant activity with nanomolar concentrations of copper [10]. However, very limited literature data are available on direct effects of these ions on key neurodegeneration processes, including inflammatory processes in the CNS and mitochondria inhibition.
This study aimed to assess the effects of non-toxic Cu2+ levels on death of cultivated cerebellar granule neurons induced by lipopolysaccharide (LPS; in vitro inflammation model) or azide sodium (NaN3; cytochrome с oxidase inhibitor).
Materials and methods
In our experiments, we used 7-day to 8-day cultures of the cerebellum from 8-day-old rats obtained by enzymatic and mechanical dissociation: 15 minutes at 36.5ºC in trypsin (0.05%) and EDTA (0.02%) solution in phosphate buffer (Gibco Life Technologies) followed by stepwise pipetting in the medium [10]. The cultures were cultured in 96-well plastic plates (Eppendorf) coated with poly-lysine (Sigma). The culture medium contained 90% minimum essential medium with Earle’s salts (Gibco), 10% fetal bovine serum (HyClone), 2 mM glutamine (glutaMAX, Gibco), 25 μM KCl, and 10 mM HEPES buffer pH 7.2 to 7.4 (VWR Life Science). To each plate well, 0.1 mL of cell suspension was added to obtain a final cell density of 3 to 5 × 103 cells/mm2. The cultures were developed in a СО2-incubator at 36.5ºC and relative humidity 98%.
On day 7 to 8, copper (II) chloride (0.5 to 5.0 μM, Sigma) with LPS (10 μg/mL, Sigma) or NaN3 (250 μM) was added to the culture medium with 7-day rat cerebellar cells in vitro for 24 hours.
After the experiment, the cultures were fixed in ethanol + formaldehyde + acetic acid mixture (7 : 2 : 1) and stained with trypan blue. The cultures were photographed with an Olympus CKX41 inverted microscope or an EVOS M7000 imaging system (Termo Fisher Scientific) at × 40 objective magnification. Percentage of survived neurons was evaluated by counting morphologically intact cultured granule neurons in 5 conse- utive field views. Survival in test cultures was expressed in per cent vs. control.
The level of nitric oxide (NO) was determined by Griess assay, which is based on the formation of diazo compounds that react with alpha-naphthylamine to give a red solution. Photometry was performed with a microplate reader (SpectraMax M2, Molecular Devices) at 540 nm.
Data were statistically processed with Statistica v. 13.3 (StatSoft Inc.) and one-way ANOVA with Newman–Keuls post hoc test or t-test. Between-group differences were considered statistically significant if p < 0.05. Results were presented as mean ± standard error of mean (M ± SEM).
All procedures performed in the experiments involving animals complied with the ethical standards approved by the Russian regulations, the principles of the Basel Declaration, and Recommendations of the Local Ethical Committee of Research Center of Neurology (Protocol 5-5/22 of 1 June 2022).
Results
Cu2+ toxicity in cultured cells was seen with concentrations of at least 25 µM. With further increase in Cu2+ concentrations, neuron survival decreased in a dose-dependent manner (Fig. 1). Added to the culture medium, LPS or NaN3 decreased neuron survival to 15 ± 2% (Fig. 2) or 20.0 ± 2.5% (Fig. 3) vs. control, respectively. If neurons were treated with the toxins in the presence of non-toxic copper ion levels, neuron survival increased in a dose-dependent manner.
Fig. 1. Effects of different copper ion levels on survival of cultured rat cerebellar granule neurons.
*p < 0.05 vs. control (0 μM).
Fig. 2. Copper ions reduced LPS toxicity in cultured rat cerebellar granule neurons.
A: fixed cultures stained with trypan blue. Dead neuron nuclei are shown with arrows. Scale 15 μm.
B: quantitative data obtained by counting morphologically intact neurons without (white bars) and with LPS (black bars).
*p < 0.05 compared to 0 µM Cu2+ with LPS.
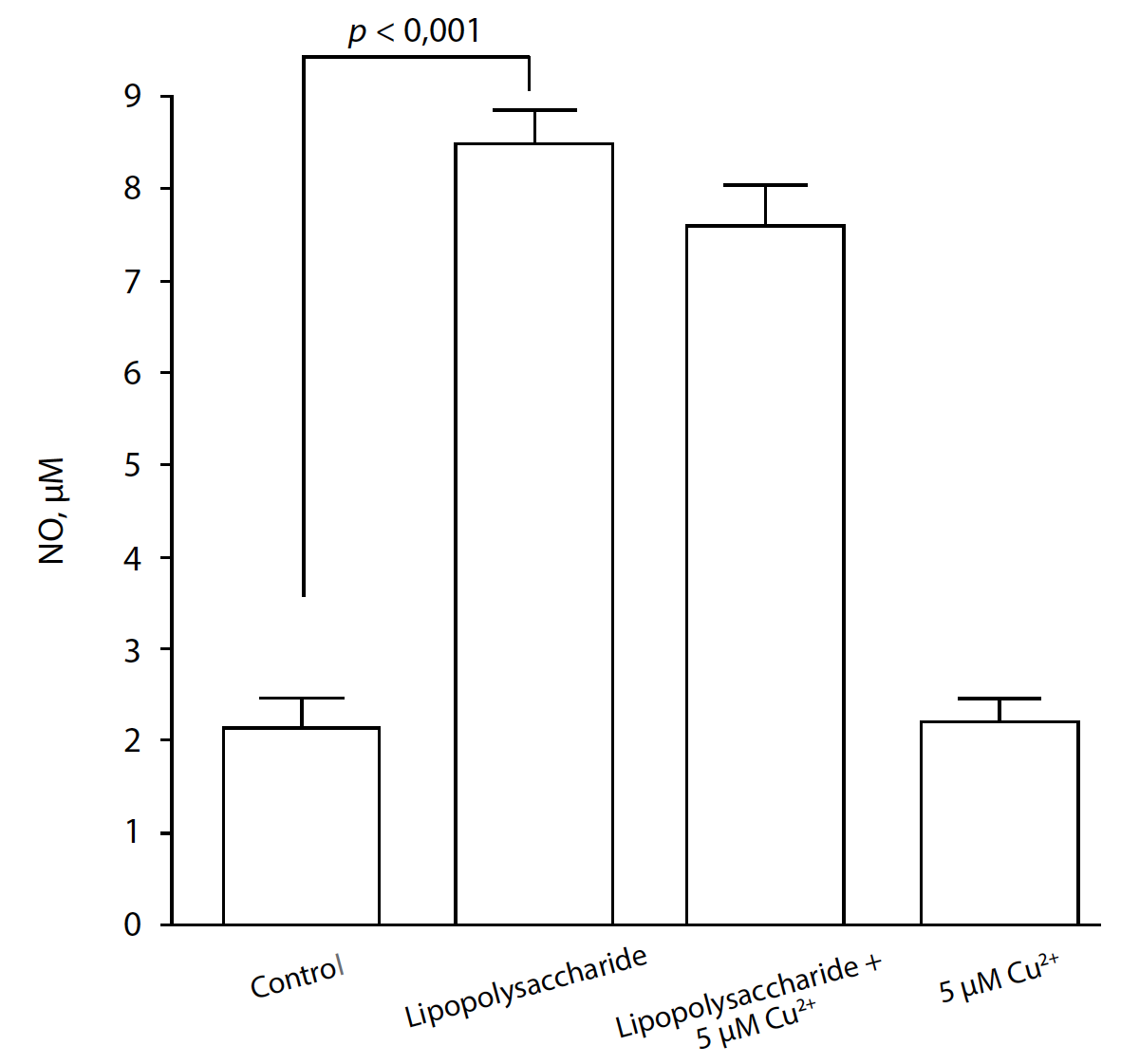
Cu2+ 5 μM improved neuron survival to 78±4% in the experiment with LPS (Fig. 2) or to 86 ± 6% in the experiment with NaN3 (Fig. 3). The concentration of nitrites in the control culture medium was 2.0 ± 0.2 μM. Added to the cell cultures, LPS increased the concentration of nitrites to 8.5 ± 0.5 μM (Fig. 4). Copper chloride 5 μM did not have any significant effects on nitrite accumulation in the culture medium treated with LPS (Fig. 4).
Fig. 3. Copper ions reduce NaN3 toxicity in cultured rat cerebellar granule neurons.
A: fixed cultures stained with trypan blue. Dead neuron nuclei are shown with arrows. Scale 15 μm.
B: quantitative data obtained by counting morphologically intact neurons without (white bars) and with NaN3 (black bars).
*p < 0.05 compared to 0 µM Cu2+ with NaN3.
Fig. 4. The levels of nitrites (NO) in the culture medium of rat cerebellar granule neurons.
The addition of LPS (10 μg/ml, 24 h) causes an increase in nitrites in the culture medium. Cu2+ (5 μM) have no significant effect on the accumulation of nitrite in the culture medium under LPS action.
Discussion
Imbalances of several metal ions, especially zinc and copper, are thought to play an important role in the pathogenesis of many neurodegenerative disorders, including multiple system atrophy, amyotrophic lateral sclerosis, Creutzfeldt–Jakob disease, Wilson disease, Alzheimer’s disease, and Parkinson’s disease [1, 11, 12]. Normally, copper ions are structural elements of many proteins, including ceruloplasmin, a blood plasma protein that is involved in the mechanisms of various prooxidant and antioxidant reactions. Copper is necessary for functioning of the antioxidant cell system because it is contained in the superoxide dismutase molecule. Cu (II) derivatives are effective anti-inflammatory agents [13, 14], and Cu-binding peptides showed anti-inflammatory effects in primary microglia cultures [15].
NO is a key inflammation mediator. Glia cells with inflammatory activation, which is seen in most CNS disorders, were previously shown to be capable of exerting neuronal toxicity, which was prevented by inhibitors of inducible NO synthase [16]. Excessive formation of NO or reactive NO species, such as peroxynitrite, impairs mitochondrial functioning and eventually affects neuronal cell metabolism and survival [17, 18]. Besides its multiple regulatory functions, NO was found to modulate cell respiration by irreversibly inhibiting the cytochrome c oxidase activity [19, 20].
In our study we showed that LPS, which was added to the culture medium with neuroglia cultures, reduced survival of cultured rat cerebellar granule neurons and was associated with nitrite accumulation in the culture medium due to NO production. Added to the culture medium, non-toxic concentrations of Cu2+ significantly reduced LPS-induced cell death. NO is known to act as a ligand for copper atoms and cause a redox reaction with the metal after its binding. Furthermore, NO possesses an unpaired electron, which can couple with the unpaired electron on Cu2+ [21]. In our experiments, copper did not show any significant effects on nitrite accumulation in the culture medium treated with LPS. Moreover, NO can inhibit mitochondrial respiration mainly by competitively inhibiting oxygen binding by Cu2+-containing cytochrome c oxidase (Complex IV) [22] and direct interaction of Cu2+ with tricarboxylic acid cycle enzymes [23]. Our experiments demonstra- ted that copper ions protected neurons against the toxi-city induced by NaN3, which inhibits Complex IV of the electron transfer chain in the mitochondria.
Our data correlate with previous results that showed that pretreatment with CuSO4 prevented inhibition of mitochondrial complexes I, II, IV, V and Cu/Zn-superoxide dismutase induced by 1-methyl-4-phenylpiridine (MPP+) in the rat striatum [24]. In this neurodegeneration model, CuSO4 also reduced the MPP+-induced increase in the enzymatic activity levels of caspases 8, 9 and 3, decreased apoptotic cell damage [25], and prevented the hypokinetic state in MPP+-treated mice [26]. In mice, a copper-chelator led to reduced activity of complex IV in neurons and dropped activity of the anti-oxidant system in the brain tissue [27, 28]. Based on the above data, we can assume that the protective effect of copper ions in inhibiting of electron transport chain complexes may be associated with a direct effect on copper-dependent proteins or an indirect effect on apoptotic pathway proteins.
Conclusion
We showed that Cu2+ protected neurons against the toxicity induced by LPS, an inflammation inductor, or NaN3, a cytochrome с oxidaseinhibitor. This protection is likely to be associated rather with Cu2+ interaction with Complex IV of the electron transfer chain in the mitochondria than with inhibition of NO production. Effects of Cu2+ on apoptosis pathway proteins also cannot be ruled out.
Ethics approval. Authors confirm compliance with institutional and national standards for the use of laboratory animals in accordance with «Consensus Author Guidelines for Animal Use» (IAVES, 23 July 2010). The research protocol was approved by the Local Ethics Committee of the Research Center of Neurology (protocol No. 5-5/22, June 1, 2022).
Source of funding. This study was not supported by any external sources of funding.
Conflict of interest. The authors declare no apparent or potential conflicts of interest related to the publication of this article.
About the authors
Elena V. Stelmashook
Research Center of Neurology
Author for correspondence.
Email: estelmash@mail.ru
ORCID iD: 0000-0003-2533-7673
D. Sci. (Biol.), Leading Researcher, Laboratory of Neurobiology and Tissue Engineering, Brain Science Institute
Russian Federation, MoscowOlga P. Alexandrova
Research Center of Neurology
Email: molka-molka@yandex.ru
ORCID iD: 0009-0006-9109-1463
Cand. Sci. (Biol.), Researcher, Laboratory of Neurobiology and Tissue Engineering, Brain Science Institute
Russian Federation, MoscowElizaveta E. Genrikhs
Research Center of Neurology
Email: genrikhs@neurilogy.ru
ORCID iD: 0000-0002-3203-0250
Cand. Sci. (Biol.), Senior Researcher, Laboratory of Neurobiology and Tissue Engineering, Brain Science Institute
Russian Federation, MoscowYeshvandra Verma
Chaudhary Charan Singh University
Email: yeshvandra@gmail.com
ORCID iD: 0000-0002-5994-7501
Department of Toxicology
India, MeerutAlla B. Salmina
Research Center of Neurology
Email: allasalmina@mail.ru
ORCID iD: 0000-0003-4012-6348
Professor, Chief Researcher, Head, Laboratory of Neurobiology and Tissue Engineering, Department of Molecular and Cellular Mechanisms of Neuroplasticity, Brain Science Institute
Russian Federation, MoscowNickolay K. Isaev
Research Center of Neurology; Lomonosov Moscow State University
Email: nisaev61@mail.ru
ORCID iD: 0000-0001-8427-1163
D. Sci. (Biol.), Leading Researcher, Laboratory of Neurobiology and Tissue Engineering, Brain Science Institute, Research Center of Neurology; Department of Cell Biology and Histology, Biological Faculty, Lomonosov Moscow State University
Russian Federation, Moscow; MoscowReferences
- Gromadzka G., Tarnacka B., Flaga A., Adamczyk A. Copper dyshomeostasis in neurodegenerative diseases-therapeutic implications. Int. J. Mol. Sci. 2020;21(23):9259. doi: 10.3390/ijms21239259
- An Y., Li S., Huang X. et al. The role of Copper homeostasis in brain disease. Int J. Mol. Sci. 2022;23(22):13850. doi: 10.3390/ijms232213850
- Bost M., Houdart S., Oberli M. et al. Dietary copper and human health: current evidence and unresolved issues. J. Trace Elem. Med. Biol. 2016;35:107–115. doi: 10.1016/j.jtemb.2016.02.006
- Сальков В.Н., Худоерков Р.М., Сухоруков В.С. Патогенетические аспекты повреждений головного мозга при болезни Вильсона–Коновалова. Российский вестник перинатологии и педиатрии. 2020;65(6):22–28. Salkov V.N., Khudoerkov R.M., Sukhorukov V.S. Pathogenetic aspects of brain lesions in Wilson–Konovalov disease. Russian Bulletin of Perinatology and Pediatrics. 2020;65(6):22–28 (in Russ.) doi: 10.21508/1027-4065-2020-65-6-22-28
- Isaev N.K., Stelmashook E.V., Genrikhs E.E. Role of zinc and copper ions in the pathogenetic mechanisms of traumatic brain injury and Alzheimer's disease. Rev. Neurosci. 2020;31(3):233–243. doi: 10.1515/revneuro-2019-0052
- Гулевская Т.С., Чайковская Р.П., Ануфриев П.Л. Патоморфология головного мозга при гепатолентикулярной дегенерации (болезни Вильсона–Коновалова). Анналы клинической и экспериментальной неврологии. 2020;14(2):50–61. Gulevskaya T.S., Chaykovskaya R.P., Anufriev P.L. Cerebral pathology in hepatolenticular degeneration (Wilson disease). Annals of Clinical and Experimental Neurology. 2020;14(2):50–61. (in Russ) doi: 10.25692/ACEN.2020.2.7
- Fujimoto Y., Maruta S., Yoshida A., Fujita T. Effect of transition metal ions on lipid peroxidation of rabbit renal cortical mitochondria. Res. Commun. Chem. Pathol. Pharmacol. 1984;44(3):495–498.
- Jimenez Del Rio M., Velez-Pardo C. Transition metal-induced apoptosis in lymphocytes via hydroxyl radical generation, mitochondria dysfunction, and caspase-3 activation: an in vitro model for neurodegeneration. Arch. Med. Res. 2004;35(3):185–193. doi: 10.1016/j.arcmed.2004.01.001
- Su X.Y., Wu W.H., Huang Z.P. et al. Hydrogen peroxide can be generated by tau in the presence of Cu(II). Biochem. Biophys. Res. Commun. 2007;358(2):661–665. doi: 10.1016/j.bbrc.2007.04.191
- Stelmashook E.V., Genrikhs E.E., Kapkaeva M.R. et al. N-acetyl-l-cysteine in the presence of Cu2+ induces oxidative stress and death of granule neurons in dissociated cultures of rat cerebellum. Biochemistry (Mosc.). 2017;82(10):1176–1182. doi: 10.1134/S0006297917100108
- Stelmashook E.V., Isaev N.K., Genrikhs E.E., et al. Role of zinc and copper ions in the pathogenetic mechanisms of Alzheimer's and Parkinson's diseases. Biochemistry (Mosc.). 2014;79(5):391–396. doi: 10.1134/S0006297914050022
- Agarwal P., Ayton S., Agrawal S. et al. Brain copper may protect from cognitive decline and Alzheimer's disease pathology: a community-based study. Mol. Psychiatry. 2022;27(10):4307–4313. doi: 10.1038/s41380-022-01802-5
- Whitehouse M.W., Walker W.R. Copper and inflammation. Agents Actions. 1978;8(1-2):85–90. doi: 10.1007/BF01972407
- Berthon G. Is copper pro- or anti-inflammatory? A reconciling view and a novel approach for the use of copper in the control of inflammation. Agents Actions. 1993;39(3–4):210–217. doi: 10.1007/BF01998975
- Caetano-Silva M.E., Rund L.A., Vailati-Riboni M. et al. Copper-binding peptides attenuate microglia inflammation through suppression of NF-kB pathway. Mol. Nutr. Food Res. 2021;65(22):e2100153. doi: 10.1002/mnfr.202100153
- Bal-Price A., Brown G.C. Inflammatory neurodegeneration mediated by nitric oxide from activated glia-inhibiting neuronal respiration, causing glutamate release and excitotoxicity. J. Neurosci. 2001;21(17):6480–6491. doi: 10.1523/JNEUROSCI.21-17-06480.2001
- Ghasemi M., Mayasi Y., Hannoun A. et al. Nitric oxide and mitochondrial function in neurological diseases. Neuroscience. 2018;376:48–71. doi: 10.1016/j.neuroscience.2018.02.017
- Singh S., Zhuo M., Gorgun F.M., Englander E.W. Overexpressed neuroglobin raises threshold for nitric oxide-induced impairment of mitochondrial respiratory activities and stress signaling in primary cortical neurons. Nitric Oxide. 2013;32:21–28. doi: 10.1016/j.niox.2013.03.008
- Brunori M., Giuffrè A., Forte E. et al. Control of cytochrome c oxidase activity by nitric oxide. Biochim. Biophys. Acta. 2004;1655(1–3):365–371. doi: 10.1016/j.bbabio.2003.06.008
- Mason M.G., Nicholls P., Wilson M.T., Cooper C.E. Nitric oxide inhibition of respiration involves both competitive (heme) and noncompetitive (copper) binding to cytochrome c oxidase. Proc. Natl. Acad. Sci. U. S. A. 2006;103(3):708–713. doi: 10.1073/pnas.0506562103
- Torres J., Wilson M.T. The reactions of copper proteins with nitric oxide. Biochim. Biophys. Acta. 1999;1411(2–3):310–322. doi: 10.1016/s0005-2728(99)00022-5
- Larsen F.J., Schiffer T.A., Weitzberg E., Lundberg J.O. Regulation of mitochondrial function and energetics by reactive nitrogen oxides. Free Radic. Biol. Med. 2012;53(10):1919–1928. doi: 10.1016/j.freeradbiomed.2012.08.580
- Tsvetkov P., Coy S., Petrova B. et al. Copper induces cell death by targeting lipoylated TCA cycle proteins. Science. 2022;375(6586):1254–1261. doi: 10.1126/science.abf0529
- Rubio-Osornio M., Orozco-Ibarra M., Díaz-Ruiz A. et al. Copper sulfate pretreatment prevents mitochondrial electron transport chain damage and apoptosis against MPP+-induced neurotoxicity. Chem. Biol. Interact. 2017;271:1–8. doi: 10.1016/j.cbi.2017.04.016
- Islas-Cortez M., Rios C., Rubio-Osornio M. et al. Characterization of the antiapoptotic effect of copper sulfate on striatal and midbrain damage induced by MPP+ in rats. Neurotoxicology. 2021;82:18–25. doi: 10.1016/j.neuro.2020.10.011
- Alcaraz-Zubeldia M., Boll-Woehrlen M.C., Montes-López S. et al. Copper sulfate prevents tyrosine hydroxylase reduced activity and motor deficits in a Parkinson's disease model in mice. Rev. Invest. Clin. 2009;61(5):405–411.
- Varhaug K.N., Kråkenes T., Alme M.N. et al. Mitochondrial complex IV is lost in neurons in the cuprizone mouse model. Mitochondrion. 2020;50:58–62. doi: 10.1016/j.mito.2019.09.003
- Shiri E., Pasbakhsh P., Borhani-Haghighi M. et al. Mesenchymal stem cells ameliorate cuprizone-induced demyelination by targeting oxidative stress and mitochondrial dysfunction. Cell. Mol. Neurobiol. 2021;41(7):1467–1481. doi: 10.1007/s10571-020-00910-6









